Siste oppdatering :
18/03/2026
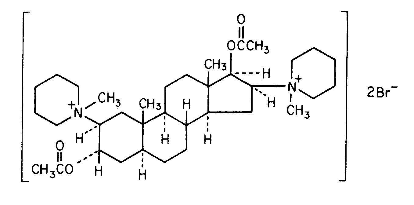
Kurarelignende middel   Pancuronium bromide  
Injeksjon
Oppløsningsstabilitet Stabilitet i blandinger Faktorer som påvirker stabiliteten Kompatibilitet Administrasjonsmåte Referanser pdf
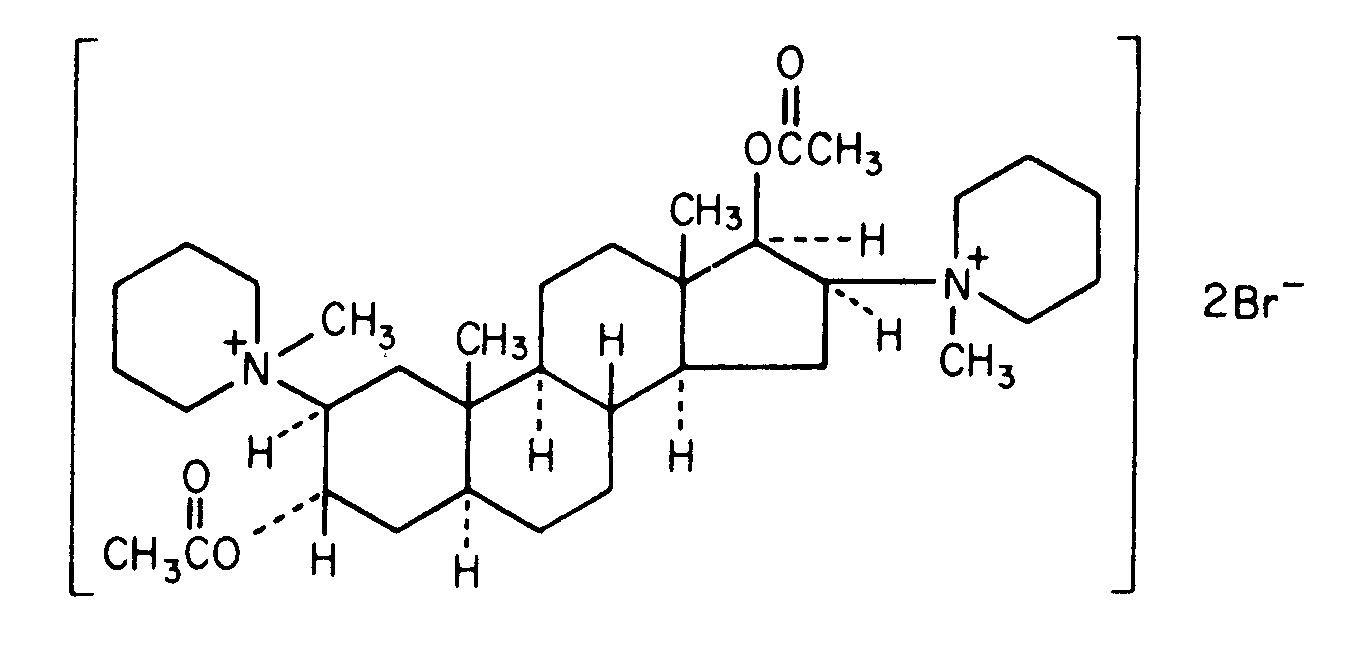
   Kjemisk struktur  

Handelsnavn   Handelsnavn     

Handelsnavn er veiledende og sammensetning av hjelpestoffer kan være forskjellig avhengig av land og produsent

Pancuronium bromide injection Canada, USA
Oppløsningsstabilitet   Injeksjon   Oppløsningsstabilitet : Pancuronium bromide     
Beholder Oppløsningsmiddel Konsentrasjon Temperatur Oppbevaring Varighet av stabilitet Referanser
Glass spesifikk løsemiddel 2 mg/ml 2-8°C Ikke angitt
912 Dag
4773
Bevisgrad B+


  Mentions Légales