Останнє оновлення :
18/03/2026
Антибіотик   Netilmicin sulfate  
ін'єкція
аерозоль
Стійкість в розчинах Стійкість сумішей Фактори, що впливають на стабільність Сумісність Шлях введення Список літератури pdf
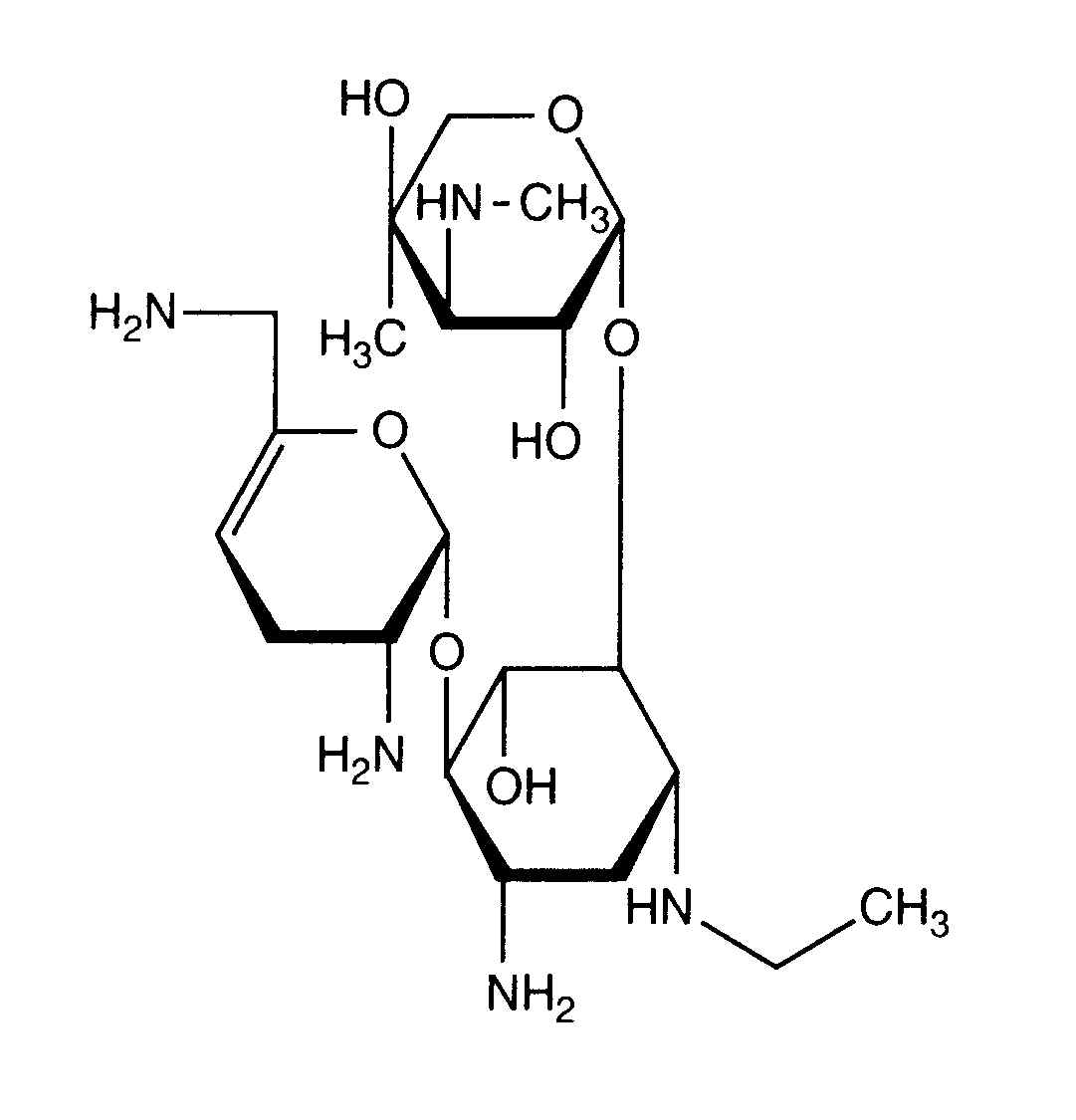
   Хімічна структура  

Торгова назва   Торгова назва     

Торгові назви є орієнтовними, а склад допоміжних речовин може бути різним залежно від країни та виробника

Bactob Індія
Beltob Індія
Bramicil Італія
Brulamycin Угорщина
Eltol Індія
Fytobra Індія
Gernebcin Німеччина
Komitub Індія
Nebcin Єгипет, Австралія, Великобританія, Греція, Нова Зеландія, Об'єднані Арабські Емірати, Саудівська Аравія
Nebcina Данія, Марокко, Норвегія, Швеція
Nebcine Марокко
Nebicina Італія
Netilyn Фінляндія, Швеція
Netromicina Португалія
Netromicine Франція
Netromycine Греція, Польща, російський, Туреччина
Nettacin Італія
Obracin Бельгія, Люксембург, Нідерланди, Швейцарія
Tobra Німеччина
Tobra Alex Єгипет
Tobra Day Нова Зеландія
Tobra Gobens Іспанія
Tobracin Єгипет
Tobradistin Іспанія
Tobramicina Іспанія, Італія, Венесуела, Португалія
Tobramina Бразилія
Tobramycin Ірландія, Австралія, Великобританія, Канада, Німеччина, Норвегія, Саудівська Аравія, Сполучені Штати Америки
Tobramycine Ірландія, Нідерланди, Франція
Tobrasix Австрія
Tobrazid Німеччина
Tomycin Фінляндія
Zetamicin Італія
Сумісність   ін'єкція   Сумісність : Netilmicin sulfate              
explication_incompatibilite_molecules
З'єднання Розчинник Список літератури
Опади через 1 год Несумісні
ін'єкція Netilmicin sulfate 5 mg/ml
ін'єкція Allopurinol sodium 3 mg/ml
Натрію хлорид 0,9% 307
сумісний
ін'єкція Netilmicin sulfate 3 mg/ml
NaHCO3 1200
сумісний
ін'єкція Netilmicin sulfate 5 mg/ml
ін'єкція Amifostine 10 mg/ml
Глюкоза 5% 3
сумісний
ін'єкція Netilmicin sulfate 3 mg/ml
ін'єкція Aminocaproic acid 10 mg/ml
Натрію хлорид 0,9% 1200
сумісний
ін'єкція Netilmicin sulfate 3 mg/ml
ін'єкція Aminocaproic acid 10 mg/ml
Глюкоза 5% 1200
сумісний
ін'єкція Netilmicin sulfate 5 mg/ml
ін'єкція Aminophylline 0,8 mg/ml
NaCl 0,45% Глюкоза 5% 1236
Хімічна нестійкість Несумісні
ін'єкція Netilmicin sulfate
ін'єкція Amoxicillin sodium
3527
