Last update :
18/03/2026
Curarimimetic   Pancuronium bromide  
injection
Stability in solutions Stability of mixtures Factors which affect stability Compatibility Route of administration References pdf
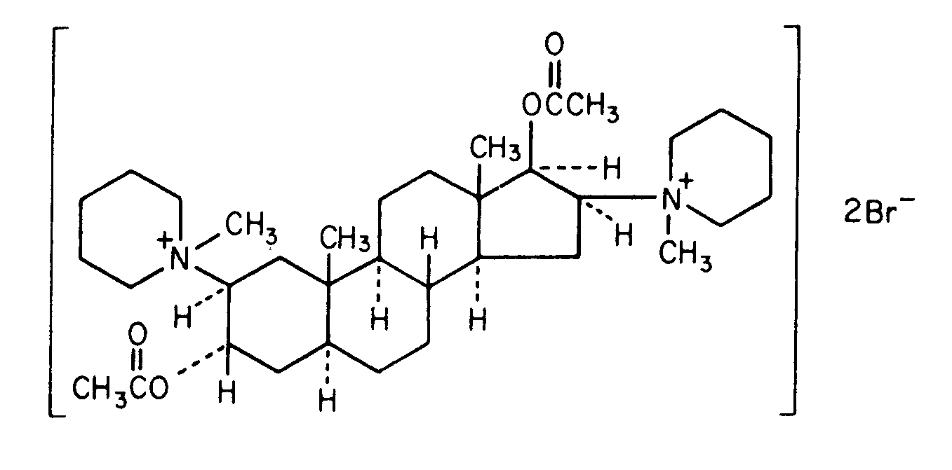
   Chemical structure  

Tradename   Tradename     

Trade names are indicative and excipients composition can be different depending on the country and manufacturers

Pancuronium bromide injection Canada, United States of America
Stability in solutions   injection   Stability in solutions : Pancuronium bromide     
Container Solvent Concentration Temperature Storage Duration of stability References
Glass specific solvent 2 mg/ml 2-8°C Not specified
912 Day
4773
Level of evidence B+


  Mentions Légales