Последнее обновление :
17/12/2025
Кураримиметик   Pancuronium bromide  
Инъекция
Стабильность растворов Стабильность смесей Факторы, которые влияют на стабильность Совместимость Способы введения Библиография pdf
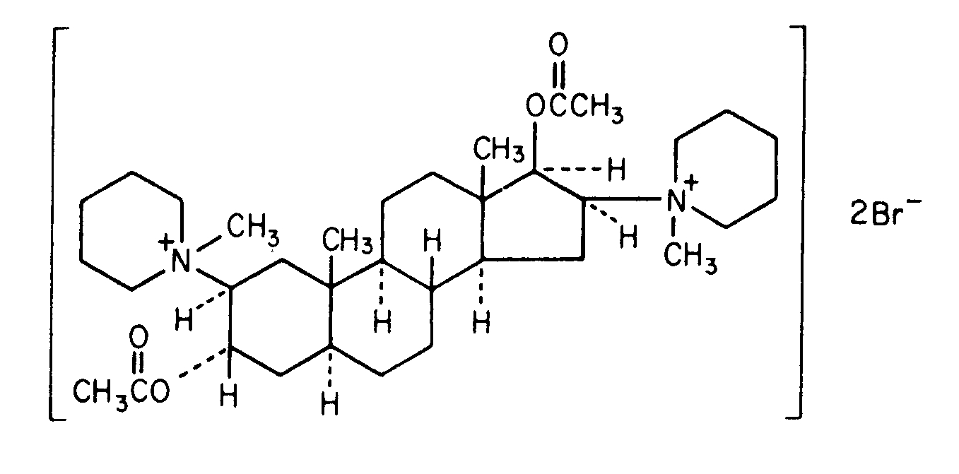
   Химическая структура  

Товарное название   Товарное название     

Trade names are indicative and excipients composition can be different depending on the country and manufacturers

Pancuronium bromide injection Канада, Соединённые Штаты Америки
Стабильность растворов   Инъекция   Стабильность растворов : Pancuronium bromide     
Упаковка Растворитель Концентрация Температура Хранение Продолжительность стабильности Ссылки
Стекло Конкретные растворителя 2 mg/ml 2-8°C Не указано
912 День
4773
Уровень доказательности B +


  Mentions Légales