Utolsó frissítés :
18/03/2026
Antibiotikum   Netilmicin sulfate  
Injekció
aeroszol
Az oldatok stabilitása A keverékek stabilitása Stabilitást befolyásoló tényezők Kompatibilitás Az alkalmazás módja Irodalom pdf
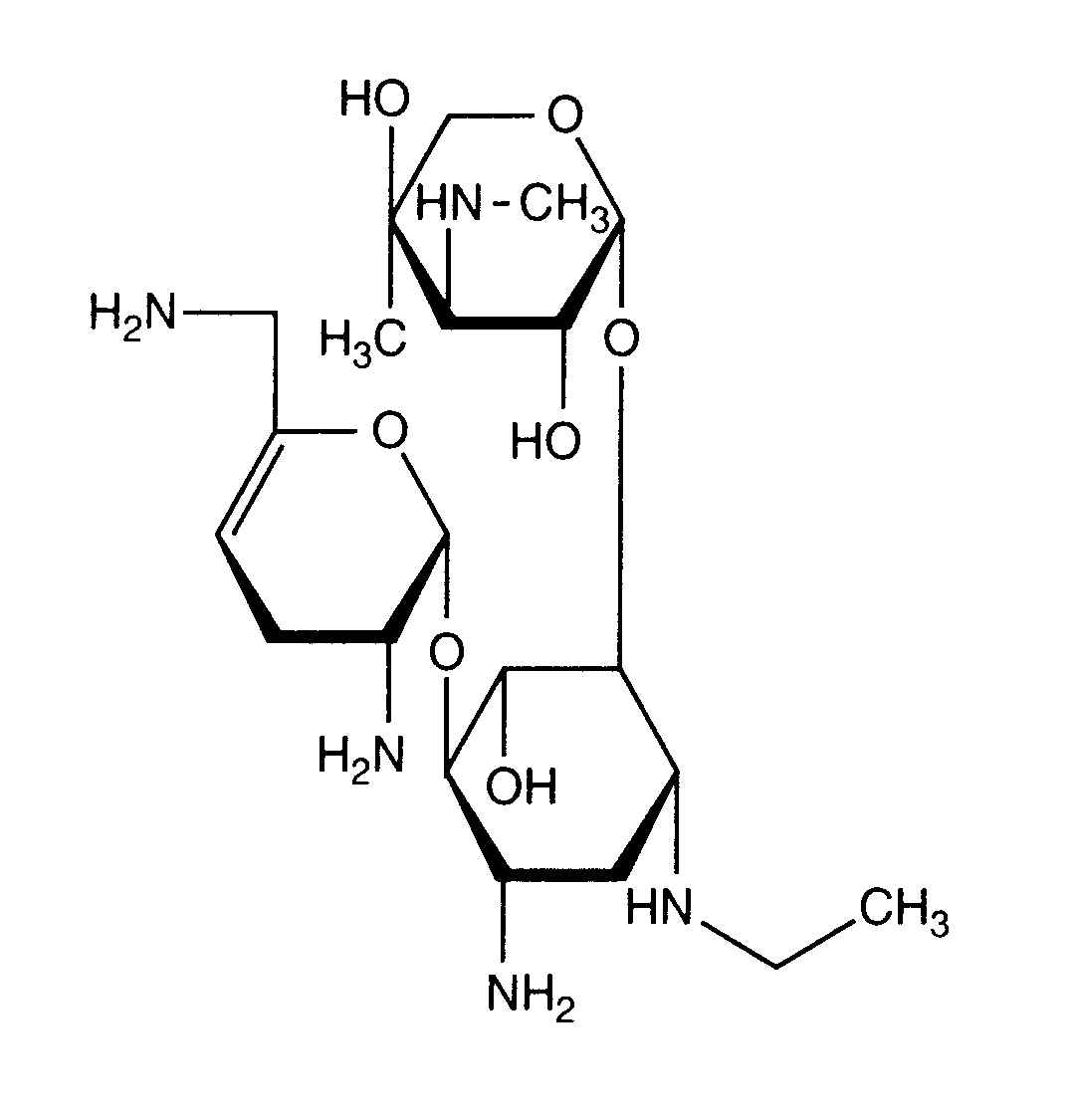
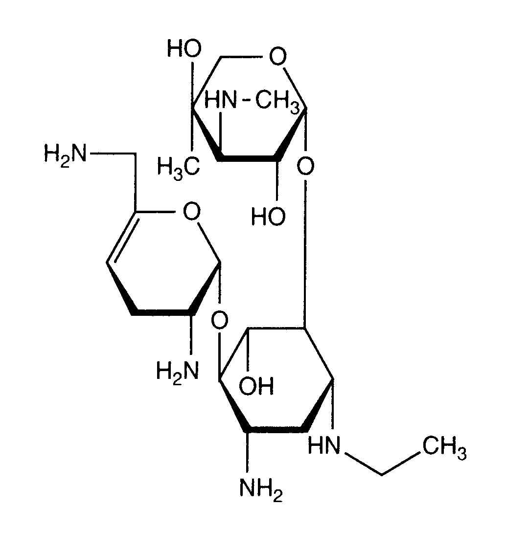
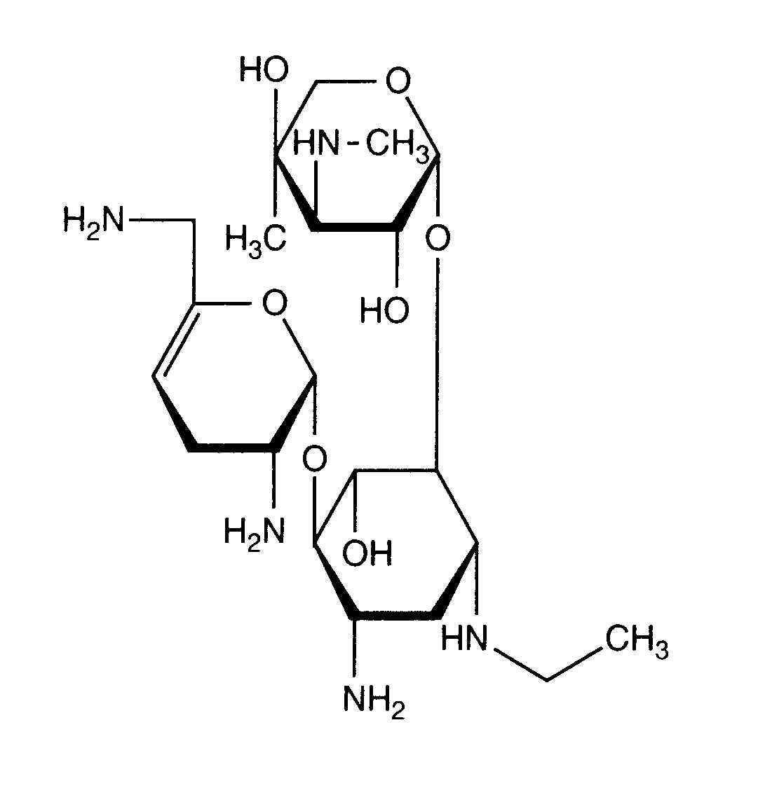
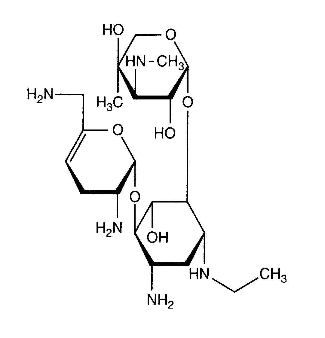
   Kémiai szerkezet   

Kereskedelmi név   Kereskedelmi név     

A kereskedelmi név meghatározó jelentőségű: a készítmények összetétele országonként, előállítóként eltérő lehet

Bactob India
Beltob India
Bramicil Olaszország
Brulamycin Magyarország
Eltol India
Fytobra India
Gernebcin Németország
Komitub India
Nebcin Ausztrália, Egyesült Arab Emírségek, Egyiptom, Görögország, Nagy-Britannia, Szaúd-Arábiában, új-Zéland
Nebcina Dánia, Marokkó, Norvégia, Svédország
Nebcine Marokkó
Nebicina Olaszország
Netilyn Finnország, Svédország
Netromicina Portugália
Netromicine Franciaország
Netromycine Görögország, Lengyelország, orosz, Törökország
Nettacin Olaszország
Obracin Belgium, Hollandia, Luxemburg, Svájc