Неуточнена несумісність Несумісні
ін'єкція Netilmicin sulfate
ін'єкція Amoxicillin sodium / clavulanic acid
3545
Миттєві опади Несумісні
ін'єкція Netilmicin sulfate 5 mg/ml
ін'єкція Amphotericin B cholesteryl sulfate complex 0,83 mg/ml
Глюкоза 5% 921
сумісний
ін'єкція Netilmicin sulfate 3 mg/ml
ін'єкція Atropine sulfate 0.04 mg/ml
Натрію хлорид 0,9% 1200
сумісний
ін'єкція Netilmicin sulfate 3 mg/ml
ін'єкція Atropine sulfate 0.04 mg/ml
Глюкоза 5% 1200
сумісний
ін'єкція Netilmicin sulfate 5 mg/ml
ін'єкція Aztreonam 40 mg/ml
Глюкоза 5% 99
сумісний
ін'єкція Netilmicin sulfate 5 mg/ml
ін'єкція Calcium gluconate 40 mg/ml
NaCl 0,45% Глюкоза 5% 1236
Неуточнена несумісність Несумісні
ін'єкція Netilmicin sulfate
ін'єкція Calcium gluconate
3644
Несумісні
ін'єкція Netilmicin sulfate
ін'єкція Calcium gluconate
4964
Неуточнена несумісність Несумісні
ін'єкція Netilmicin sulfate
ін'єкція Cefamandole nafate
3546
Неуточнена несумісність Несумісні
ін'єкція Netilmicin sulfate
ін'єкція Cefepime dihydrochloride
3548
Неуточнена несумісність Несумісні
ін'єкція Netilmicin sulfate
ін'єкція Cefoperazone sodium
3544
Неуточнена несумісність Несумісні
ін'єкція Netilmicin sulfate
ін'єкція Ceftazidime
3883
Неуточнена несумісність Несумісні
ін'єкція Netilmicin sulfate
ін'єкція Ceftazidime
3543
Неуточнена несумісність Несумісні
ін'єкція Netilmicin sulfate
ін'єкція Ceftriaxone disodium
3523
Неуточнена несумісність Несумісні
ін'єкція Netilmicin sulfate
ін'єкція Cefuroxime sodium
3687
сумісний
ін'єкція Netilmicin sulfate 3 mg/ml
ін'єкція Chlorpromazine hydrochloride 0.1 mg/ml
Глюкоза 5% 1200
сумісний
ін'єкція Netilmicin sulfate 3 mg/ml
ін'єкція Chlorpromazine hydrochloride 0.1 mg/ml
Натрію хлорид 0,9% 1200
сумісний
ін'єкція Netilmicin sulfate 2,5 mg/ml
ін'єкція Ciprofloxacin lactate 2 mg/ml
Натрію хлорид 0,9% 289
сумісний
ін'єкція Netilmicin sulfate 5 mg/ml
ін'єкція Cisatracurium besylate 0.1 >> 5 mg/ml
Глюкоза 5% 299
Хімічна нестійкість Несумісні
ін'єкція Netilmicin sulfate
ін'єкція Cisplatin
3578
сумісний
ін'єкція Netilmicin sulfate 3 mg/ml
ін'єкція Clindamycin phosphate 9 mg/ml
Натрію хлорид 0,9% 421
сумісний
ін'єкція Netilmicin sulfate 3 mg/ml
