viimane versioon :
18/03/2026
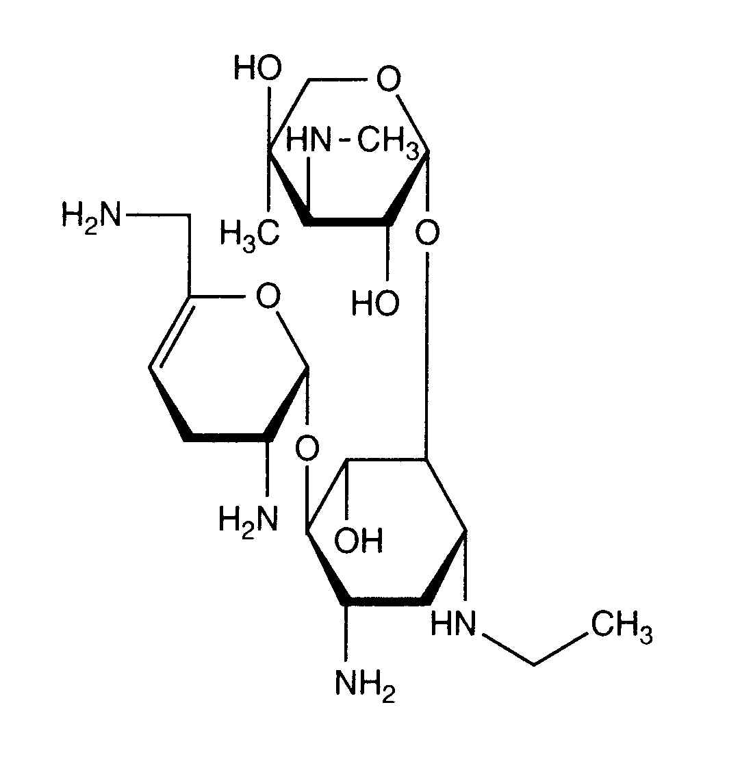
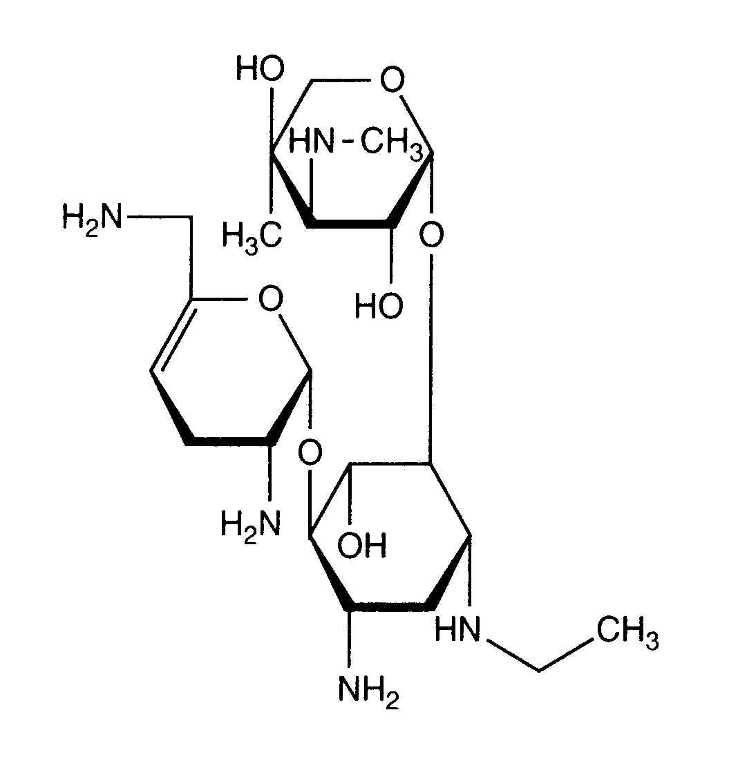
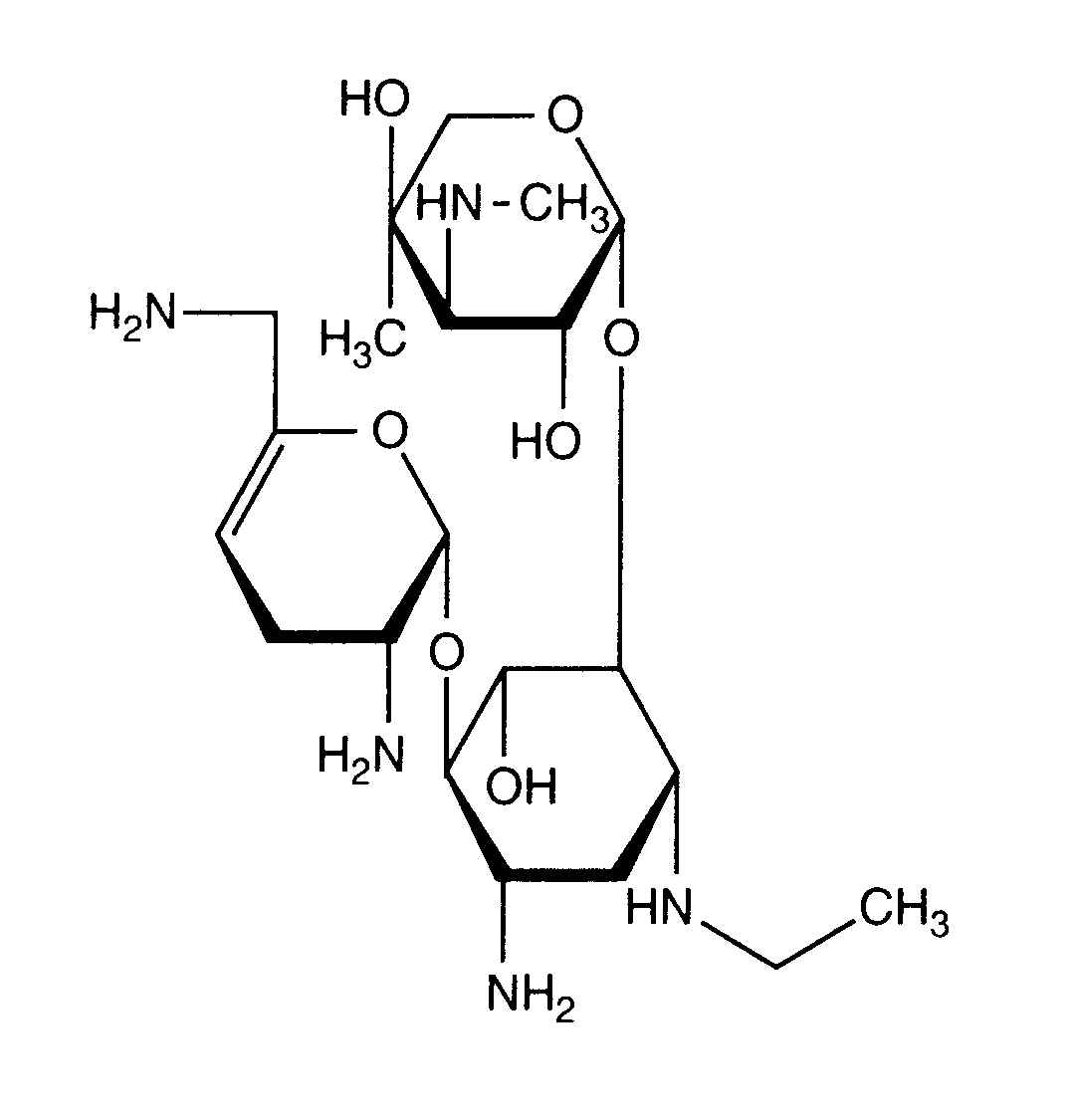
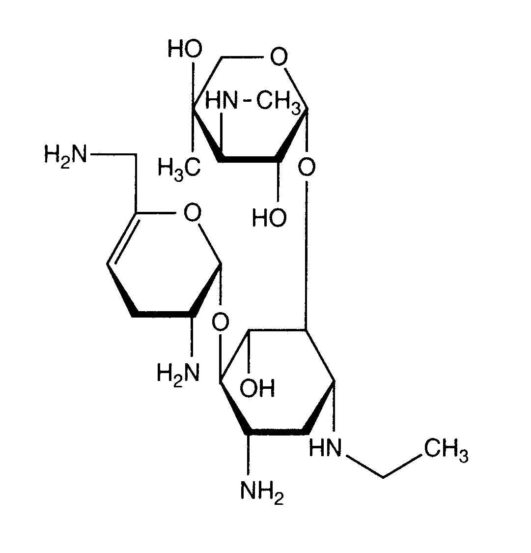
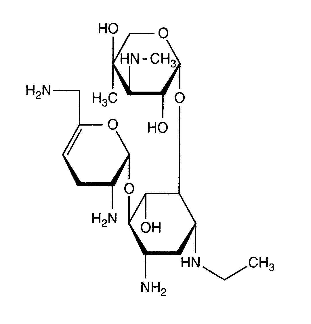
antibiootikum   Netilmicin sulfate  
Süsteravim
aerosool
Stabiilsus lahustes Stabiilsust mõjutavad tegurid stabiilsust mõjutavad faktorid Sobimatus Manustamis viis Viited pdf
   keemiline struktuur  

Kaubanduslikud nimed erinevates maades   Kaubanduslikud nimed erinevates maades     

Preparaatide nimed on näitlikud ja abianete sisaldus võib erineda sõltuvalt riigist ja laborist

Bactob India
Beltob India
Bramicil Itaalia
Brulamycin Ungari
Eltol India
Fytobra India
Gernebcin Saksamaa
Komitub India
Nebcin Araabia Ühendemiraadid, Austraalia, Egiptus, Kreeka, Saudi Araabia, Suurbritannia, uus-Meremaa
Nebcina Maroko, Norra, Rootsi, Taani
Nebcine Maroko
Nebicina Itaalia
Netilyn Rootsi, Soome
Netromicina Portugal
Netromicine Prantsusmaa
Netromycine Kreeka, Poola, Türgi, vene
Nettacin Itaalia
Obracin Belgia, Holland, Luksemburg, Sveits
Tobra Saksamaa
Tobra Alex Egiptus
Tobra Day uus-Meremaa
Tobra Gobens Hispaania
Tobracin Egiptus
Tobradistin Hispaania
Tobramicina Hispaania, Itaalia, Portugal, Venetsueela
Tobramina Brasiilia
Tobramycin Ameerika ühendriigid, Austraalia, Iirimaa, Kanada, Norra, Saksamaa, Saudi Araabia, Suurbritannia
Tobramycine Holland, Iirimaa, Prantsusmaa
Tobrasix Austria
Tobrazid Saksamaa
Tomycin Soome
Zetamicin Itaalia
Sobimatus   Süsteravim   Sobimatus : Netilmicin sulfate              
Sellel lehel kuvatakse sobimatusi ja sobimatuse tüüpi (sadenemine, värvuse muutus, emulsiooni modifitseerumine jne). Enamasti on siin lehel kuvatud füüsikalised sobimatused, kuna molekulide keemilist stabiilsust hinnatakse harva. Hinnatud on segude sobivust Y-liinis. Antud infot ei saa kasutada ravimite sobivuse hindamiseks juhul, kui ravimid on segatud süstaldes või infusioonikottides. See info on lehel « stabiilsus segudes ».
