Senaste uppdateringen :
18/03/2026
Antibiotikum   Netilmicin sulfate  
injektion
Aerosol
Lösningars stabilitet Stabilitet i blandningar Faktorer som påverkar stabiliteten Kompatibilitet Administreringssätt Hänvisningar pdf
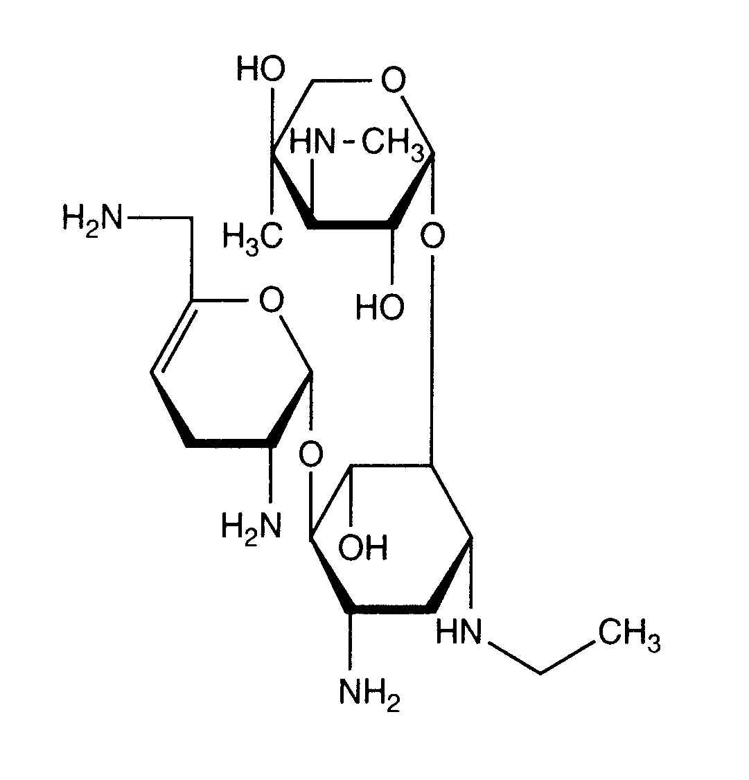
   Molekylstruktur  

Varunamn   Varunamn     

Angivna handelsnamn på läkemedel är enbart vägledande då formulering inklusive hjälpämnen kan variera mellan länder och tillverkare

Bactob Indien
Beltob Indien
Bramicil Italien
Brulamycin Ungern
Eltol Indien
Fytobra Indien
Gernebcin Tyskland
Komitub Indien
Nebcin Australien, Egypten, Förenade Arabemiraten, Grekland, nya Zeeland, Saudi-Arabien, Storbritannien
Nebcina Danmark, Marocko, Norge, Sverige
Nebcine Marocko
Nebicina Italien
Netilyn Finland, Sverige
Netromicina Portugal
Netromicine Frankrike
Netromycine Grekland, Polen, ryska, Turkiet
Nettacin Italien
Obracin Belgien, Luxemburg, Nederländerna, Schweiz
Tobra Tyskland
Tobra Alex Egypten
Tobra Day nya Zeeland
Tobra Gobens Spanien
Tobracin Egypten
Tobradistin Spanien
Tobramicina Italien, Portugal, Spanien, Venezuela
Tobramina Brasilien
Tobramycin Australien, Förenta Staterna, Irland, Kanada, Norge, Saudi-Arabien, Storbritannien, Tyskland
Tobramycine Frankrike, Irland, Nederländerna
Tobrasix Österrike
Tobrazid Tyskland
Tomycin Finland
Zetamicin Italien
Kompatibilitet   injektion   Kompatibilitet : Netilmicin sulfate              
Den här skärmen visar kompatibiliteten eller inkompatibiliteten med, i detta fall, typen av inkompatibilitet (utfällning, färgförändring, modifiering av en emulsion, etc.). De kompatibiliteter som visas här är oftast endast fysiska, varvid den kemiska stabiliteten för varje molekyl sällan utvärderas. Utvärderingen av dessa blandningar studerades för att överväga möjligheten för Y-platsadministrering till patienten. Dessa data kan inte användas för att göra blandningar i förväg i påsar eller sprutor. Denna typ av information finns på skärmen "Stabilitet i blandning".
