Последнее обновление :
18/03/2026
Антибиотик   Netilmicin sulfate  
Инъекция
Аэрозоль
Стабильность растворов Стабильность смесей Факторы, которые влияют на стабильность Совместимость Способы введения Библиография pdf
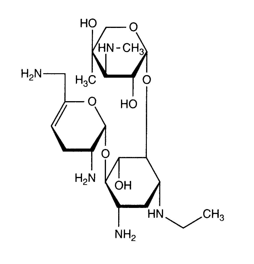
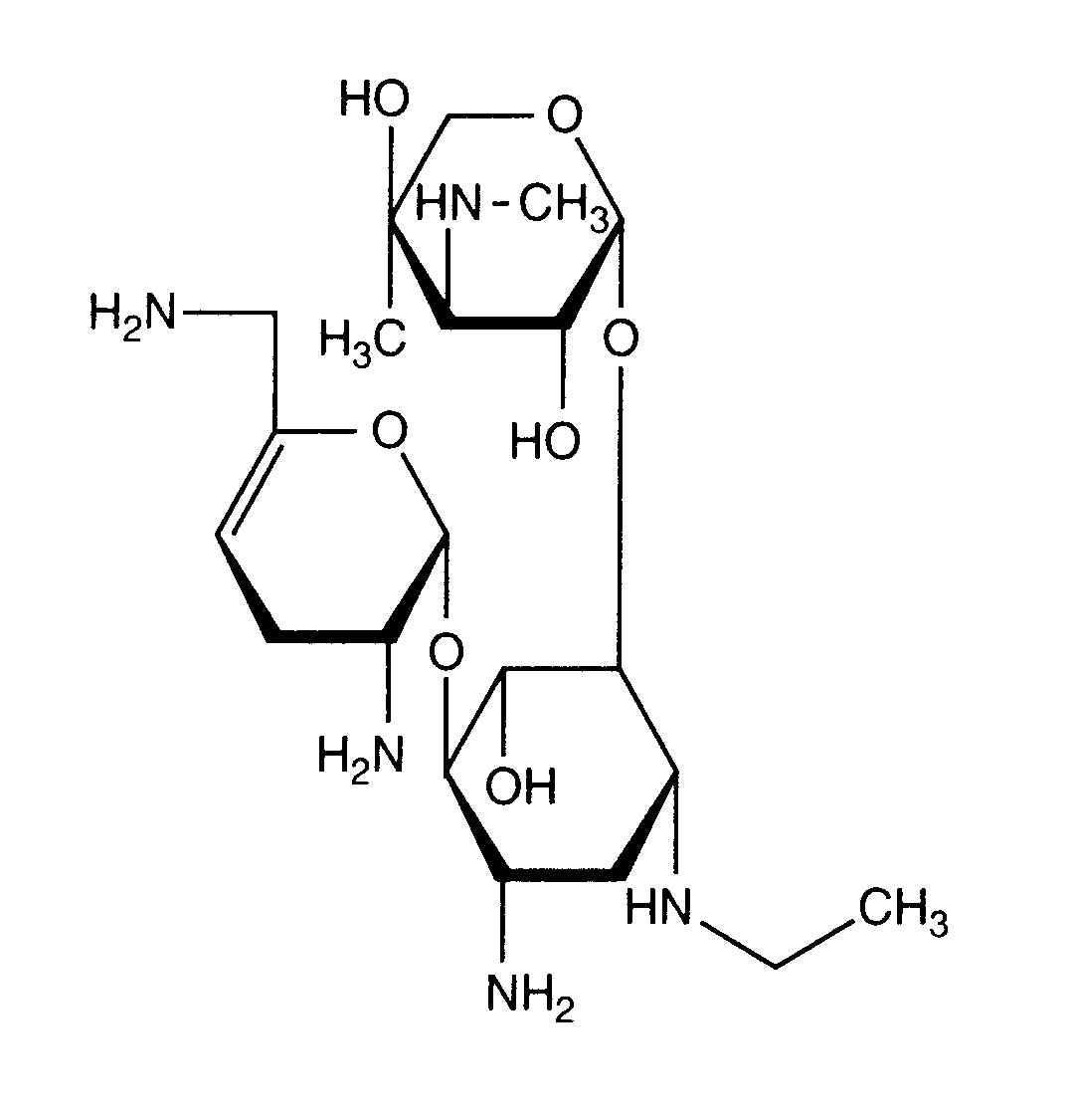
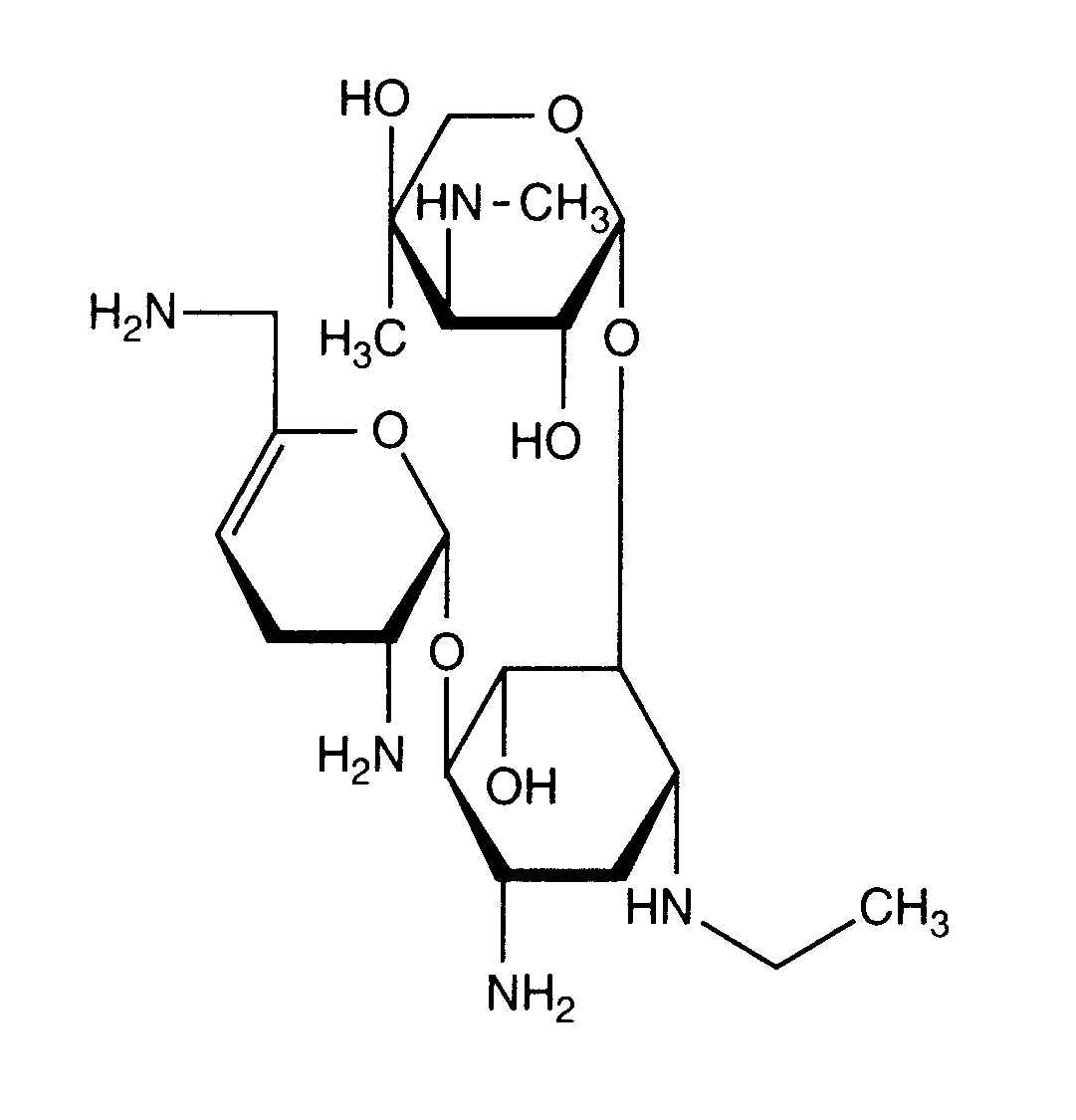
   Химическая структура  

Товарное название   Товарное название     

Trade names are indicative and excipients composition can be different depending on the country and manufacturers

Bactob Индия
Beltob Индия
Bramicil Италия
Brulamycin Венгрия
Eltol Индия
Fytobra Индия
Gernebcin Германия
Komitub Индия
Nebcin Австралия, Великобритания, Греция, Египет, новая Зеландия, Объединенные Арабские Эмираты, Саудовская Аравия
Nebcina Дания, Марокко, Норвегия, Швеция
Nebcine Марокко
Nebicina Италия
Netilyn Финляндия, Швеция
Netromicina Португалия
Netromicine Франция
Netromycine Греция, Польша, Русский, Турция
Nettacin Италия
Obracin Бельгия, Голландия, Люксембург, Швейцария
Tobra Германия
Tobra Alex Египет
Tobra Day новая Зеландия
Tobra Gobens Испания
Tobracin Египет
Tobradistin Испания
Tobramicina Венесуэла, Испания, Италия, Португалия
Tobramina Бразилия
Tobramycin Австралия, Великобритания, Германия, Ирландия, Канада, Норвегия, Саудовская Аравия, Соединённые Штаты Америки
Tobramycine Голландия, Ирландия, Франция
Tobrasix Австрия
Tobrazid Германия
Tomycin Финляндия
Zetamicin Италия
Совместимость   Инъекция   Совместимость : Netilmicin sulfate              
Эта таблица показывает совместимость или несовместимость препаратов, по возможности тип несовместимости (преципитат, смена цвета, разложение эмульсии и др.). Показанные здесь совместимости в основном физические, по возможности указана и химическая стабильность каждой молекулы. Анализ этих смесей произведён для исследования возможности ввести препараты пациенту в Y-соединении систем. Эти данные нельзя использовать, чтобы приготовить лекарства на будущее в мешках или шприцах. Эта информация доступна в разделе "Стабильность смесей".