ingredient lahusti Viited
Sade 1 tunni pärast Sobimatu
Süsteravim Netilmicin sulfate 5 mg/ml
Süsteravim Allopurinol sodium 3 mg/ml
naatriumkloriid 0.9% 307
Ühilduv
Süsteravim Netilmicin sulfate 3 mg/ml
NaHCO3 1200
Ühilduv
Süsteravim Netilmicin sulfate 5 mg/ml
Süsteravim Amifostine 10 mg/ml
glükoos 5% 3
Ühilduv
Süsteravim Netilmicin sulfate 3 mg/ml
Süsteravim Aminocaproic acid 10 mg/ml
naatriumkloriid 0.9% 1200
Ühilduv
Süsteravim Netilmicin sulfate 3 mg/ml
Süsteravim Aminocaproic acid 10 mg/ml
glükoos 5% 1200
Ühilduv
Süsteravim Netilmicin sulfate 5 mg/ml
Süsteravim Aminophylline 0,8 mg/ml
NaCl 0,45%+ glükoos 5% 1236
Keemiline ebastabiilsus Sobimatu
Süsteravim Netilmicin sulfate
Süsteravim Amoxicillin sodium
3527
Täpsustamata sobimatus Sobimatu
Süsteravim Netilmicin sulfate
Süsteravim Amoxicillin sodium / clavulanic acid
3545
Kohene sade Sobimatu
Süsteravim Netilmicin sulfate 5 mg/ml
Süsteravim Amphotericin B cholesteryl sulfate complex 0,83 mg/ml
glükoos 5% 921
Ühilduv
Süsteravim Netilmicin sulfate 3 mg/ml
Süsteravim Atropine sulfate 0.04 mg/ml
naatriumkloriid 0.9% 1200
Ühilduv
Süsteravim Netilmicin sulfate 3 mg/ml
Süsteravim Atropine sulfate 0.04 mg/ml
glükoos 5% 1200
Ühilduv
Süsteravim Netilmicin sulfate 5 mg/ml
Süsteravim Aztreonam 40 mg/ml
glükoos 5% 99
Ühilduv
Süsteravim Netilmicin sulfate 5 mg/ml
Süsteravim Calcium gluconate 40 mg/ml
NaCl 0,45%+ glükoos 5% 1236
Täpsustamata sobimatus Sobimatu
Süsteravim Netilmicin sulfate
Süsteravim Calcium gluconate
3644
Sobimatu
Süsteravim Netilmicin sulfate
Süsteravim Calcium gluconate
4964
Täpsustamata sobimatus Sobimatu
Süsteravim Netilmicin sulfate
Süsteravim Cefamandole nafate
3546
Täpsustamata sobimatus Sobimatu
Süsteravim Netilmicin sulfate
Süsteravim Cefepime dihydrochloride
3548
Täpsustamata sobimatus Sobimatu
Süsteravim Netilmicin sulfate
Süsteravim Cefoperazone sodium
3544
Täpsustamata sobimatus Sobimatu