Tobra Németország
Tobra Alex Egyiptom
Tobra Day új-Zéland
Tobra Gobens Spanyolország
Tobracin Egyiptom
Tobradistin Spanyolország
Tobramicina Olaszország, Portugália, Spanyolország, Venezuela
Tobramina Brazília
Tobramycin Amerikai Egyesült Államok, Ausztrália, Írország, Kanada, Nagy-Britannia, Németország, Norvégia, Szaúd-Arábiában
Tobramycine Franciaország, Hollandia, Írország
Tobrasix Ausztria
Tobrazid Németország
Tomycin Finnország
Zetamicin Olaszország
Kompatibilitás   Injekció   Kompatibilitás : Netilmicin sulfate              
Ovdje su prikazane kompatibilnosti ili nekompatibilnosti s tipom nekompatibilnosti (taloženje, promjena boje, modifikacija emulzije itd.) u ovom slučaju. Kompatibilnosti prikazane ovdje najčešće su fizikalne dok se kemijska stabilnost molekule rijetko procjenjuje. Procjena ovih mikstura je proučavana kako bi se razmotrila mogućnost primjene lijeka putem Y-mjesta. Ovi se podaci ne smiju koristiti za pripremu mikstura unaprijed u vrećicama ili štrcaljkama. Ova vrsta informacije se može pronaći u odjeljku « stabilnost u miksturama ».