Молекула Растворитель Ссылки
Осадки через 1 час несовместимый
Инъекция Netilmicin sulfate 5 mg/ml
Инъекция Allopurinol sodium 3 mg/ml
Натрия хлорид 0,9% 307
совместимый
Инъекция Netilmicin sulfate 3 mg/ml
NaHCO3 1200
совместимый
Инъекция Netilmicin sulfate 5 mg/ml
Инъекция Amifostine 10 mg/ml
Глюкоза 5% 3
совместимый
Инъекция Netilmicin sulfate 3 mg/ml
Инъекция Aminocaproic acid 10 mg/ml
Натрия хлорид 0,9% 1200
совместимый
Инъекция Netilmicin sulfate 3 mg/ml
Инъекция Aminocaproic acid 10 mg/ml
Глюкоза 5% 1200
совместимый
Инъекция Netilmicin sulfate 5 mg/ml
Инъекция Aminophylline 0,8 mg/ml
NaCl 0,45% Глюкоза 5% 1236
Химическая нестабильность несовместимый
Инъекция Netilmicin sulfate
Инъекция Amoxicillin sodium
3527
Неопределенная несовместимость несовместимый
Инъекция Netilmicin sulfate
Инъекция Amoxicillin sodium / clavulanic acid
3545
Немедленные осадки несовместимый
Инъекция Netilmicin sulfate 5 mg/ml
Инъекция Amphotericin B cholesteryl sulfate complex 0,83 mg/ml
Глюкоза 5% 921
совместимый
Инъекция Netilmicin sulfate 3 mg/ml
Инъекция Atropine sulfate 0.04 mg/ml
Натрия хлорид 0,9% 1200
совместимый
Инъекция Netilmicin sulfate 3 mg/ml
Инъекция Atropine sulfate 0.04 mg/ml
Глюкоза 5% 1200
совместимый
Инъекция Netilmicin sulfate 5 mg/ml
Инъекция Aztreonam 40 mg/ml
Глюкоза 5% 99
совместимый
Инъекция Netilmicin sulfate 5 mg/ml
Инъекция Calcium gluconate 40 mg/ml
NaCl 0,45% Глюкоза 5% 1236
Неопределенная несовместимость несовместимый
Инъекция Netilmicin sulfate
Инъекция Calcium gluconate
3644
несовместимый
Инъекция Netilmicin sulfate
Инъекция Calcium gluconate
4964
Неопределенная несовместимость несовместимый
Инъекция Netilmicin sulfate
Инъекция Cefamandole nafate
3546
Неопределенная несовместимость несовместимый
Инъекция Netilmicin sulfate
Инъекция Cefepime dihydrochloride
3548
Неопределенная несовместимость несовместимый
Инъекция Netilmicin sulfate
