Posledná aktualizácia :
18/03/2026
antibiotikum   Netilmicin sulfate  
Injekcia
Aerosól
Stabilita roztokov Stabilita v zmesiach Faktory ovplyvňujúce stabilitu Kompatibility spôsob podania Odkazy na literatúru PDF
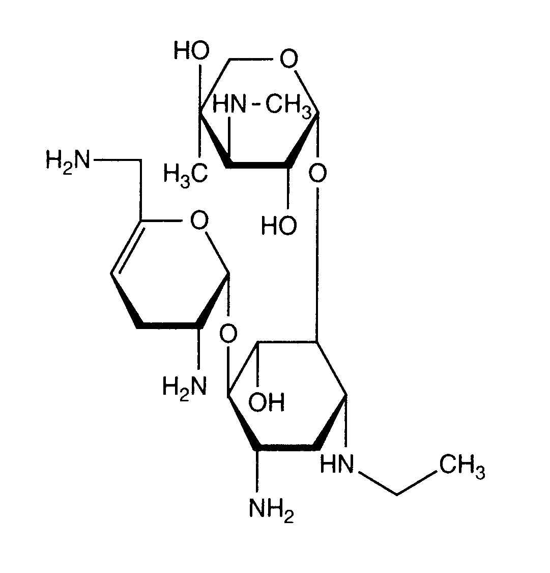
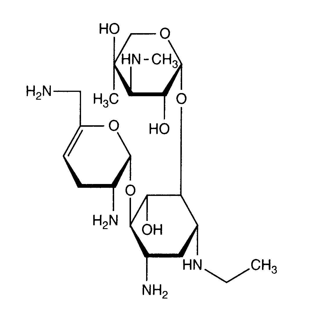
   Chemický vzorec  

Obchodný názov   Obchodný názov     

Obchodné názvy sú orientačné, a zloženie pomocných látok sa môže líšiť v závislosti od krajiny a výrobcu.

Bactob India
Beltob India
Bramicil Taliansko
Brulamycin Maďarsko
Eltol India
Fytobra India
Gernebcin Nemecko
Komitub India
Nebcin Austrália, Egypt, Grécko, nový Zéland, Saudská Arábia, Spojené arabské emiráty, Veľká Británia
Nebcina Dánsko, Maroko, Nórsko, Švédsko
Nebcine Maroko
Nebicina Taliansko
Netilyn Fínsko, Švédsko
Netromicina Portugalsko
Netromicine Francúzsko
Netromycine Grécko, Poľsko, ruský, Turecko
Nettacin Taliansko
Obracin Belgicko, Holandsko, Luxembursko, Švajčiarsko
Tobra Nemecko
Tobra Alex Egypt
Tobra Day nový Zéland
Tobra Gobens Španielsko
Tobracin Egypt
Tobradistin Španielsko
Tobramicina Portugalsko, Španielsko, Taliansko, Venezuela
Tobramina Brazília
Tobramycin Austrália, Írsko, Kanada, Nemecko, Nórsko, Saudská Arábia, Spojené štáty Americké, Veľká Británia
Tobramycine Francúzsko, Holandsko, Írsko
Tobrasix Rakúsko
Tobrazid Nemecko
Tomycin Fínsko
Zetamicin Taliansko
Kompatibility   Injekcia   Kompatibility : Netilmicin sulfate              
Toto okno zobrazuje kompatibility alebo inkombatibility, v prípade inkompatibility aj jej typ (vyzrážanie, zmena farby, zmena emulzie atď.). Tu vymenované kompatibility sú väčšinou len fyzikálne, chemická stabilita každej zo zlúčenín sa hodnotila len zriedkavo. Tieto zmesi sa skúmali za účelom možnosti súbežného podávania pacientovi cez infúznu spojku Y. Údaje sa nedajú použiť na prípravu zmesí vo vakoch alebo striekačkách. Taká informácia sa nachádza v okne „Stabilita v zmesiach“.
