Última actualización :
18/03/2026
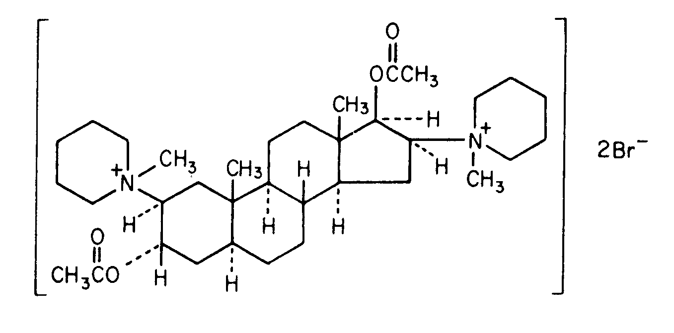
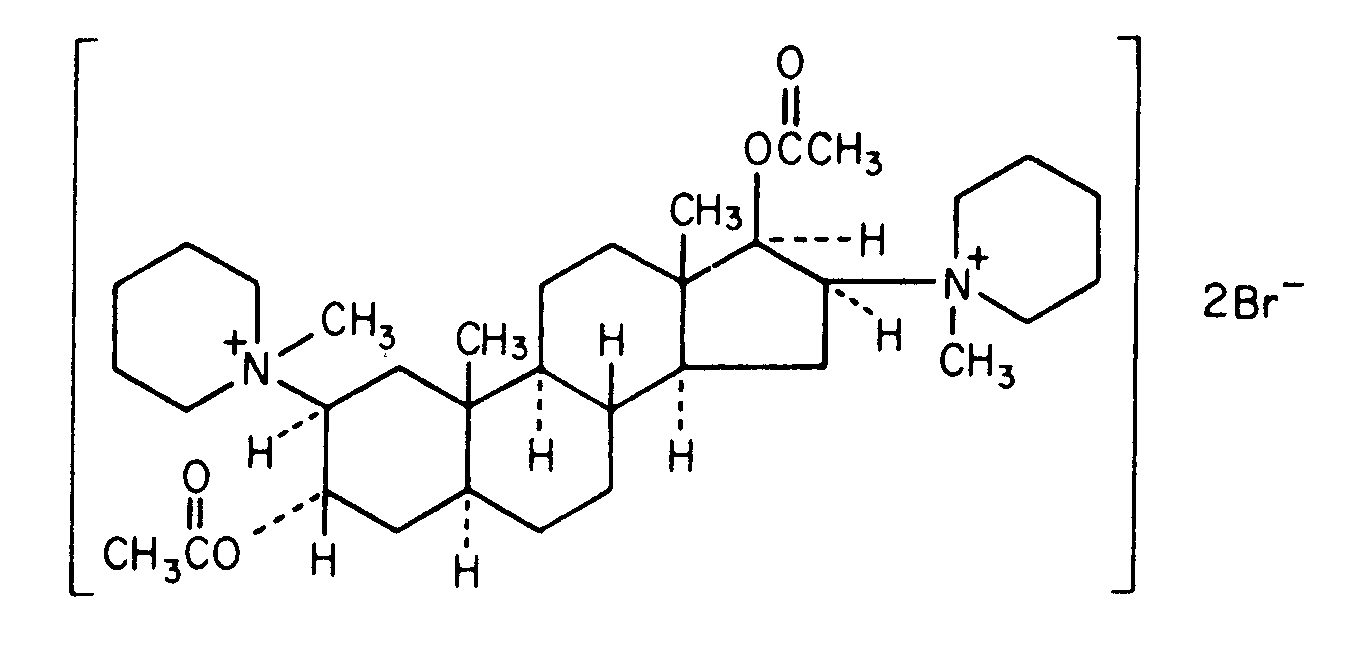
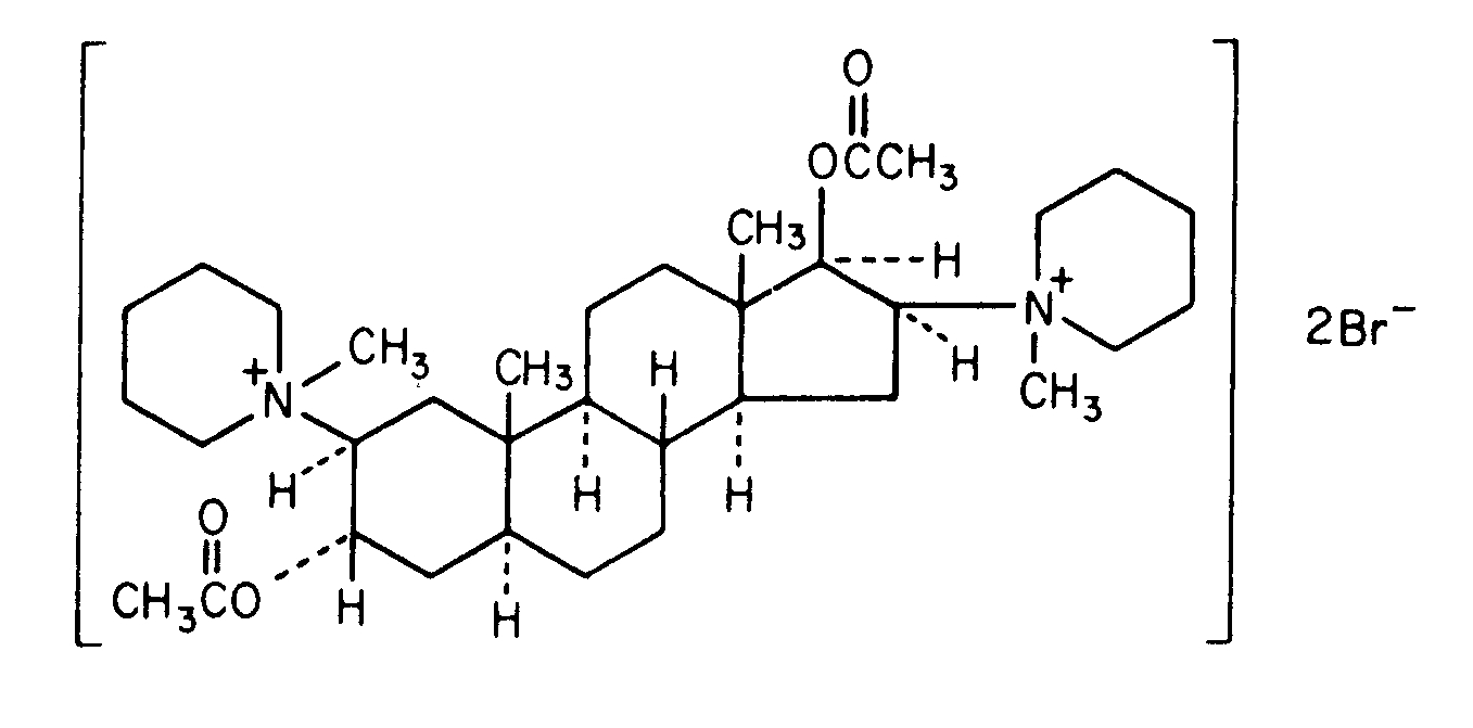
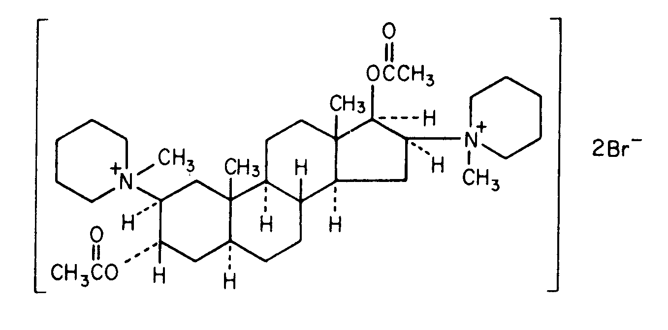
Curarizante   Pancuronium bromide  
Inyectables
Estabilidad en solucion Estabilidad en mezcla Factores que influyen sobre la estabilidad Compatibilidades método de inyección Bibliografía pdf
   Estructura química  

Nombre comercial   Nombre comercial     

Los nombres comerciales son orientativos y los excipientes de la formulación pueden ser distintos dependiendo del país y del laboratorio fabricante.

Pancuronium bromide injection Canadá, Estados Unidos de América
Estabilidad en solucion   Inyectables   Estabilidad en solucion : Pancuronium bromide     
Envase Solvente Concentración Temperatura Conservación Duración de la estabilidad Bibliografía
Vidrio específico disolvente 2 mg/ml 2-8°C No precisada
912 Día
4773
Nivel de evidencia B+


  Mentions Légales