Инъекция Cefoperazone sodium
3544
Неопределенная несовместимость несовместимый
Инъекция Netilmicin sulfate
Инъекция Ceftazidime
3883
Неопределенная несовместимость несовместимый
Инъекция Netilmicin sulfate
Инъекция Ceftazidime
3543
Неопределенная несовместимость несовместимый
Инъекция Netilmicin sulfate
Инъекция Ceftriaxone disodium
3523
Неопределенная несовместимость несовместимый
Инъекция Netilmicin sulfate
Инъекция Cefuroxime sodium
3687
совместимый
Инъекция Netilmicin sulfate 3 mg/ml
Инъекция Chlorpromazine hydrochloride 0.1 mg/ml
Глюкоза 5% 1200
совместимый
Инъекция Netilmicin sulfate 3 mg/ml
Инъекция Chlorpromazine hydrochloride 0.1 mg/ml
Натрия хлорид 0,9% 1200
совместимый
Инъекция Netilmicin sulfate 2,5 mg/ml
Инъекция Ciprofloxacin lactate 2 mg/ml
Натрия хлорид 0,9% 289
совместимый
Инъекция Netilmicin sulfate 5 mg/ml
Инъекция Cisatracurium besylate 0.1 >> 5 mg/ml
Глюкоза 5% 299
Химическая нестабильность несовместимый
Инъекция Netilmicin sulfate
Инъекция Cisplatin
3578
совместимый
Инъекция Netilmicin sulfate 3 mg/ml
Инъекция Clindamycin phosphate 9 mg/ml
Натрия хлорид 0,9% 421
совместимый
Инъекция Netilmicin sulfate 3 mg/ml
Инъекция Clindamycin phosphate 9 mg/ml
Глюкоза 5% 421
совместимый
Инъекция Netilmicin sulfate
Инъекция Clindamycin phosphate
Глюкоза 5% 3526
совместимый
Инъекция Netilmicin sulfate
Инъекция Clindamycin phosphate
Натрия хлорид 0,9% 3526
совместимый
Инъекция Netilmicin sulfate 3 mg/ml
Инъекция Dexamethasone sodium phosphate 0.08 mg/ml
Натрия хлорид 0,9% 1200
совместимый
Инъекция Netilmicin sulfate 3 mg/ml
Инъекция Dexamethasone sodium phosphate 0.08 mg/ml
Глюкоза 5% 1200
совместимый
Инъекция Netilmicin sulfate 3 mg/ml
Инъекция Diazepam 0.04 mg/ml
Натрия хлорид 0,9% 1200
совместимый
Инъекция Netilmicin sulfate 3 mg/ml
Инъекция Diphenhydramine hydrochloride 0.4 mg/ml
Натрия хлорид 0,9% 1200
несовместимый
Инъекция Netilmicin sulfate
Глюкоза 5% 421
совместимый
Инъекция Netilmicin sulfate 3 mg/ml
Инъекция Diazepam 0.04 mg/ml