ін'єкція Clindamycin phosphate 9 mg/ml
Глюкоза 5% 421
сумісний
ін'єкція Netilmicin sulfate
ін'єкція Clindamycin phosphate
Глюкоза 5% 3526
сумісний
ін'єкція Netilmicin sulfate
ін'єкція Clindamycin phosphate
Натрію хлорид 0,9% 3526
сумісний
ін'єкція Netilmicin sulfate 3 mg/ml
ін'єкція Dexamethasone sodium phosphate 0.08 mg/ml
Натрію хлорид 0,9% 1200
сумісний
ін'єкція Netilmicin sulfate 3 mg/ml
ін'єкція Dexamethasone sodium phosphate 0.08 mg/ml
Глюкоза 5% 1200
сумісний
ін'єкція Netilmicin sulfate 3 mg/ml
ін'єкція Diazepam 0.04 mg/ml
Натрію хлорид 0,9% 1200
сумісний
ін'єкція Netilmicin sulfate 3 mg/ml
ін'єкція Diphenhydramine hydrochloride 0.4 mg/ml
Натрію хлорид 0,9% 1200
Несумісні
ін'єкція Netilmicin sulfate
Глюкоза 5% 421
сумісний
ін'єкція Netilmicin sulfate 3 mg/ml
ін'єкція Diazepam 0.04 mg/ml
Глюкоза 5% 1200
сумісний
ін'єкція Netilmicin sulfate 3 mg/ml
ін'єкція Diphenhydramine hydrochloride 0.4 mg/ml
Глюкоза 5% 1200
сумісний
ін'єкція Netilmicin sulfate 5 mg/ml
ін'єкція Docetaxel 0.9 mg/ml
Глюкоза 5% 1754
сумісний
ін'єкція Netilmicin sulfate 5 mg/ml
ін'єкція Doxorubicin hydrochloride liposome peg 0.4 mg/ml
Глюкоза 5% 251
Неуточнена несумісність Несумісні
ін'єкція Netilmicin sulfate
ін'єкція Erythromycin lactobionate
3674
сумісний
ін'єкція Netilmicin sulfate 5 mg/ml
ін'єкція Etoposide phosphate 5 mg/ml
Глюкоза 5% 1410
сумісний
ін'єкція Netilmicin sulfate 5 mg/ml
ін'єкція Filgrastim 30 µg/ml
Глюкоза 5% 244
Миттєві опади Несумісні
ін'єкція Netilmicin sulfate
ін'єкція Flucloxacillin sodium
3522
сумісний
ін'єкція Netilmicin sulfate 5 mg/ml
ін'єкція Fludarabine phosphate 1 mg/ml
Глюкоза 5% 492
Миттєві опади Несумісні
ін'єкція Netilmicin sulfate 1,5 mg/ml
ін'єкція Furosemide 0,4 mg/ml
Глюкоза 5% 367
Миттєві опади Несумісні
ін'єкція Netilmicin sulfate 1,5 mg/ml
ін'єкція Furosemide 0,4 mg/ml
Натрію хлорид 0,9% 367
сумісний
ін'єкція Netilmicin sulfate 5 mg/ml
ін'єкція Gemcitabine hydrochloride 10 mg/ml
Натрію хлорид 0,9% 1423
сумісний
ін'єкція Netilmicin sulfate 5 mg/ml
ін'єкція Granisetron hydrochloride 0.05 mg/ml
Глюкоза 5% 182
Миттєві опади Несумісні
ін'єкція Netilmicin sulfate
ін'єкція Heparin sodium
1022
Неуточнена несумісність Несумісні
