最新更新 :
18/03/2026
クラーレ様薬   Pancuronium bromide  
注射薬
溶媒内の安定性 混合時の安定性 安定性に影響する因子 互換性 投与経路 引用文献 PDF
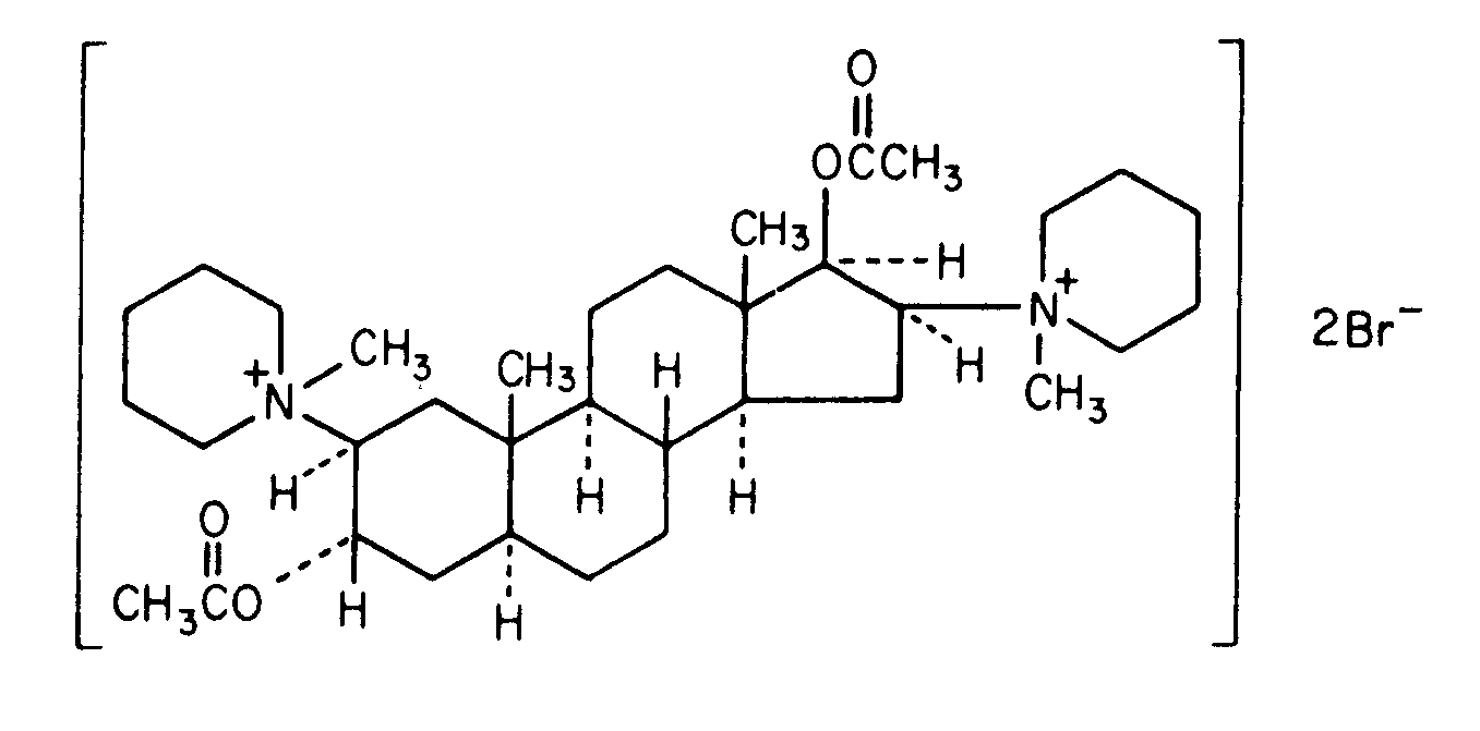
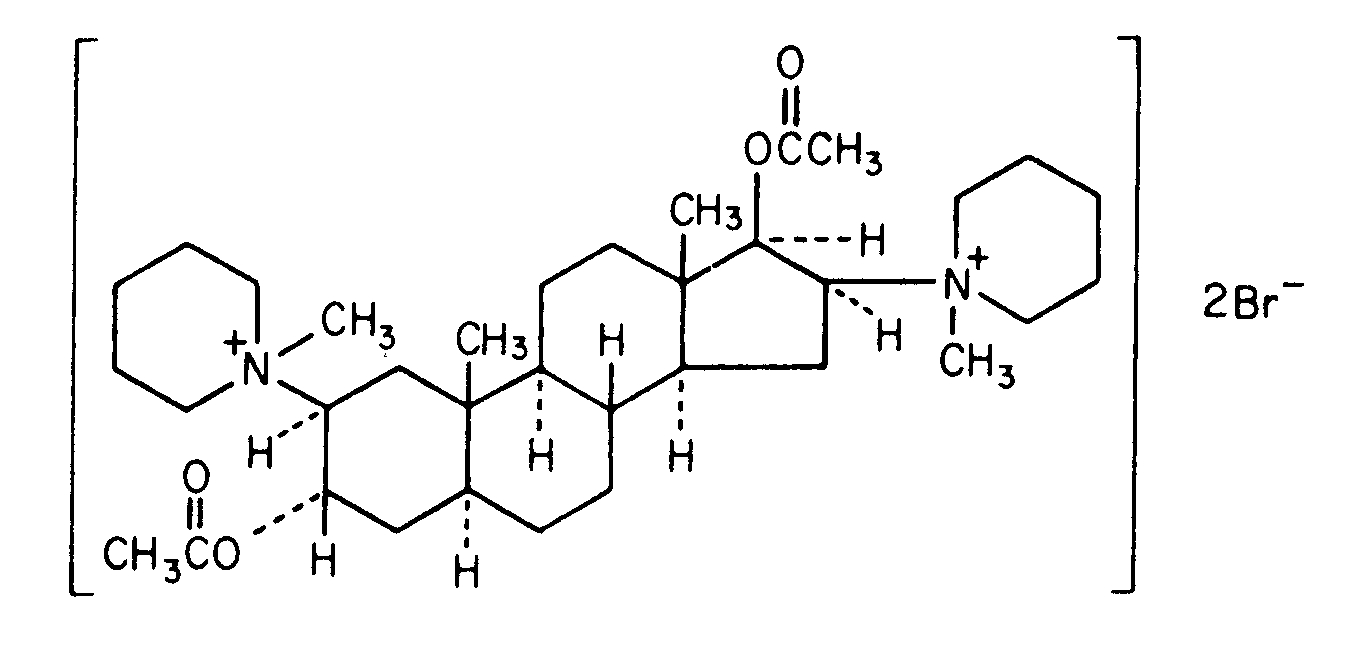
   化学構造  

商品名   商品名     

商品名、賦形剤は国、製薬会社ごとに異なることがあります

Pancuronium bromide injection アメリカ, カナダ
溶媒内の安定性   注射薬   溶媒内の安定性 : Pancuronium bromide     
容器 溶媒 濃度 温度 保管 安定期間 引用文献
ガラス 特定の溶媒 2 mg/ml 2-8°C 特記なし
912 日
4773
エビデンスレベル B+


  Mentions Légales