Глюкоза 5% 1200
совместимый
Инъекция Netilmicin sulfate 3 mg/ml
Инъекция Diphenhydramine hydrochloride 0.4 mg/ml
Глюкоза 5% 1200
совместимый
Инъекция Netilmicin sulfate 5 mg/ml
Инъекция Docetaxel 0.9 mg/ml
Глюкоза 5% 1754
совместимый
Инъекция Netilmicin sulfate 5 mg/ml
Инъекция Doxorubicin hydrochloride liposome peg 0.4 mg/ml
Глюкоза 5% 251
Неопределенная несовместимость несовместимый
Инъекция Netilmicin sulfate
Инъекция Erythromycin lactobionate
3674
совместимый
Инъекция Netilmicin sulfate 5 mg/ml
Инъекция Etoposide phosphate 5 mg/ml
Глюкоза 5% 1410
совместимый
Инъекция Netilmicin sulfate 5 mg/ml
Инъекция Filgrastim 30 µg/ml
Глюкоза 5% 244
Немедленные осадки несовместимый
Инъекция Netilmicin sulfate
Инъекция Flucloxacillin sodium
3522
совместимый
Инъекция Netilmicin sulfate 5 mg/ml
Инъекция Fludarabine phosphate 1 mg/ml
Глюкоза 5% 492
Немедленные осадки несовместимый
Инъекция Netilmicin sulfate 1,5 mg/ml
Инъекция Furosemide 0,4 mg/ml
Глюкоза 5% 367
Немедленные осадки несовместимый
Инъекция Netilmicin sulfate 1,5 mg/ml
Инъекция Furosemide 0,4 mg/ml
Натрия хлорид 0,9% 367
совместимый
Инъекция Netilmicin sulfate 5 mg/ml
Инъекция Gemcitabine hydrochloride 10 mg/ml
Натрия хлорид 0,9% 1423
совместимый
Инъекция Netilmicin sulfate 5 mg/ml
Инъекция Granisetron hydrochloride 0.05 mg/ml
Глюкоза 5% 182
Немедленные осадки несовместимый
Инъекция Netilmicin sulfate
Инъекция Heparin sodium
1022
Неопределенная несовместимость несовместимый
Инъекция Netilmicin sulfate
Инъекция Heparin sodium
3540
совместимый
Инъекция Netilmicin sulfate 3 mg/ml
Инъекция Hydrocortisone sodium succinate 0.8 mg/ml
Натрия хлорид 0,9% 1200
совместимый
Инъекция Netilmicin sulfate 5 mg/ml
Парентеральное питание (бинарная смесь) 301
совместимый
Инъекция Netilmicin sulfate 50 & 100 mg/ml
Парентеральное питание (бинарная смесь) 999
совместимый
Инъекция Netilmicin sulfate 5 mg/ml
Парентеральное питание (с липидами) 1415
совместимый
Инъекция Netilmicin sulfate
Раствор Рингера лактата 1200