Substans Lösningsmedel Hänvisningar
Utfällning efter 1 timme Oförenlig
injektion Netilmicin sulfate 5 mg/ml
injektion Allopurinol sodium 3 mg/ml
Natriumklorid 0,9 % 307
Kompatibel
injektion Netilmicin sulfate 3 mg/ml
NaHCO3 1200
Kompatibel
injektion Netilmicin sulfate 5 mg/ml
injektion Amifostine 10 mg/ml
Glukos 5 % 3
Kompatibel
injektion Netilmicin sulfate 3 mg/ml
injektion Aminocaproic acid 10 mg/ml
Natriumklorid 0,9 % 1200
Kompatibel
injektion Netilmicin sulfate 3 mg/ml
injektion Aminocaproic acid 10 mg/ml
Glukos 5 % 1200
Kompatibel
injektion Netilmicin sulfate 5 mg/ml
injektion Aminophylline 0,8 mg/ml
NaCl 0,45 % Glukos 5 % 1236
Kemisk instabilitet Oförenlig
injektion Netilmicin sulfate
injektion Amoxicillin sodium
3527
Ospecificerad inkompatibilitet Oförenlig
injektion Netilmicin sulfate
injektion Amoxicillin sodium / clavulanic acid
3545
Omedelbar nederbörd Oförenlig
injektion Netilmicin sulfate 5 mg/ml
injektion Amphotericin B cholesteryl sulfate complex 0,83 mg/ml
Glukos 5 % 921
Kompatibel
injektion Netilmicin sulfate 3 mg/ml
injektion Atropine sulfate 0.04 mg/ml
Natriumklorid 0,9 % 1200
Kompatibel
injektion Netilmicin sulfate 3 mg/ml
injektion Atropine sulfate 0.04 mg/ml
Glukos 5 % 1200
Kompatibel
injektion Netilmicin sulfate 5 mg/ml
injektion Aztreonam 40 mg/ml
Glukos 5 % 99
Kompatibel
injektion Netilmicin sulfate 5 mg/ml
injektion Calcium gluconate 40 mg/ml
NaCl 0,45 % Glukos 5 % 1236
Ospecificerad inkompatibilitet Oförenlig
injektion Netilmicin sulfate
injektion Calcium gluconate
3644
Oförenlig
injektion Netilmicin sulfate
injektion Calcium gluconate
4964
Ospecificerad inkompatibilitet Oförenlig
injektion Netilmicin sulfate
injektion Cefamandole nafate
3546
Ospecificerad inkompatibilitet Oförenlig
injektion Netilmicin sulfate
injektion Cefepime dihydrochloride
3548
Ospecificerad inkompatibilitet Oförenlig
injektion Netilmicin sulfate
injektion Cefoperazone sodium
3544
Ospecificerad inkompatibilitet Oförenlig
injektion Netilmicin sulfate
injektion Ceftazidime
3883
Ospecificerad inkompatibilitet Oförenlig
injektion Netilmicin sulfate
injektion Ceftazidime
3543
Ospecificerad inkompatibilitet Oförenlig
injektion Netilmicin sulfate
injektion Ceftriaxone disodium
3523
Ospecificerad inkompatibilitet Oförenlig
injektion Netilmicin sulfate
injektion Cefuroxime sodium
3687
Kompatibel
injektion Netilmicin sulfate 3 mg/ml
injektion Chlorpromazine hydrochloride 0.1 mg/ml
Glukos 5 % 1200
Kompatibel
injektion Netilmicin sulfate 3 mg/ml
injektion Chlorpromazine hydrochloride 0.1 mg/ml
Natriumklorid 0,9 % 1200
Kompatibel
injektion Netilmicin sulfate 2,5 mg/ml
injektion Ciprofloxacin lactate 2 mg/ml
Natriumklorid 0,9 % 289
Kompatibel
injektion Netilmicin sulfate 5 mg/ml
injektion Cisatracurium besylate 0.1 >> 5 mg/ml
Glukos 5 % 299
Kemisk instabilitet Oförenlig
injektion Netilmicin sulfate
injektion Cisplatin
3578
Kompatibel
injektion Netilmicin sulfate 3 mg/ml
injektion Clindamycin phosphate 9 mg/ml
Natriumklorid 0,9 % 421
Kompatibel
injektion Netilmicin sulfate 3 mg/ml
injektion Clindamycin phosphate 9 mg/ml
Glukos 5 % 421
Kompatibel
injektion Netilmicin sulfate
injektion Clindamycin phosphate
Glukos 5 % 3526
Kompatibel
injektion Netilmicin sulfate
injektion Clindamycin phosphate
Natriumklorid 0,9 % 3526
