Última actualização :
18/03/2026
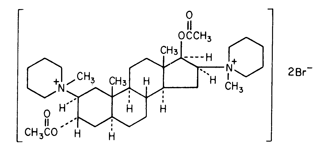
Curarizante   Pancuronium bromide  
injetável
Estabilidade em soluções simples Estabilidade em misturas Factores que afectam a sua estabilidade Compatibilidade Método de administração Bibliografía pdf
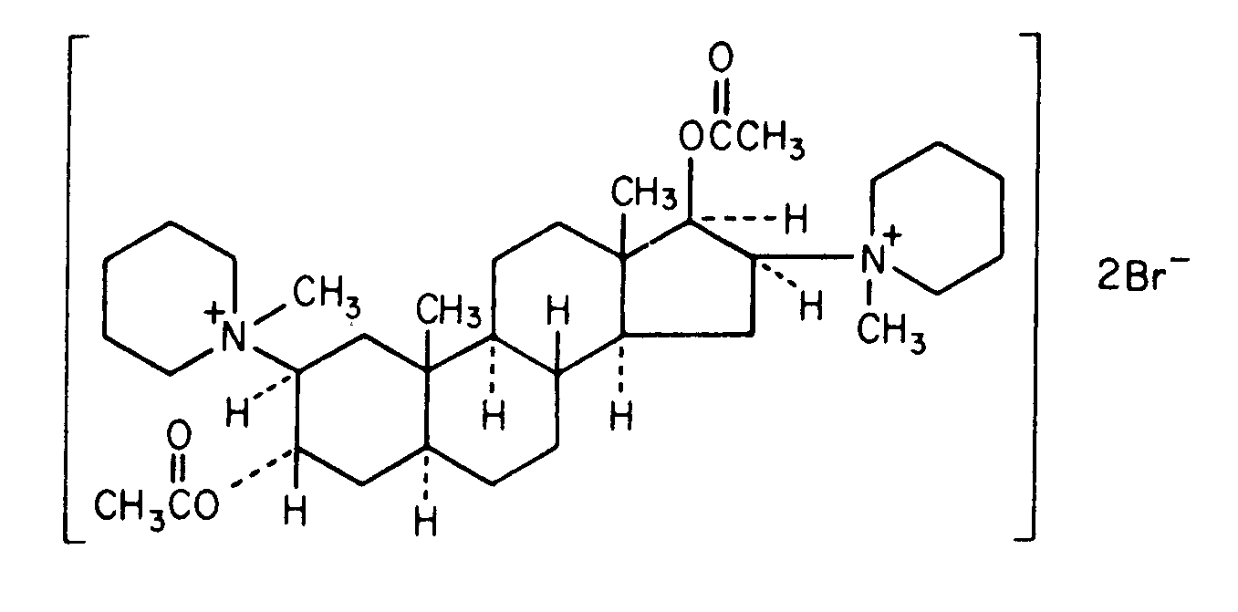
   estrutura química  

Nomes comerciais nos diversos países   Nomes comerciais nos diversos países     

OS NOMES COMERCIAIS SÃO INDICATIVOS E OS EXCIPIENTES DA FORMULAÇÃO PODEM SER DIFERENTES CONFORME O PAÍS E FABRICANTE.

Pancuronium bromide injection Canadá, Estados Unidos de América
Estabilidade em soluções simples   injetável   Estabilidade em soluções simples : Pancuronium bromide     
Embalagem Solvente concentração temperatura conservação Duração da estabilidade Bibliografia
vidro solvente específico 2 mg/ml 2-8°C no especificado
912 dia
4773
Nível de evidência B+


  Mentions Légales