совместимый
Инъекция Netilmicin sulfate 3 mg/ml
Инъекция Hydrocortisone sodium succinate 0.8 mg/ml
Глюкоза 5% 1200
совместимый
Инъекция Netilmicin sulfate 3 mg/ml
Инъекция Iron dextran
Глюкоза 5% 1200
совместимый
Инъекция Netilmicin sulfate 3 mg/ml
Инъекция Iron dextran
Натрия хлорид 0,9% 1200
совместимый
Инъекция Netilmicin sulfate 3 mg/ml
Инъекция Isoprenaline hydrochloride 0.4 mg/ml
Глюкоза 5% 1200
совместимый
Инъекция Netilmicin sulfate 3 mg/ml
Инъекция Isoprenaline hydrochloride 0.4 mg/ml
Натрия хлорид 0,9% 1200
совместимый
Инъекция Netilmicin sulfate 5 mg/ml
Инъекция Linezolid 2 mg/ml
Нет 1925
совместимый
Инъекция Netilmicin sulfate 5 mg/ml
Инъекция Melphalan 0.1 mg/ml
Натрия хлорид 0,9% 169
совместимый
Инъекция Netilmicin sulfate 1 mg/ml
Инъекция Metronidazole 5 mg/ml
Натрия хлорид 0,9% 958
совместимый
Инъекция Netilmicin sulfate
Инъекция Metronidazole
3594
совместимый
Инъекция Netilmicin sulfate 1.4 mg/ml
Инъекция Metronidazole 5 mg/ml
Нет 1035
совместимый
Инъекция Netilmicin sulfate 3 mg/ml
Инъекция Neostigmine methylsulfate 0.04 mg/ml
Глюкоза 5% 1200
совместимый
Инъекция Netilmicin sulfate 3 mg/ml
Инъекция Neostigmine methylsulfate 0.04 mg/ml
Натрия хлорид 0,9% 1200
совместимый
Инъекция Netilmicin sulfate 3 mg/ml
Инъекция Norepinephrine bitartrate 0.064 mg/ml
Натрия хлорид 0,9% 1200
совместимый
Инъекция Netilmicin sulfate 3 mg/ml
Инъекция Norepinephrine bitartrate 0.064 mg/ml
Глюкоза 5% 1200
совместимый
Инъекция Netilmicin sulfate 3 mg/ml
Инъекция Oxytocin
Глюкоза 5% 1200
совместимый
Инъекция Netilmicin sulfate 3 mg/ml
Инъекция Oxytocin
Натрия хлорид 0,9% 1200
совместимый
Инъекция Netilmicin sulfate 3 mg/ml
Инъекция Phytomenadione 0.1 mg/ml
Натрия хлорид 0,9% 1200
совместимый
Инъекция Netilmicin sulfate 3 mg/ml
Инъекция Phytomenadione 0.1 mg/ml
Глюкоза 5% 1200
Химическая нестабильность несовместимый
Инъекция Netilmicin sulfate
Инъекция Piperacillin sodium / tazobactam
3586
совместимый
Инъекция Netilmicin sulfate 3 mg/ml
