最新更新 :
18/03/2026
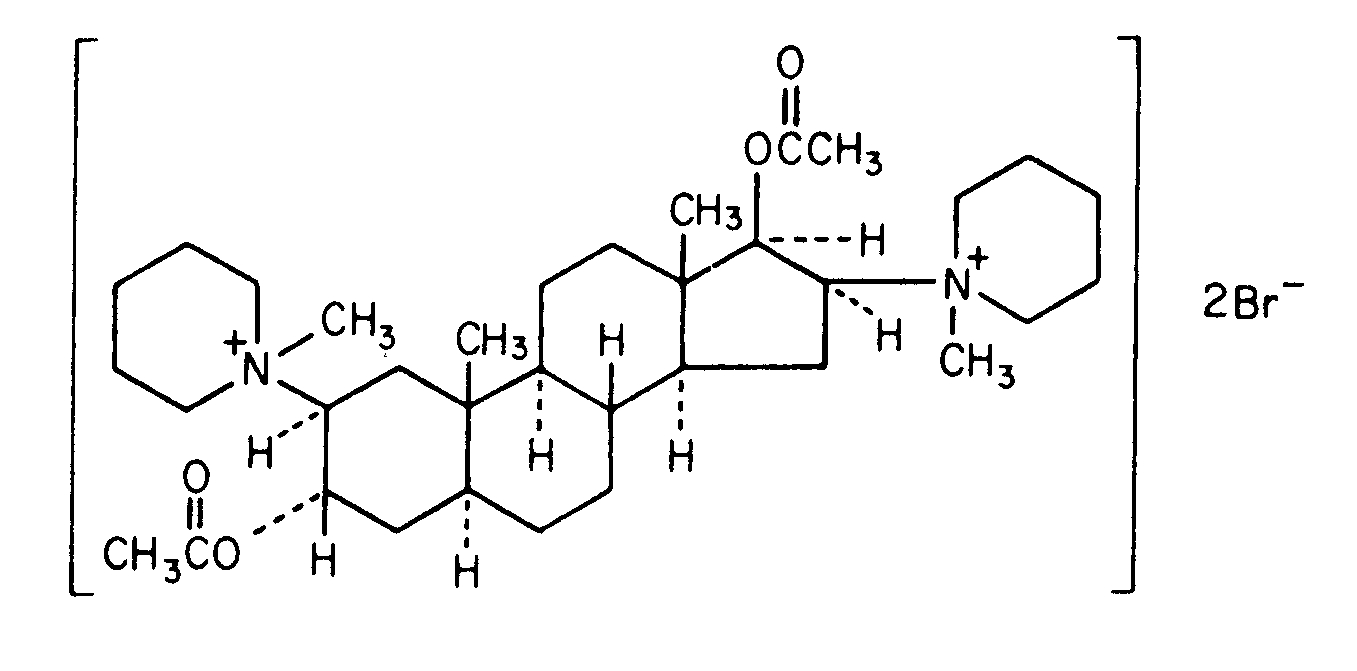
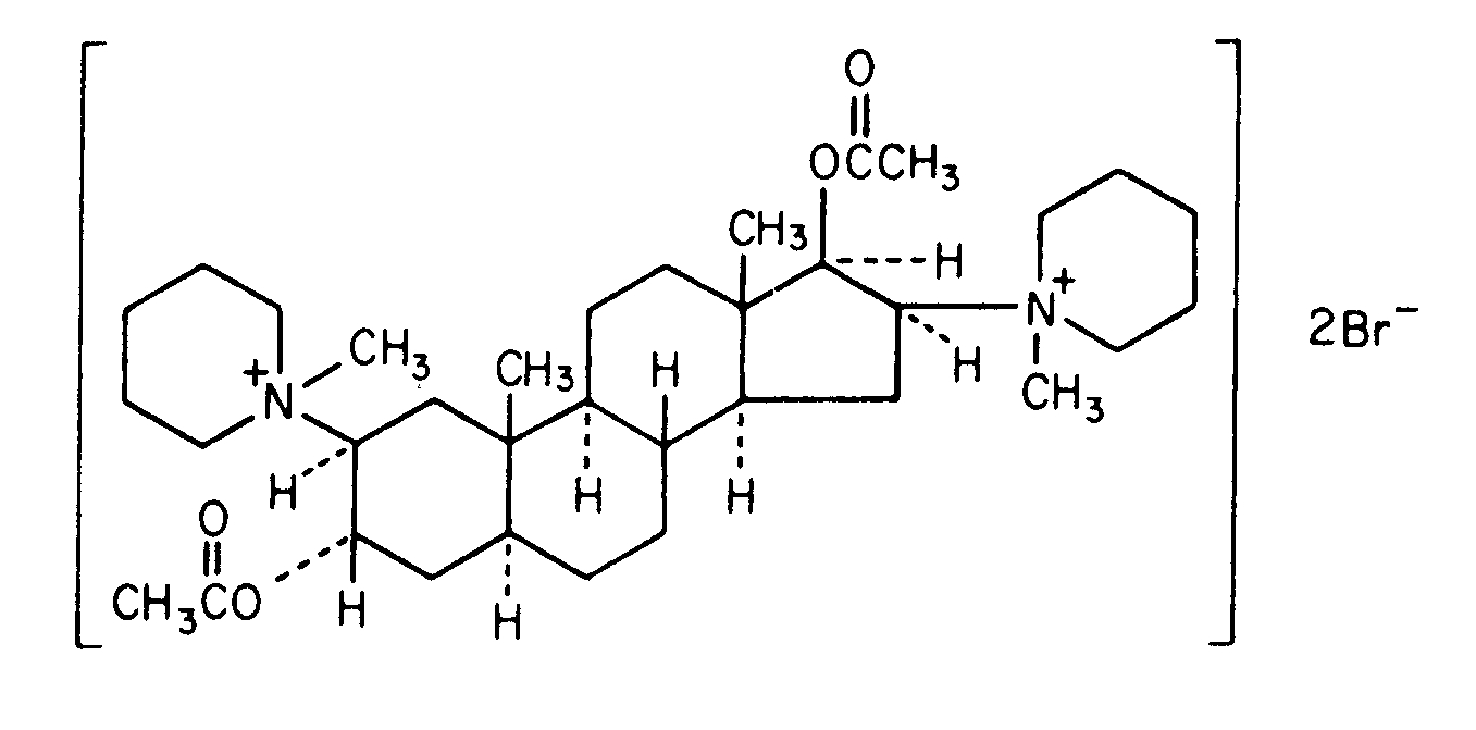
仿箭毒药   Pancuronium bromide  
注射液
溶液稳定性 混合物稳定性 影响稳定性的因素 兼容性 用药途径 引用文献 PDF
   化学式  

商品名   商品名     

商品名仅供参考, 药品所用的辅料可能依国家或厂商不同有所不同。

Pancuronium bromide injection 加拿大, 美国
溶液稳定性   注射液   溶液稳定性 : Pancuronium bromide     
容器 溶剂 浓度 温度 保存 穩定持續時間 引用文献
玻璃 特定溶液 2 mg/ml 2-8°C 无特殊要求
912 白天
4773
B+级


  Mentions Légales