Kompatibel
injektion Netilmicin sulfate 3 mg/ml
injektion Dexamethasone sodium phosphate 0.08 mg/ml
Natriumklorid 0,9 % 1200
Kompatibel
injektion Netilmicin sulfate 3 mg/ml
injektion Dexamethasone sodium phosphate 0.08 mg/ml
Glukos 5 % 1200
Kompatibel
injektion Netilmicin sulfate 3 mg/ml
injektion Diazepam 0.04 mg/ml
Natriumklorid 0,9 % 1200
Kompatibel
injektion Netilmicin sulfate 3 mg/ml
injektion Diphenhydramine hydrochloride 0.4 mg/ml
Natriumklorid 0,9 % 1200
Oförenlig
injektion Netilmicin sulfate
Glukos 5 % 421
Kompatibel
injektion Netilmicin sulfate 3 mg/ml
injektion Diazepam 0.04 mg/ml
Glukos 5 % 1200
Kompatibel
injektion Netilmicin sulfate 3 mg/ml
injektion Diphenhydramine hydrochloride 0.4 mg/ml
Glukos 5 % 1200
Kompatibel
injektion Netilmicin sulfate 5 mg/ml
injektion Docetaxel 0.9 mg/ml
Glukos 5 % 1754
Kompatibel
injektion Netilmicin sulfate 5 mg/ml
injektion Doxorubicin hydrochloride liposome peg 0.4 mg/ml
Glukos 5 % 251
Ospecificerad inkompatibilitet Oförenlig
injektion Netilmicin sulfate
injektion Erythromycin lactobionate
3674
Kompatibel
injektion Netilmicin sulfate 5 mg/ml
injektion Etoposide phosphate 5 mg/ml
Glukos 5 % 1410
Kompatibel
injektion Netilmicin sulfate 5 mg/ml
injektion Filgrastim 30 µg/ml
Glukos 5 % 244
Omedelbar nederbörd Oförenlig
injektion Netilmicin sulfate
injektion Flucloxacillin sodium
3522
Kompatibel
injektion Netilmicin sulfate 5 mg/ml
injektion Fludarabine phosphate 1 mg/ml
Glukos 5 % 492
Omedelbar nederbörd Oförenlig
injektion Netilmicin sulfate 1,5 mg/ml
injektion Furosemide 0,4 mg/ml
Glukos 5 % 367
Omedelbar nederbörd Oförenlig
injektion Netilmicin sulfate 1,5 mg/ml
injektion Furosemide 0,4 mg/ml
Natriumklorid 0,9 % 367
Kompatibel
injektion Netilmicin sulfate 5 mg/ml
injektion Gemcitabine hydrochloride 10 mg/ml
Natriumklorid 0,9 % 1423
Kompatibel
injektion Netilmicin sulfate 5 mg/ml
injektion Granisetron hydrochloride 0.05 mg/ml
Glukos 5 % 182
Omedelbar nederbörd Oförenlig
injektion Netilmicin sulfate
injektion Heparin sodium
1022
Ospecificerad inkompatibilitet Oförenlig
injektion Netilmicin sulfate
injektion Heparin sodium
3540
Kompatibel
injektion Netilmicin sulfate 3 mg/ml
injektion Hydrocortisone sodium succinate 0.8 mg/ml
Natriumklorid 0,9 % 1200
Kompatibel
injektion Netilmicin sulfate 5 mg/ml
Parenteral nutrition (binär blandning) 301
Kompatibel
injektion Netilmicin sulfate 50 & 100 mg/ml
Parenteral nutrition (binär blandning) 999
Kompatibel
injektion Netilmicin sulfate 5 mg/ml
Parenteral nutrition (med lipider) 1415
Kompatibel
injektion Netilmicin sulfate
Ringer-laktatlösning 1200
Kompatibel
injektion Netilmicin sulfate 3 mg/ml
injektion Hydrocortisone sodium succinate 0.8 mg/ml
Glukos 5 % 1200
Kompatibel
injektion Netilmicin sulfate 3 mg/ml
injektion Iron dextran
Glukos 5 % 1200
Kompatibel
injektion Netilmicin sulfate 3 mg/ml
injektion Iron dextran
Natriumklorid 0,9 % 1200
Kompatibel
injektion Netilmicin sulfate 3 mg/ml
injektion Isoprenaline hydrochloride 0.4 mg/ml
Glukos 5 % 1200
Kompatibel
injektion Netilmicin sulfate 3 mg/ml
injektion Isoprenaline hydrochloride 0.4 mg/ml
Natriumklorid 0,9 % 1200
Kompatibel
injektion Netilmicin sulfate 5 mg/ml
injektion Linezolid 2 mg/ml
Ingen 1925
Kompatibel
injektion Netilmicin sulfate 5 mg/ml
injektion Melphalan 0.1 mg/ml