Süsteravim Netilmicin sulfate
Süsteravim Ceftazidime
3883
Täpsustamata sobimatus Sobimatu
Süsteravim Netilmicin sulfate
Süsteravim Ceftazidime
3543
Täpsustamata sobimatus Sobimatu
Süsteravim Netilmicin sulfate
Süsteravim Ceftriaxone disodium
3523
Täpsustamata sobimatus Sobimatu
Süsteravim Netilmicin sulfate
Süsteravim Cefuroxime sodium
3687
Ühilduv
Süsteravim Netilmicin sulfate 3 mg/ml
Süsteravim Chlorpromazine hydrochloride 0.1 mg/ml
glükoos 5% 1200
Ühilduv
Süsteravim Netilmicin sulfate 3 mg/ml
Süsteravim Chlorpromazine hydrochloride 0.1 mg/ml
naatriumkloriid 0.9% 1200
Ühilduv
Süsteravim Netilmicin sulfate 2,5 mg/ml
Süsteravim Ciprofloxacin lactate 2 mg/ml
naatriumkloriid 0.9% 289
Ühilduv
Süsteravim Netilmicin sulfate 5 mg/ml
Süsteravim Cisatracurium besylate 0.1 >> 5 mg/ml
glükoos 5% 299
Keemiline ebastabiilsus Sobimatu
Süsteravim Netilmicin sulfate
Süsteravim Cisplatin
3578
Ühilduv
Süsteravim Netilmicin sulfate 3 mg/ml
Süsteravim Clindamycin phosphate 9 mg/ml
naatriumkloriid 0.9% 421
Ühilduv
Süsteravim Netilmicin sulfate 3 mg/ml
Süsteravim Clindamycin phosphate 9 mg/ml
glükoos 5% 421
Ühilduv
Süsteravim Netilmicin sulfate
Süsteravim Clindamycin phosphate
glükoos 5% 3526
Ühilduv
Süsteravim Netilmicin sulfate
Süsteravim Clindamycin phosphate
naatriumkloriid 0.9% 3526
Ühilduv
Süsteravim Netilmicin sulfate 3 mg/ml
Süsteravim Dexamethasone sodium phosphate 0.08 mg/ml
naatriumkloriid 0.9% 1200
Ühilduv
Süsteravim Netilmicin sulfate 3 mg/ml
Süsteravim Dexamethasone sodium phosphate 0.08 mg/ml
glükoos 5% 1200
Ühilduv
Süsteravim Netilmicin sulfate 3 mg/ml
Süsteravim Diazepam 0.04 mg/ml
naatriumkloriid 0.9% 1200
Ühilduv
Süsteravim Netilmicin sulfate 3 mg/ml
Süsteravim Diphenhydramine hydrochloride 0.4 mg/ml
naatriumkloriid 0.9% 1200
Sobimatu
Süsteravim Netilmicin sulfate
glükoos 5% 421
Ühilduv
Süsteravim Netilmicin sulfate 3 mg/ml
Süsteravim Diazepam 0.04 mg/ml
glükoos 5% 1200
Ühilduv
Süsteravim Netilmicin sulfate 3 mg/ml
