Poslední aktualizace :
18/03/2026
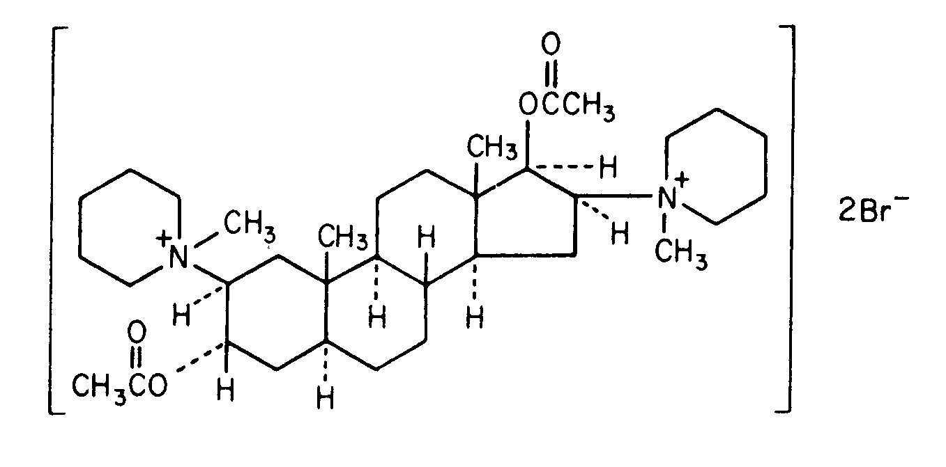
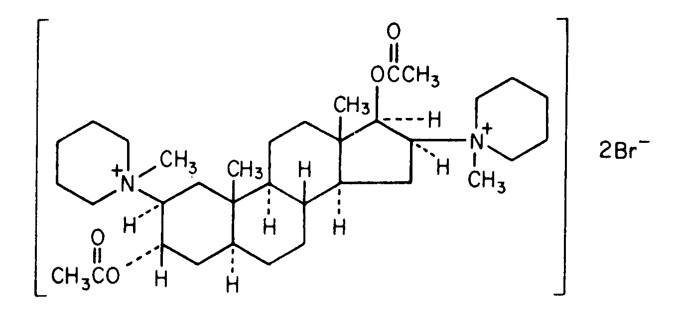
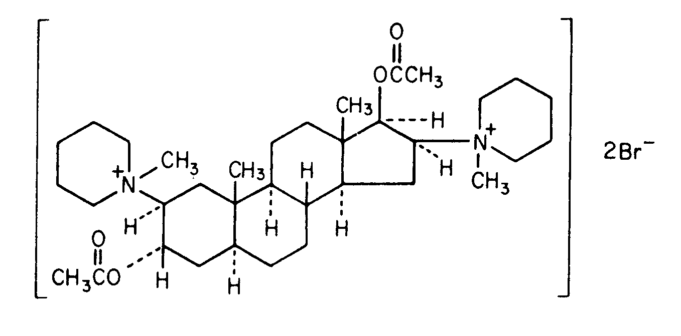
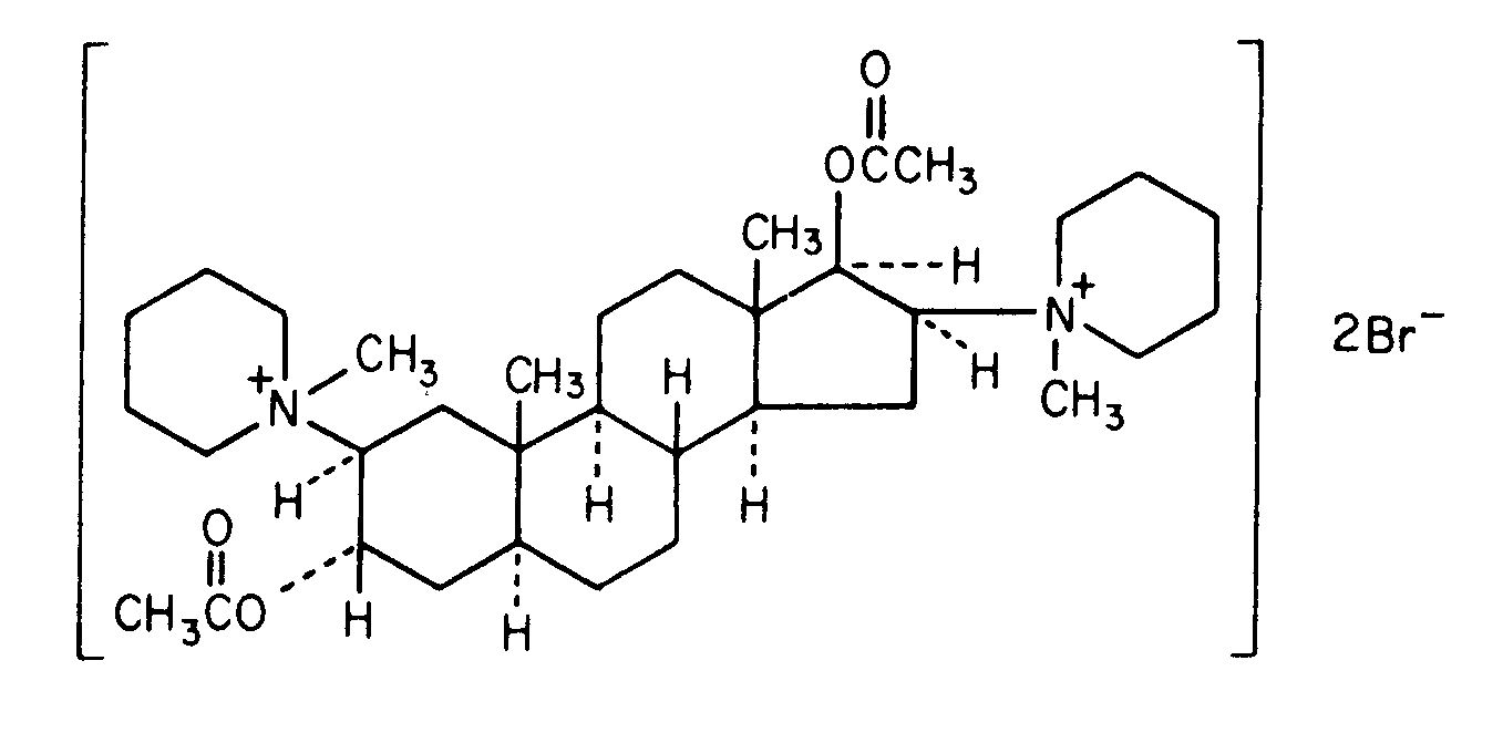
Kuraremimetický   Pancuronium bromide  
injekce
Stabilita roztoků Stabilita směsí Faktory ovlivňující stabilitu Kompatibilita Způsoby aplikace Odkazy pdf
   Chemický vzorec  

Obchodní název   Obchodní název     

Trade names are indicative and excipients composition can be different depending on the country and manufacturers

Pancuronium bromide injection Kanada, USA
Stabilita roztoků   injekce   Stabilita roztoků : Pancuronium bromide     
Obal RozpouötÏdlo Koncentrace Teplota Uchovávání Trvání stability Odkazy
Sklo Zvláštní rozpouštědla 2 mg/ml 2-8°C Nespecifikováno
912 Den
4773
Úroveň zkoušky B+


  Mentions Légales