Posledná aktualizácia :
17/12/2025
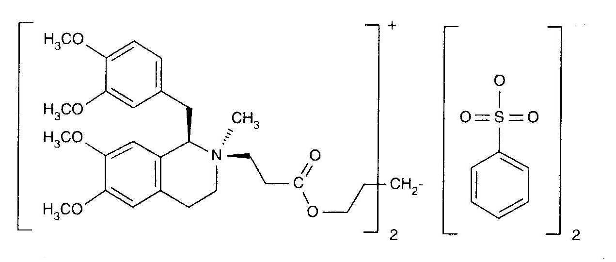
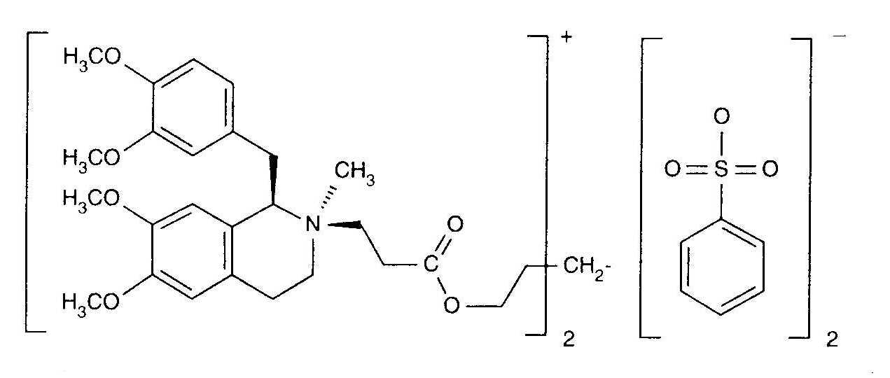
kurarimimetikum/periférne myorelaxans   Cisatracurium besylate  
Injekcia
Stabilita roztokov Stabilita v zmesiach Faktory ovplyvňujúce stabilitu Kompatibility spôsob podania Odkazy na literatúru PDF
   Chemický vzorec  

Obchodný názov   Obchodný názov     

Obchodné názvy sú orientačné, a zloženie pomocných látok sa môže líšiť v závislosti od krajiny a výrobcu.

Bensitrak Mexiko
Besilato de cisatracurio
Cicuryl Mexiko
Cirium Kolumbia
Cis Atracure
Cisatracurio Brazília, Čile, Ekvádor, Kolumbia, peru, Španielsko, Taliansko
Cisatracurium Belgicko, Fínsko, Francúzsko, Írsko, Kanada, Maďarsko, Nemecko, Tunisko, Veľká Británia
Nimbex Belgicko, Čile, Dánsko, Egypt, Ekvádor, Fínsko, Francúzsko, Grécko, Holandsko, Irán, Írsko, Kanada, Luxembursko, Maďarsko, Malajzia, Mexiko, Nemecko, Nórsko, peru, Poľsko, Portugalsko, Rakúsko, Saudská Arábia, Slovinsko, Španielsko, Spojené arabské emiráty, Spojené štáty Americké, Švédsko, Taliansko, Tunisko, Turecko, Veľká Británia, Venezuela
Nimbium Brazília, Kolumbia
Stabilita roztokov   Injekcia   Stabilita roztokov : Cisatracurium besylate     
obal rozpúšťadlo koncentrácia teplota uchovávanie Trvanie stability odkazy na lieteratúru
Sklo Žiadny 10 mg/ml 2-8°C Chránené pred svetlom
450 dní
4769
Úroveň dôkazov A+

Sklo Žiadny 2 & 10 mg/ml 23°C Za svetla alebo chránené pred svetlom
45 dní
533
Úroveň dôkazov A+

Sklo Žiadny 2 & 10 mg/ml 4°C Chránené pred svetlom
90 dní
533
Úroveň dôkazov A+

polyvinylchlorid (PVC) 0,9% chlorid sodný 0,1 & 2 & 5 mg/ml 4°C Chránené pred svetlom
30 dní
533
Úroveň dôkazov A+

polyvinylchlorid (PVC) 0,9% chlorid sodný 5 mg/ml 23°C Za svetla alebo chránené pred svetlom
30 dní
533
Úroveň dôkazov A+

polyvinylchlorid (PVC) 5% glukóza 0,1 & 2 & 5 mg/ml 4°C Chránené pred svetlom
30 dní
533
Úroveň dôkazov A+

polyvinylchlorid (PVC) 5% glukóza 5 mg/ml 23°C Za svetla alebo chránené pred svetlom
30 dní
533
Úroveň dôkazov A+

polyolefín 0,9% chlorid sodný 0,1 mg/ml 23-27°C nešpecifikované
48 hodín
4358
Úroveň dôkazov C+

polyolefín 0,9% chlorid sodný 0,1 mg/ml 4-6°C nešpecifikované
7 dní
4358
Úroveň dôkazov C+

polyolefín 5% glukóza 0,1 mg/ml 23-27°C nešpecifikované
24 hodín
4358
Úroveň dôkazov C+

polyolefín 5% glukóza 0,1 mg/ml 4-6°C nešpecifikované
7 dní
4358
Úroveň dôkazov C+

Injekčná striekačka polypropylén 0,9% chlorid sodný 0,1 mg/ml 23-27°C nešpecifikované
2 dní
4358
Úroveň dôkazov C+

Injekčná striekačka polypropylén 0,9% chlorid sodný 0,1 mg/ml 4-6°C nešpecifikované
7 dní
4358
Úroveň dôkazov C+

Injekčná striekačka polypropylén 5% glukóza 0,1 mg/ml 23-27°C nešpecifikované
2 dní
4358
Úroveň dôkazov C+

Injekčná striekačka polypropylén 5% glukóza 0,1 mg/ml 4-6°C nešpecifikované
2 dní
4358
Úroveň dôkazov C+

Injekčná striekačka polypropylén Žiadny 2 mg/ml 23-27°C nešpecifikované
7 dní
4358
Úroveň dôkazov C+

Injekčná striekačka polypropylén Žiadny 2 mg/ml 23°C Za svetla alebo chránené pred svetlom
30 dní
533
Úroveň dôkazov A+

Injekčná striekačka polypropylén Žiadny 2 mg/ml 4-6°C nešpecifikované
7 dní
4358
Úroveň dôkazov C+

Injekčná striekačka polypropylén Žiadny 2 mg/ml 4°C Chránené pred svetlom
30 dní
533
Úroveň dôkazov A+

Injekčná striekačka polypropylén Žiadny 5 mg/ml 23-27°C nešpecifikované
7 dní
4358
Úroveň dôkazov C+

Injekčná striekačka polypropylén Žiadny 5 mg/ml 4-6°C nešpecifikované
7 dní
4358
Úroveň dôkazov C+


  Mentions Légales