Viimeisin päivitys :
17/12/2025
Lihasrelaksantit   Pancuronium bromide  
Injektioneste
Stabilius liuoksessa Stabilius seoksissa Tekijät, jotka vaikuttavat stabiliuteen Yhteensopivuus Antotapa Viitteet pdf
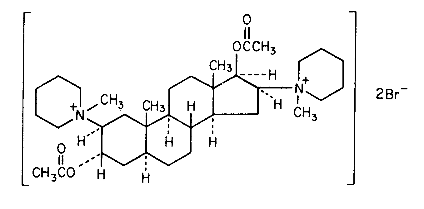
   Kemiallinen rakenne  

Kauppanimi   Kauppanimi     

Trade names are indicative and excipients composition can be different depending on the country and manufacturers

Pancuronium bromide injection Kanada, Yhdysvallat
Stabilius liuoksessa   Injektioneste   Stabilius liuoksessa : Pancuronium bromide     
Astia Liuotin Konsentraatio Lämpötila Säilytys Vakauden kesto Viitteet
Lasi spesifiseen liuottimeen 2 mg/ml 2-8°C Ei määritetty
912 Päivä
4773
Näytön laajuus B+


  Mentions Légales