ін'єкція Netilmicin sulfate
ін'єкція Heparin sodium
3540
сумісний
ін'єкція Netilmicin sulfate 3 mg/ml
ін'єкція Hydrocortisone sodium succinate 0.8 mg/ml
Натрію хлорид 0,9% 1200
сумісний
ін'єкція Netilmicin sulfate 5 mg/ml
Парентеральне харчування (бінарна суміш) 301
сумісний
ін'єкція Netilmicin sulfate 50 & 100 mg/ml
Парентеральне харчування (бінарна суміш) 999
сумісний
ін'єкція Netilmicin sulfate 5 mg/ml
Парентеральне харчування (ліпідами) 1415
сумісний
ін'єкція Netilmicin sulfate
Розчин лактату Рінгера 1200
сумісний
ін'єкція Netilmicin sulfate 3 mg/ml
ін'єкція Hydrocortisone sodium succinate 0.8 mg/ml
Глюкоза 5% 1200
сумісний
ін'єкція Netilmicin sulfate 3 mg/ml
ін'єкція Iron dextran
Глюкоза 5% 1200
сумісний
ін'єкція Netilmicin sulfate 3 mg/ml
ін'єкція Iron dextran
Натрію хлорид 0,9% 1200
сумісний
ін'єкція Netilmicin sulfate 3 mg/ml
ін'єкція Isoprenaline hydrochloride 0.4 mg/ml
Глюкоза 5% 1200
сумісний
ін'єкція Netilmicin sulfate 3 mg/ml
ін'єкція Isoprenaline hydrochloride 0.4 mg/ml
Натрію хлорид 0,9% 1200
сумісний
ін'єкція Netilmicin sulfate 5 mg/ml
ін'єкція Linezolid 2 mg/ml
Жодного 1925
сумісний
ін'єкція Netilmicin sulfate 5 mg/ml
ін'єкція Melphalan 0.1 mg/ml
Натрію хлорид 0,9% 169
сумісний
ін'єкція Netilmicin sulfate 1 mg/ml
ін'єкція Metronidazole 5 mg/ml
Натрію хлорид 0,9% 958
сумісний
ін'єкція Netilmicin sulfate
ін'єкція Metronidazole
3594
сумісний
ін'єкція Netilmicin sulfate 1.4 mg/ml
ін'єкція Metronidazole 5 mg/ml
Жодного 1035
сумісний
ін'єкція Netilmicin sulfate 3 mg/ml
ін'єкція Neostigmine methylsulfate 0.04 mg/ml
Глюкоза 5% 1200
сумісний
ін'єкція Netilmicin sulfate 3 mg/ml
ін'єкція Neostigmine methylsulfate 0.04 mg/ml
Натрію хлорид 0,9% 1200
сумісний
ін'єкція Netilmicin sulfate 3 mg/ml
ін'єкція Norepinephrine bitartrate 0.064 mg/ml
Натрію хлорид 0,9% 1200
сумісний
ін'єкція Netilmicin sulfate 3 mg/ml
ін'єкція Norepinephrine bitartrate 0.064 mg/ml
Глюкоза 5% 1200
сумісний
ін'єкція Netilmicin sulfate 3 mg/ml
ін'єкція Oxytocin
Глюкоза 5% 1200
сумісний
ін'єкція Netilmicin sulfate 3 mg/ml
ін'єкція Oxytocin
Натрію хлорид 0,9% 1200
сумісний
ін'єкція Netilmicin sulfate 3 mg/ml
ін'єкція Phytomenadione 0.1 mg/ml