Natriumklorid 0,9 % 169
Kompatibel
injektion Netilmicin sulfate 1 mg/ml
injektion Metronidazole 5 mg/ml
Natriumklorid 0,9 % 958
Kompatibel
injektion Netilmicin sulfate
injektion Metronidazole
3594
Kompatibel
injektion Netilmicin sulfate 1.4 mg/ml
injektion Metronidazole 5 mg/ml
Ingen 1035
Kompatibel
injektion Netilmicin sulfate 3 mg/ml
injektion Neostigmine methylsulfate 0.04 mg/ml
Glukos 5 % 1200
Kompatibel
injektion Netilmicin sulfate 3 mg/ml
injektion Neostigmine methylsulfate 0.04 mg/ml
Natriumklorid 0,9 % 1200
Kompatibel
injektion Netilmicin sulfate 3 mg/ml
injektion Norepinephrine bitartrate 0.064 mg/ml
Natriumklorid 0,9 % 1200
Kompatibel
injektion Netilmicin sulfate 3 mg/ml
injektion Norepinephrine bitartrate 0.064 mg/ml
Glukos 5 % 1200
Kompatibel
injektion Netilmicin sulfate 3 mg/ml
injektion Oxytocin
Glukos 5 % 1200
Kompatibel
injektion Netilmicin sulfate 3 mg/ml
injektion Oxytocin
Natriumklorid 0,9 % 1200
Kompatibel
injektion Netilmicin sulfate 3 mg/ml
injektion Phytomenadione 0.1 mg/ml
Natriumklorid 0,9 % 1200
Kompatibel
injektion Netilmicin sulfate 3 mg/ml
injektion Phytomenadione 0.1 mg/ml
Glukos 5 % 1200
Kemisk instabilitet Oförenlig
injektion Netilmicin sulfate
injektion Piperacillin sodium / tazobactam
3586
Kompatibel
injektion Netilmicin sulfate 3 mg/ml
injektion Potassium chloride
Glukos 5 % 1200
Kompatibel
injektion Netilmicin sulfate 3 mg/ml
injektion Potassium chloride
Natriumklorid 0,9 % 1200
Kompatibel
injektion Netilmicin sulfate 3 mg/ml
injektion Procainamide hydrochloride 4 mg/ml
Natriumklorid 0,9 % 1200
Kompatibel
injektion Netilmicin sulfate 3 mg/ml
injektion Procainamide hydrochloride 4 mg/ml
Glukos 5 % 1200
Kompatibel
injektion Netilmicin sulfate 3 mg/ml
injektion Promethazine hydrochloride 0.1 mg/ml
Glukos 5 % 1200
Kompatibel
injektion Netilmicin sulfate 3 mg/ml
injektion Promethazine hydrochloride 0.1 mg/ml
Natriumklorid 0,9 % 1200
Omedelbar nederbörd Oförenlig
injektion Netilmicin sulfate 5 mg/ml
injektion Propofol 10 mg/ml
Ingen 300
Kompatibel
injektion Netilmicin sulfate 1 mg/ml
injektion Ranitidine hydrochloride 0,5 mg/ml
Natriumklorid 0,9 % 958
Kompatibel
injektion Netilmicin sulfate 5 mg/ml
injektion Remifentanil hydrochloride 25 & 250 µg/ml
Natriumklorid 0,9 % 59
Kompatibel
injektion Netilmicin sulfate 5 mg/ml
injektion Sargramostim 10 µg/ml
Natriumklorid 0,9 % 335
Kompatibel
injektion Netilmicin sulfate 5 mg/ml
injektion Thiotepa 1 mg/ml
Glukos 5 % 249
Kompatibel
injektion Netilmicin sulfate 3 mg/ml
injektion Triflupromazine hydrochloride 0.4 mg/ml
Glukos 5 % 1200
Kompatibel
injektion Netilmicin sulfate 5 mg/ml
injektion Vinorelbine tartrate 1 mg/ml
Natriumklorid 0,9 % 84
Kompatibel
injektion Netilmicin sulfate
Natriumklorid 0,9 % 421
Ospecificerad inkompatibilitet Oförenlig
injektion Netilmicin sulfate
injektion Teicoplanine
3656
Ospecificerad inkompatibilitet Oförenlig
injektion Netilmicin sulfate
injektion Temocilline
2296
Kompatibel
injektion Netilmicin sulfate 5 mg/ml
injektion Teniposide 0.1 mg/ml
Glukos 5 % 905
Kemisk instabilitet Oförenlig
injektion Netilmicin sulfate
injektion Ticarcillin / clavulanic acid
3587
Kompatibel
injektion Netilmicin sulfate 3 mg/ml
injektion Triflupromazine hydrochloride 0.4 mg/ml
Natriumklorid 0,9 % 1200

  Mentions Légales