Zlúčenina rozpúšťadlo odkazy na lieteratúru
Zrážky po 1 hodine nezlučiteľný
Injekcia Netilmicin sulfate 5 mg/ml
Injekcia Allopurinol sodium 3 mg/ml
0,9% chlorid sodný 307
kompatibilný
Injekcia Netilmicin sulfate 3 mg/ml
NaHCO3 1200
kompatibilný
Injekcia Netilmicin sulfate 5 mg/ml
Injekcia Amifostine 10 mg/ml
5% glukóza 3
kompatibilný
Injekcia Netilmicin sulfate 3 mg/ml
Injekcia Aminocaproic acid 10 mg/ml
0,9% chlorid sodný 1200
kompatibilný
Injekcia Netilmicin sulfate 3 mg/ml
Injekcia Aminocaproic acid 10 mg/ml
5% glukóza 1200
kompatibilný
Injekcia Netilmicin sulfate 5 mg/ml
Injekcia Aminophylline 0,8 mg/ml
0,45% chlorid sodný (a) 5% glukóza 1236
Chemická nestabilita nezlučiteľný
Injekcia Netilmicin sulfate
Injekcia Amoxicillin sodium
3527
Nešpecifikovaná nekompatibilita nezlučiteľný
Injekcia Netilmicin sulfate
Injekcia Amoxicillin sodium / clavulanic acid
3545
Okamžité zrážanie nezlučiteľný
Injekcia Netilmicin sulfate 5 mg/ml
Injekcia Amphotericin B cholesteryl sulfate complex 0,83 mg/ml
5% glukóza 921
kompatibilný
Injekcia Netilmicin sulfate 3 mg/ml
Injekcia Atropine sulfate 0.04 mg/ml
0,9% chlorid sodný 1200
kompatibilný
Injekcia Netilmicin sulfate 3 mg/ml
Injekcia Atropine sulfate 0.04 mg/ml
5% glukóza 1200
kompatibilný
Injekcia Netilmicin sulfate 5 mg/ml
Injekcia Aztreonam 40 mg/ml
5% glukóza 99
kompatibilný
Injekcia Netilmicin sulfate 5 mg/ml
Injekcia Calcium gluconate 40 mg/ml
0,45% chlorid sodný (a) 5% glukóza 1236
Nešpecifikovaná nekompatibilita nezlučiteľný
Injekcia Netilmicin sulfate
Injekcia Calcium gluconate
3644
nezlučiteľný
Injekcia Netilmicin sulfate
Injekcia Calcium gluconate
4964
Nešpecifikovaná nekompatibilita nezlučiteľný
Injekcia Netilmicin sulfate
Injekcia Cefamandole nafate
3546
Nešpecifikovaná nekompatibilita nezlučiteľný
Injekcia Netilmicin sulfate
Injekcia Cefepime dihydrochloride
3548
Nešpecifikovaná nekompatibilita nezlučiteľný
Injekcia Netilmicin sulfate
Injekcia Cefoperazone sodium
3544
Nešpecifikovaná nekompatibilita nezlučiteľný
Injekcia Netilmicin sulfate
Injekcia Ceftazidime
3883
Nešpecifikovaná nekompatibilita nezlučiteľný
Injekcia Netilmicin sulfate
Injekcia Ceftazidime
3543
Nešpecifikovaná nekompatibilita nezlučiteľný
Injekcia Netilmicin sulfate
Injekcia Ceftriaxone disodium
3523
Nešpecifikovaná nekompatibilita nezlučiteľný
Injekcia Netilmicin sulfate
Injekcia Cefuroxime sodium
3687
kompatibilný
Injekcia Netilmicin sulfate 3 mg/ml
Injekcia Chlorpromazine hydrochloride 0.1 mg/ml
5% glukóza 1200
kompatibilný
Injekcia Netilmicin sulfate 3 mg/ml
Injekcia Chlorpromazine hydrochloride 0.1 mg/ml
0,9% chlorid sodný 1200
kompatibilný
Injekcia Netilmicin sulfate 2,5 mg/ml
Injekcia Ciprofloxacin lactate 2 mg/ml
0,9% chlorid sodný 289
kompatibilný
Injekcia Netilmicin sulfate 5 mg/ml
Injekcia Cisatracurium besylate 0.1 >> 5 mg/ml
5% glukóza 299
Chemická nestabilita nezlučiteľný
Injekcia Netilmicin sulfate
Injekcia Cisplatin
3578
kompatibilný
Injekcia Netilmicin sulfate 3 mg/ml
Injekcia Clindamycin phosphate 9 mg/ml
0,9% chlorid sodný 421
kompatibilný
Injekcia Netilmicin sulfate 3 mg/ml
Injekcia Clindamycin phosphate 9 mg/ml
5% glukóza 421
kompatibilný
Injekcia Netilmicin sulfate
Injekcia Clindamycin phosphate
5% glukóza 3526
kompatibilný
Injekcia Netilmicin sulfate
Injekcia Clindamycin phosphate
