Son güncelleme :
18/03/2026
Kurarimimetik   Pancuronium bromide  
Enjeksiyon
Çözeltilerin stabilitesi Karışımlardaki stabilitesi Stabiliteyi etkileyen faktörler Uyumluluk Uygulama yöntemi Kaynaklar pdf
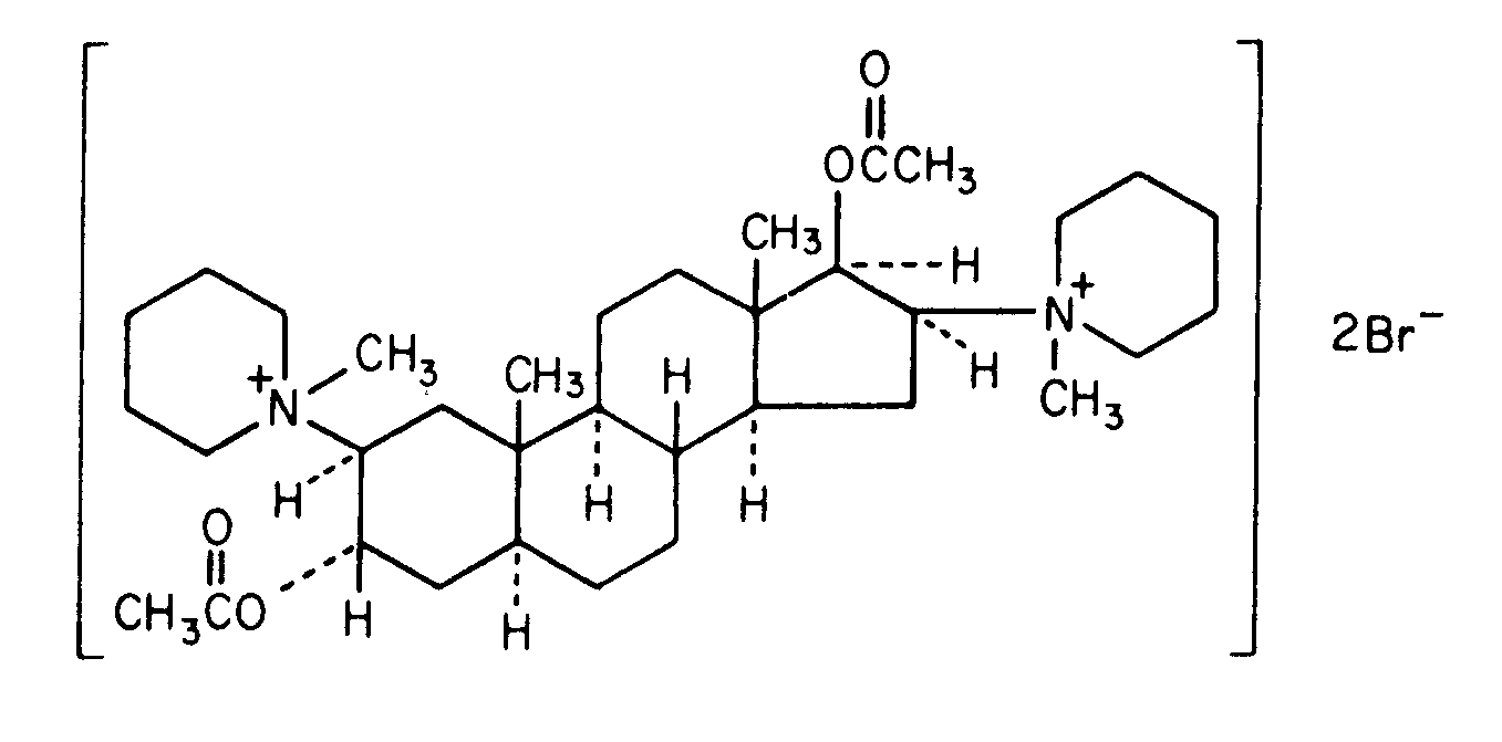
   Kimyasal yapı   

Ticari isim   Ticari isim     

Trade names are indicative and excipients composition can be different depending on the country and manufacturers

Pancuronium bromide injection Amerika Birleşik Devletleri, Kanada
Çözeltilerin stabilitesi   Enjeksiyon    Çözeltilerin stabilitesi : Pancuronium bromide     
Saklama kabı Çözücü Konsantrasyon Isı Saklama    Stabilite süresi Kaynaklar
Cam çözücü Özgül 2 mg/ml 2-8°C Belirtilmemiş
912 Gün
4773
Kanıt düzeyi B+


  Mentions Légales