Vegyület Oldószer Irodalom
Csapadék 1 óra után Összeegyeztethetetlen
Injekció Netilmicin sulfate 5 mg/ml
Injekció Allopurinol sodium 3 mg/ml
0,9% nátrium-klorid 307
Összeegyeztethető
Injekció Netilmicin sulfate 3 mg/ml
NaHCO3 1200
Összeegyeztethető
Injekció Netilmicin sulfate 5 mg/ml
Injekció Amifostine 10 mg/ml
5% glükóz 3
Összeegyeztethető
Injekció Netilmicin sulfate 3 mg/ml
Injekció Aminocaproic acid 10 mg/ml
0,9% nátrium-klorid 1200
Összeegyeztethető
Injekció Netilmicin sulfate 3 mg/ml
Injekció Aminocaproic acid 10 mg/ml
5% glükóz 1200
Összeegyeztethető
Injekció Netilmicin sulfate 5 mg/ml
Injekció Aminophylline 0,8 mg/ml
0,45% NaCl 5% glükóz 1236
Kémiai instabilitás Összeegyeztethetetlen
Injekció Netilmicin sulfate
Injekció Amoxicillin sodium
3527
Meghatározatlan összeférhetetlenség Összeegyeztethetetlen
Injekció Netilmicin sulfate
Injekció Amoxicillin sodium / clavulanic acid
3545
Azonnali csapadék Összeegyeztethetetlen
Injekció Netilmicin sulfate 5 mg/ml
Injekció Amphotericin B cholesteryl sulfate complex 0,83 mg/ml
5% glükóz 921
Összeegyeztethető
Injekció Netilmicin sulfate 3 mg/ml
Injekció Atropine sulfate 0.04 mg/ml
0,9% nátrium-klorid 1200
Összeegyeztethető
Injekció Netilmicin sulfate 3 mg/ml
Injekció Atropine sulfate 0.04 mg/ml
5% glükóz 1200
Összeegyeztethető
Injekció Netilmicin sulfate 5 mg/ml
Injekció Aztreonam 40 mg/ml
5% glükóz 99
Összeegyeztethető
Injekció Netilmicin sulfate 5 mg/ml
Injekció Calcium gluconate 40 mg/ml
0,45% NaCl 5% glükóz 1236
Meghatározatlan összeférhetetlenség Összeegyeztethetetlen
Injekció Netilmicin sulfate
Injekció Calcium gluconate
3644
Összeegyeztethetetlen
Injekció Netilmicin sulfate
Injekció Calcium gluconate
4964
Meghatározatlan összeférhetetlenség Összeegyeztethetetlen
Injekció Netilmicin sulfate
Injekció Cefamandole nafate
3546
Meghatározatlan összeférhetetlenség Összeegyeztethetetlen
Injekció Netilmicin sulfate
Injekció Cefepime dihydrochloride
3548
Meghatározatlan összeférhetetlenség Összeegyeztethetetlen
Injekció Netilmicin sulfate
Injekció Cefoperazone sodium
3544
Meghatározatlan összeférhetetlenség Összeegyeztethetetlen
Injekció Netilmicin sulfate
Injekció Ceftazidime
3883
Meghatározatlan összeférhetetlenség Összeegyeztethetetlen
Injekció Netilmicin sulfate
Injekció Ceftazidime
3543
Meghatározatlan összeférhetetlenség Összeegyeztethetetlen
Injekció Netilmicin sulfate
Injekció Ceftriaxone disodium
3523
Meghatározatlan összeférhetetlenség Összeegyeztethetetlen
Injekció Netilmicin sulfate
Injekció Cefuroxime sodium