Süsteravim Diphenhydramine hydrochloride 0.4 mg/ml
glükoos 5% 1200
Ühilduv
Süsteravim Netilmicin sulfate 5 mg/ml
Süsteravim Docetaxel 0.9 mg/ml
glükoos 5% 1754
Ühilduv
Süsteravim Netilmicin sulfate 5 mg/ml
Süsteravim Doxorubicin hydrochloride liposome peg 0.4 mg/ml
glükoos 5% 251
Täpsustamata sobimatus Sobimatu
Süsteravim Netilmicin sulfate
Süsteravim Erythromycin lactobionate
3674
Ühilduv
Süsteravim Netilmicin sulfate 5 mg/ml
Süsteravim Etoposide phosphate 5 mg/ml
glükoos 5% 1410
Ühilduv
Süsteravim Netilmicin sulfate 5 mg/ml
Süsteravim Filgrastim 30 µg/ml
glükoos 5% 244
Kohene sade Sobimatu
Süsteravim Netilmicin sulfate
Süsteravim Flucloxacillin sodium
3522
Ühilduv
Süsteravim Netilmicin sulfate 5 mg/ml
Süsteravim Fludarabine phosphate 1 mg/ml
glükoos 5% 492
Kohene sade Sobimatu
Süsteravim Netilmicin sulfate 1,5 mg/ml
Süsteravim Furosemide 0,4 mg/ml
glükoos 5% 367
Kohene sade Sobimatu
Süsteravim Netilmicin sulfate 1,5 mg/ml
Süsteravim Furosemide 0,4 mg/ml
naatriumkloriid 0.9% 367
Ühilduv
Süsteravim Netilmicin sulfate 5 mg/ml
Süsteravim Gemcitabine hydrochloride 10 mg/ml
naatriumkloriid 0.9% 1423
Ühilduv
Süsteravim Netilmicin sulfate 5 mg/ml
Süsteravim Granisetron hydrochloride 0.05 mg/ml
glükoos 5% 182
Kohene sade Sobimatu
Süsteravim Netilmicin sulfate
Süsteravim Heparin sodium
1022
Täpsustamata sobimatus Sobimatu
Süsteravim Netilmicin sulfate
Süsteravim Heparin sodium
3540
Ühilduv
Süsteravim Netilmicin sulfate 3 mg/ml
Süsteravim Hydrocortisone sodium succinate 0.8 mg/ml
naatriumkloriid 0.9% 1200
Ühilduv
Süsteravim Netilmicin sulfate 5 mg/ml
Parenteraalse toitmise (lipiide tasuta) 301
Ühilduv
Süsteravim Netilmicin sulfate 50 & 100 mg/ml
Parenteraalse toitmise (lipiide tasuta) 999
Ühilduv
Süsteravim Netilmicin sulfate 5 mg/ml
Parenteraalse toitmise (lipiidide) 1415
Ühilduv
Süsteravim Netilmicin sulfate
Ringer laktaat 1200
Ühilduv
Süsteravim Netilmicin sulfate 3 mg/ml