0,9% chlorid sodný 3526
kompatibilný
Injekcia Netilmicin sulfate 3 mg/ml
Injekcia Dexamethasone sodium phosphate 0.08 mg/ml
0,9% chlorid sodný 1200
kompatibilný
Injekcia Netilmicin sulfate 3 mg/ml
Injekcia Dexamethasone sodium phosphate 0.08 mg/ml
5% glukóza 1200
kompatibilný
Injekcia Netilmicin sulfate 3 mg/ml
Injekcia Diazepam 0.04 mg/ml
0,9% chlorid sodný 1200
kompatibilný
Injekcia Netilmicin sulfate 3 mg/ml
Injekcia Diphenhydramine hydrochloride 0.4 mg/ml
0,9% chlorid sodný 1200
nezlučiteľný
Injekcia Netilmicin sulfate
5% glukóza 421
kompatibilný
Injekcia Netilmicin sulfate 3 mg/ml
Injekcia Diazepam 0.04 mg/ml
5% glukóza 1200
kompatibilný
Injekcia Netilmicin sulfate 3 mg/ml
Injekcia Diphenhydramine hydrochloride 0.4 mg/ml
5% glukóza 1200
kompatibilný
Injekcia Netilmicin sulfate 5 mg/ml
Injekcia Docetaxel 0.9 mg/ml
5% glukóza 1754
kompatibilný
Injekcia Netilmicin sulfate 5 mg/ml
Injekcia Doxorubicin hydrochloride liposome peg 0.4 mg/ml
5% glukóza 251
Nešpecifikovaná nekompatibilita nezlučiteľný
Injekcia Netilmicin sulfate
Injekcia Erythromycin lactobionate
3674
kompatibilný
Injekcia Netilmicin sulfate 5 mg/ml
Injekcia Etoposide phosphate 5 mg/ml
5% glukóza 1410
kompatibilný
Injekcia Netilmicin sulfate 5 mg/ml
Injekcia Filgrastim 30 µg/ml
5% glukóza 244
Okamžité zrážanie nezlučiteľný
Injekcia Netilmicin sulfate
Injekcia Flucloxacillin sodium
3522
kompatibilný
Injekcia Netilmicin sulfate 5 mg/ml
Injekcia Fludarabine phosphate 1 mg/ml
5% glukóza 492
Okamžité zrážanie nezlučiteľný
Injekcia Netilmicin sulfate 1,5 mg/ml
Injekcia Furosemide 0,4 mg/ml
5% glukóza 367
Okamžité zrážanie nezlučiteľný
Injekcia Netilmicin sulfate 1,5 mg/ml
Injekcia Furosemide 0,4 mg/ml
0,9% chlorid sodný 367
kompatibilný
Injekcia Netilmicin sulfate 5 mg/ml
Injekcia Gemcitabine hydrochloride 10 mg/ml
0,9% chlorid sodný 1423
kompatibilný
Injekcia Netilmicin sulfate 5 mg/ml
Injekcia Granisetron hydrochloride 0.05 mg/ml
5% glukóza 182
Okamžité zrážanie nezlučiteľný
Injekcia Netilmicin sulfate
Injekcia Heparin sodium
1022
Nešpecifikovaná nekompatibilita nezlučiteľný
Injekcia Netilmicin sulfate
Injekcia Heparin sodium
3540
kompatibilný
Injekcia Netilmicin sulfate 3 mg/ml
Injekcia Hydrocortisone sodium succinate 0.8 mg/ml
0,9% chlorid sodný 1200
kompatibilný
Injekcia Netilmicin sulfate 5 mg/ml
parenterálna výživa (binárna zmes) 301
kompatibilný
Injekcia Netilmicin sulfate 50 & 100 mg/ml
parenterálna výživa (binárna zmes) 999
kompatibilný
Injekcia Netilmicin sulfate 5 mg/ml
Parenterálna výživa (lipidy) 1415
kompatibilný
Injekcia Netilmicin sulfate
Ringerov laktátový roztok 1200
kompatibilný
Injekcia Netilmicin sulfate 3 mg/ml
Injekcia Hydrocortisone sodium succinate 0.8 mg/ml
5% glukóza 1200
kompatibilný
Injekcia Netilmicin sulfate 3 mg/ml
Injekcia Iron dextran
5% glukóza 1200
kompatibilný
Injekcia Netilmicin sulfate 3 mg/ml
Injekcia Iron dextran
0,9% chlorid sodný 1200
kompatibilný
Injekcia Netilmicin sulfate 3 mg/ml
Injekcia Isoprenaline hydrochloride 0.4 mg/ml
5% glukóza 1200
kompatibilný
Injekcia Netilmicin sulfate 3 mg/ml
Injekcia Isoprenaline hydrochloride 0.4 mg/ml
0,9% chlorid sodný 1200
kompatibilný
Injekcia Netilmicin sulfate 5 mg/ml
Injekcia Linezolid 2 mg/ml
Žiadny 1925
kompatibilný
Injekcia Netilmicin sulfate 5 mg/ml
