Posledná aktualizácia :
17/12/2025
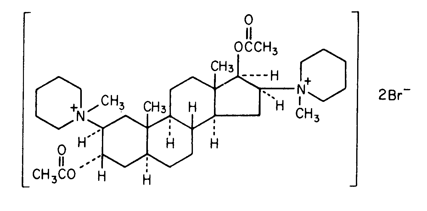
kurarimimetikum/periférne myorelaxans   Pancuronium bromide  
Injekcia
Stabilita roztokov Stabilita v zmesiach Faktory ovplyvňujúce stabilitu Kompatibility spôsob podania Odkazy na literatúru PDF
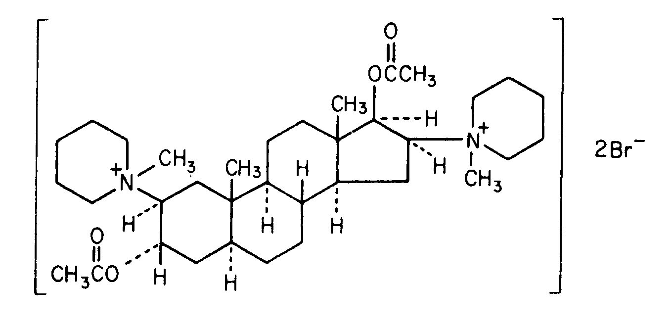
   Chemický vzorec  

Obchodný názov   Obchodný názov     

Obchodné názvy sú orientačné, a zloženie pomocných látok sa môže líšiť v závislosti od krajiny a výrobcu.

Pancuronium bromide injection Kanada, Spojené štáty Americké
Stabilita roztokov   Injekcia   Stabilita roztokov : Pancuronium bromide     
obal rozpúšťadlo koncentrácia teplota uchovávanie Trvanie stability odkazy na lieteratúru
Sklo Špeciálne rozpúšťadlá 2 mg/ml 2-8°C nešpecifikované
912 dní
4773
Úroveň dôkazov B+


  Mentions Légales