Süsteravim Hydrocortisone sodium succinate 0.8 mg/ml
glükoos 5% 1200
Ühilduv
Süsteravim Netilmicin sulfate 3 mg/ml
Süsteravim Iron dextran
glükoos 5% 1200
Ühilduv
Süsteravim Netilmicin sulfate 3 mg/ml
Süsteravim Iron dextran
naatriumkloriid 0.9% 1200
Ühilduv
Süsteravim Netilmicin sulfate 3 mg/ml
Süsteravim Isoprenaline hydrochloride 0.4 mg/ml
glükoos 5% 1200
Ühilduv
Süsteravim Netilmicin sulfate 3 mg/ml
Süsteravim Isoprenaline hydrochloride 0.4 mg/ml
naatriumkloriid 0.9% 1200
Ühilduv
Süsteravim Netilmicin sulfate 5 mg/ml
Süsteravim Linezolid 2 mg/ml
mitte ükski 1925
Ühilduv
Süsteravim Netilmicin sulfate 5 mg/ml
Süsteravim Melphalan 0.1 mg/ml
naatriumkloriid 0.9% 169
Ühilduv
Süsteravim Netilmicin sulfate 1 mg/ml
Süsteravim Metronidazole 5 mg/ml
naatriumkloriid 0.9% 958
Ühilduv
Süsteravim Netilmicin sulfate
Süsteravim Metronidazole
3594
Ühilduv
Süsteravim Netilmicin sulfate 1.4 mg/ml
Süsteravim Metronidazole 5 mg/ml
mitte ükski 1035
Ühilduv
Süsteravim Netilmicin sulfate 3 mg/ml
Süsteravim Neostigmine methylsulfate 0.04 mg/ml
glükoos 5% 1200
Ühilduv
Süsteravim Netilmicin sulfate 3 mg/ml
Süsteravim Neostigmine methylsulfate 0.04 mg/ml
naatriumkloriid 0.9% 1200
Ühilduv
Süsteravim Netilmicin sulfate 3 mg/ml
Süsteravim Norepinephrine bitartrate 0.064 mg/ml
naatriumkloriid 0.9% 1200
Ühilduv
Süsteravim Netilmicin sulfate 3 mg/ml
Süsteravim Norepinephrine bitartrate 0.064 mg/ml
glükoos 5% 1200
Ühilduv
Süsteravim Netilmicin sulfate 3 mg/ml
Süsteravim Oxytocin
glükoos 5% 1200
Ühilduv
Süsteravim Netilmicin sulfate 3 mg/ml
Süsteravim Oxytocin
naatriumkloriid 0.9% 1200
Ühilduv
Süsteravim Netilmicin sulfate 3 mg/ml
Süsteravim Phytomenadione 0.1 mg/ml
naatriumkloriid 0.9% 1200
Ühilduv
Süsteravim Netilmicin sulfate 3 mg/ml
Süsteravim Phytomenadione 0.1 mg/ml
glükoos 5% 1200
Keemiline ebastabiilsus Sobimatu
Süsteravim Netilmicin sulfate
Süsteravim Piperacillin sodium / tazobactam
3586
Ühilduv
Süsteravim Netilmicin sulfate 3 mg/ml
Süsteravim Potassium chloride