Injekcia Melphalan 0.1 mg/ml
0,9% chlorid sodný 169
kompatibilný
Injekcia Netilmicin sulfate 1 mg/ml
Injekcia Metronidazole 5 mg/ml
0,9% chlorid sodný 958
kompatibilný
Injekcia Netilmicin sulfate
Injekcia Metronidazole
3594
kompatibilný
Injekcia Netilmicin sulfate 1.4 mg/ml
Injekcia Metronidazole 5 mg/ml
Žiadny 1035
kompatibilný
Injekcia Netilmicin sulfate 3 mg/ml
Injekcia Neostigmine methylsulfate 0.04 mg/ml
5% glukóza 1200
kompatibilný
Injekcia Netilmicin sulfate 3 mg/ml
Injekcia Neostigmine methylsulfate 0.04 mg/ml
0,9% chlorid sodný 1200
kompatibilný
Injekcia Netilmicin sulfate 3 mg/ml
Injekcia Norepinephrine bitartrate 0.064 mg/ml
0,9% chlorid sodný 1200
kompatibilný
Injekcia Netilmicin sulfate 3 mg/ml
Injekcia Norepinephrine bitartrate 0.064 mg/ml
5% glukóza 1200
kompatibilný
Injekcia Netilmicin sulfate 3 mg/ml
Injekcia Oxytocin
5% glukóza 1200
kompatibilný
Injekcia Netilmicin sulfate 3 mg/ml
Injekcia Oxytocin
0,9% chlorid sodný 1200
kompatibilný
Injekcia Netilmicin sulfate 3 mg/ml
Injekcia Phytomenadione 0.1 mg/ml
0,9% chlorid sodný 1200
kompatibilný
Injekcia Netilmicin sulfate 3 mg/ml
Injekcia Phytomenadione 0.1 mg/ml
5% glukóza 1200
Chemická nestabilita nezlučiteľný
Injekcia Netilmicin sulfate
Injekcia Piperacillin sodium / tazobactam
3586
kompatibilný
Injekcia Netilmicin sulfate 3 mg/ml
Injekcia Potassium chloride
5% glukóza 1200
kompatibilný
Injekcia Netilmicin sulfate 3 mg/ml
Injekcia Potassium chloride
0,9% chlorid sodný 1200
kompatibilný
Injekcia Netilmicin sulfate 3 mg/ml
Injekcia Procainamide hydrochloride 4 mg/ml
0,9% chlorid sodný 1200
kompatibilný
Injekcia Netilmicin sulfate 3 mg/ml
Injekcia Procainamide hydrochloride 4 mg/ml
5% glukóza 1200
kompatibilný
Injekcia Netilmicin sulfate 3 mg/ml
Injekcia Promethazine hydrochloride 0.1 mg/ml
5% glukóza 1200
kompatibilný
Injekcia Netilmicin sulfate 3 mg/ml
Injekcia Promethazine hydrochloride 0.1 mg/ml
0,9% chlorid sodný 1200
Okamžité zrážanie nezlučiteľný
Injekcia Netilmicin sulfate 5 mg/ml
Injekcia Propofol 10 mg/ml
Žiadny 300
kompatibilný
Injekcia Netilmicin sulfate 1 mg/ml
Injekcia Ranitidine hydrochloride 0,5 mg/ml
0,9% chlorid sodný 958
kompatibilný
Injekcia Netilmicin sulfate 5 mg/ml
Injekcia Remifentanil hydrochloride 25 & 250 µg/ml
0,9% chlorid sodný 59
kompatibilný
Injekcia Netilmicin sulfate 5 mg/ml
Injekcia Sargramostim 10 µg/ml
0,9% chlorid sodný 335
kompatibilný
Injekcia Netilmicin sulfate 5 mg/ml
Injekcia Thiotepa 1 mg/ml
5% glukóza 249
kompatibilný
Injekcia Netilmicin sulfate 3 mg/ml
Injekcia Triflupromazine hydrochloride 0.4 mg/ml
5% glukóza 1200
kompatibilný
Injekcia Netilmicin sulfate 5 mg/ml
Injekcia Vinorelbine tartrate 1 mg/ml
0,9% chlorid sodný 84
kompatibilný
Injekcia Netilmicin sulfate
0,9% chlorid sodný 421
Nešpecifikovaná nekompatibilita nezlučiteľný
Injekcia Netilmicin sulfate
Injekcia Teicoplanine
3656
Nešpecifikovaná nekompatibilita nezlučiteľný
Injekcia Netilmicin sulfate
Injekcia Temocilline
2296
kompatibilný
Injekcia Netilmicin sulfate 5 mg/ml
Injekcia Teniposide 0.1 mg/ml
5% glukóza 905
Chemická nestabilita nezlučiteľný
Injekcia Netilmicin sulfate
Injekcia Ticarcillin / clavulanic acid
3587
kompatibilný
Injekcia Netilmicin sulfate 3 mg/ml
Injekcia Triflupromazine hydrochloride 0.4 mg/ml
0,9% chlorid sodný 1200

  Mentions Légales