Инъекция Potassium chloride
Глюкоза 5% 1200
совместимый
Инъекция Netilmicin sulfate 3 mg/ml
Инъекция Potassium chloride
Натрия хлорид 0,9% 1200
совместимый
Инъекция Netilmicin sulfate 3 mg/ml
Инъекция Procainamide hydrochloride 4 mg/ml
Натрия хлорид 0,9% 1200
совместимый
Инъекция Netilmicin sulfate 3 mg/ml
Инъекция Procainamide hydrochloride 4 mg/ml
Глюкоза 5% 1200
совместимый
Инъекция Netilmicin sulfate 3 mg/ml
Инъекция Promethazine hydrochloride 0.1 mg/ml
Глюкоза 5% 1200
совместимый
Инъекция Netilmicin sulfate 3 mg/ml
Инъекция Promethazine hydrochloride 0.1 mg/ml
Натрия хлорид 0,9% 1200
Немедленные осадки несовместимый
Инъекция Netilmicin sulfate 5 mg/ml
Инъекция Propofol 10 mg/ml
Нет 300
совместимый
Инъекция Netilmicin sulfate 1 mg/ml
Инъекция Ranitidine hydrochloride 0,5 mg/ml
Натрия хлорид 0,9% 958
совместимый
Инъекция Netilmicin sulfate 5 mg/ml
Инъекция Remifentanil hydrochloride 25 & 250 µg/ml
Натрия хлорид 0,9% 59
совместимый
Инъекция Netilmicin sulfate 5 mg/ml
Инъекция Sargramostim 10 µg/ml
Натрия хлорид 0,9% 335
совместимый
Инъекция Netilmicin sulfate 5 mg/ml
Инъекция Thiotepa 1 mg/ml
Глюкоза 5% 249
совместимый
Инъекция Netilmicin sulfate 3 mg/ml
Инъекция Triflupromazine hydrochloride 0.4 mg/ml
Глюкоза 5% 1200
совместимый
Инъекция Netilmicin sulfate 5 mg/ml
Инъекция Vinorelbine tartrate 1 mg/ml
Натрия хлорид 0,9% 84
совместимый
Инъекция Netilmicin sulfate
Натрия хлорид 0,9% 421
Неопределенная несовместимость несовместимый
Инъекция Netilmicin sulfate
Инъекция Teicoplanine
3656
Неопределенная несовместимость несовместимый
Инъекция Netilmicin sulfate
Инъекция Temocilline
2296
совместимый
Инъекция Netilmicin sulfate 5 mg/ml
Инъекция Teniposide 0.1 mg/ml
Глюкоза 5% 905
Химическая нестабильность несовместимый
Инъекция Netilmicin sulfate
Инъекция Ticarcillin / clavulanic acid
3587
совместимый
Инъекция Netilmicin sulfate 3 mg/ml
Инъекция Triflupromazine hydrochloride 0.4 mg/ml
Натрия хлорид 0,9% 1200

  Mentions Légales