Останнє оновлення :
17/12/2025
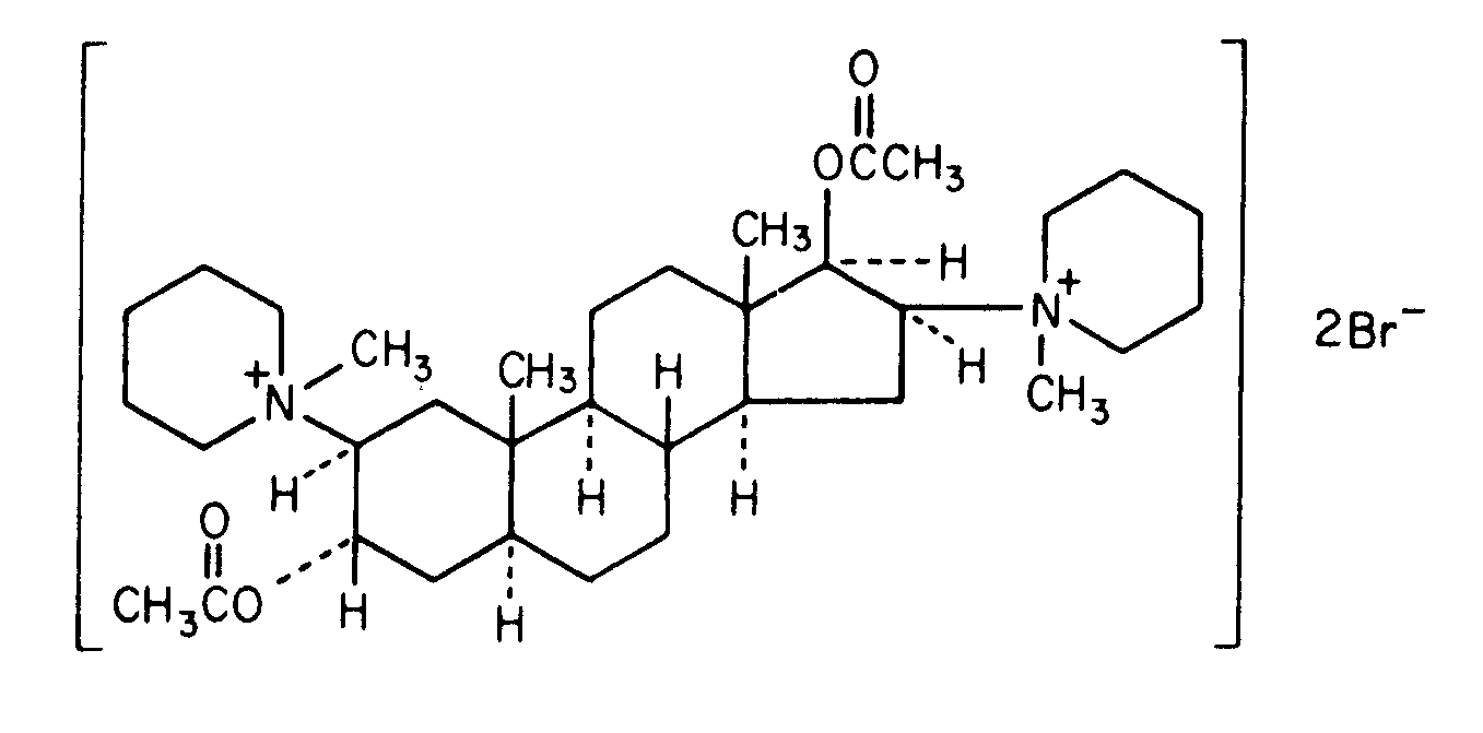
Курариміметик   Pancuronium bromide  
ін'єкція
Стійкість в розчинах Стійкість сумішей Фактори, що впливають на стабільність Сумісність Шлях введення Список літератури pdf
   Хімічна структура  

Торгова назва   Торгова назва     

Торгові назви є орієнтовними, а склад допоміжних речовин може бути різним залежно від країни та виробника

Pancuronium bromide injection Канада, Сполучені Штати Америки
Стійкість в розчинах   ін'єкція   Стійкість в розчинах : Pancuronium bromide     
Контейнер Розчинник Концентрація температура Зберігання Тривалість стабільності Список літератури
скло специфічний розчинник 2 mg/ml 2-8°C Не визначено
912 День
4773
Рівень доказовості B+


  Mentions Légales