Натрію хлорид 0,9% 1200
сумісний
ін'єкція Netilmicin sulfate 3 mg/ml
ін'єкція Phytomenadione 0.1 mg/ml
Глюкоза 5% 1200
Хімічна нестійкість Несумісні
ін'єкція Netilmicin sulfate
ін'єкція Piperacillin sodium / tazobactam
3586
сумісний
ін'єкція Netilmicin sulfate 3 mg/ml
ін'єкція Potassium chloride
Глюкоза 5% 1200
сумісний
ін'єкція Netilmicin sulfate 3 mg/ml
ін'єкція Potassium chloride
Натрію хлорид 0,9% 1200
сумісний
ін'єкція Netilmicin sulfate 3 mg/ml
ін'єкція Procainamide hydrochloride 4 mg/ml
Натрію хлорид 0,9% 1200
сумісний
ін'єкція Netilmicin sulfate 3 mg/ml
ін'єкція Procainamide hydrochloride 4 mg/ml
Глюкоза 5% 1200
сумісний
ін'єкція Netilmicin sulfate 3 mg/ml
ін'єкція Promethazine hydrochloride 0.1 mg/ml
Глюкоза 5% 1200
сумісний
ін'єкція Netilmicin sulfate 3 mg/ml
ін'єкція Promethazine hydrochloride 0.1 mg/ml
Натрію хлорид 0,9% 1200
Миттєві опади Несумісні
ін'єкція Netilmicin sulfate 5 mg/ml
ін'єкція Propofol 10 mg/ml
Жодного 300
сумісний
ін'єкція Netilmicin sulfate 1 mg/ml
ін'єкція Ranitidine hydrochloride 0,5 mg/ml
Натрію хлорид 0,9% 958
сумісний
ін'єкція Netilmicin sulfate 5 mg/ml
ін'єкція Remifentanil hydrochloride 25 & 250 µg/ml
Натрію хлорид 0,9% 59
сумісний
ін'єкція Netilmicin sulfate 5 mg/ml
ін'єкція Sargramostim 10 µg/ml
Натрію хлорид 0,9% 335
сумісний
ін'єкція Netilmicin sulfate 5 mg/ml
ін'єкція Thiotepa 1 mg/ml
Глюкоза 5% 249
сумісний
ін'єкція Netilmicin sulfate 3 mg/ml
ін'єкція Triflupromazine hydrochloride 0.4 mg/ml
Глюкоза 5% 1200
сумісний
ін'єкція Netilmicin sulfate 5 mg/ml
ін'єкція Vinorelbine tartrate 1 mg/ml
Натрію хлорид 0,9% 84
сумісний
ін'єкція Netilmicin sulfate
Натрію хлорид 0,9% 421
Неуточнена несумісність Несумісні
ін'єкція Netilmicin sulfate
ін'єкція Teicoplanine
3656
Неуточнена несумісність Несумісні
ін'єкція Netilmicin sulfate
ін'єкція Temocilline
2296
сумісний
ін'єкція Netilmicin sulfate 5 mg/ml
ін'єкція Teniposide 0.1 mg/ml
Глюкоза 5% 905
Хімічна нестійкість Несумісні
ін'єкція Netilmicin sulfate
ін'єкція Ticarcillin / clavulanic acid
3587
сумісний
ін'єкція Netilmicin sulfate 3 mg/ml
ін'єкція Triflupromazine hydrochloride 0.4 mg/ml
Натрію хлорид 0,9% 1200

  Mentions Légales