glükoos 5% 1200
Ühilduv
Süsteravim Netilmicin sulfate 3 mg/ml
Süsteravim Potassium chloride
naatriumkloriid 0.9% 1200
Ühilduv
Süsteravim Netilmicin sulfate 3 mg/ml
Süsteravim Procainamide hydrochloride 4 mg/ml
naatriumkloriid 0.9% 1200
Ühilduv
Süsteravim Netilmicin sulfate 3 mg/ml
Süsteravim Procainamide hydrochloride 4 mg/ml
glükoos 5% 1200
Ühilduv
Süsteravim Netilmicin sulfate 3 mg/ml
Süsteravim Promethazine hydrochloride 0.1 mg/ml
glükoos 5% 1200
Ühilduv
Süsteravim Netilmicin sulfate 3 mg/ml
Süsteravim Promethazine hydrochloride 0.1 mg/ml
naatriumkloriid 0.9% 1200
Kohene sade Sobimatu
Süsteravim Netilmicin sulfate 5 mg/ml
Süsteravim Propofol 10 mg/ml
mitte ükski 300
Ühilduv
Süsteravim Netilmicin sulfate 1 mg/ml
Süsteravim Ranitidine hydrochloride 0,5 mg/ml
naatriumkloriid 0.9% 958
Ühilduv
Süsteravim Netilmicin sulfate 5 mg/ml
Süsteravim Remifentanil hydrochloride 25 & 250 µg/ml
naatriumkloriid 0.9% 59
Ühilduv
Süsteravim Netilmicin sulfate 5 mg/ml
Süsteravim Sargramostim 10 µg/ml
naatriumkloriid 0.9% 335
Ühilduv
Süsteravim Netilmicin sulfate 5 mg/ml
Süsteravim Thiotepa 1 mg/ml
glükoos 5% 249
Ühilduv
Süsteravim Netilmicin sulfate 3 mg/ml
Süsteravim Triflupromazine hydrochloride 0.4 mg/ml
glükoos 5% 1200
Ühilduv
Süsteravim Netilmicin sulfate 5 mg/ml
Süsteravim Vinorelbine tartrate 1 mg/ml
naatriumkloriid 0.9% 84
Ühilduv
Süsteravim Netilmicin sulfate
naatriumkloriid 0.9% 421
Täpsustamata sobimatus Sobimatu
Süsteravim Netilmicin sulfate
Süsteravim Teicoplanine
3656
Täpsustamata sobimatus Sobimatu
Süsteravim Netilmicin sulfate
Süsteravim Temocilline
2296
Ühilduv
Süsteravim Netilmicin sulfate 5 mg/ml
Süsteravim Teniposide 0.1 mg/ml
glükoos 5% 905
Keemiline ebastabiilsus Sobimatu
Süsteravim Netilmicin sulfate
Süsteravim Ticarcillin / clavulanic acid
3587
Ühilduv
Süsteravim Netilmicin sulfate 3 mg/ml
Süsteravim Triflupromazine hydrochloride 0.4 mg/ml
naatriumkloriid 0.9% 1200

  Mentions Légales