3687
Összeegyeztethető
Injekció Netilmicin sulfate 3 mg/ml
Injekció Chlorpromazine hydrochloride 0.1 mg/ml
5% glükóz 1200
Összeegyeztethető
Injekció Netilmicin sulfate 3 mg/ml
Injekció Chlorpromazine hydrochloride 0.1 mg/ml
0,9% nátrium-klorid 1200
Összeegyeztethető
Injekció Netilmicin sulfate 2,5 mg/ml
Injekció Ciprofloxacin lactate 2 mg/ml
0,9% nátrium-klorid 289
Összeegyeztethető
Injekció Netilmicin sulfate 5 mg/ml
Injekció Cisatracurium besylate 0.1 >> 5 mg/ml
5% glükóz 299
Kémiai instabilitás Összeegyeztethetetlen
Injekció Netilmicin sulfate
Injekció Cisplatin
3578
Összeegyeztethető
Injekció Netilmicin sulfate 3 mg/ml
Injekció Clindamycin phosphate 9 mg/ml
0,9% nátrium-klorid 421
Összeegyeztethető
Injekció Netilmicin sulfate 3 mg/ml
Injekció Clindamycin phosphate 9 mg/ml
5% glükóz 421
Összeegyeztethető
Injekció Netilmicin sulfate
Injekció Clindamycin phosphate
5% glükóz 3526
Összeegyeztethető
Injekció Netilmicin sulfate
Injekció Clindamycin phosphate
0,9% nátrium-klorid 3526
Összeegyeztethető
Injekció Netilmicin sulfate 3 mg/ml
Injekció Dexamethasone sodium phosphate 0.08 mg/ml
0,9% nátrium-klorid 1200
Összeegyeztethető
Injekció Netilmicin sulfate 3 mg/ml
Injekció Dexamethasone sodium phosphate 0.08 mg/ml
5% glükóz 1200
Összeegyeztethető
Injekció Netilmicin sulfate 3 mg/ml
Injekció Diazepam 0.04 mg/ml
0,9% nátrium-klorid 1200
Összeegyeztethető
Injekció Netilmicin sulfate 3 mg/ml
Injekció Diphenhydramine hydrochloride 0.4 mg/ml
0,9% nátrium-klorid 1200
Összeegyeztethetetlen
Injekció Netilmicin sulfate
5% glükóz 421
Összeegyeztethető
Injekció Netilmicin sulfate 3 mg/ml
Injekció Diazepam 0.04 mg/ml
5% glükóz 1200
Összeegyeztethető
Injekció Netilmicin sulfate 3 mg/ml
Injekció Diphenhydramine hydrochloride 0.4 mg/ml
5% glükóz 1200
Összeegyeztethető
Injekció Netilmicin sulfate 5 mg/ml
Injekció Docetaxel 0.9 mg/ml
5% glükóz 1754
Összeegyeztethető
Injekció Netilmicin sulfate 5 mg/ml
Injekció Doxorubicin hydrochloride liposome peg 0.4 mg/ml
5% glükóz 251
Meghatározatlan összeférhetetlenség Összeegyeztethetetlen
Injekció Netilmicin sulfate
Injekció Erythromycin lactobionate
3674
Összeegyeztethető
Injekció Netilmicin sulfate 5 mg/ml
Injekció Etoposide phosphate 5 mg/ml
5% glükóz 1410
Összeegyeztethető
Injekció Netilmicin sulfate 5 mg/ml
Injekció Filgrastim 30 µg/ml
5% glükóz 244
Azonnali csapadék Összeegyeztethetetlen
Injekció Netilmicin sulfate
Injekció Flucloxacillin sodium
3522
Összeegyeztethető
Injekció Netilmicin sulfate 5 mg/ml
Injekció Fludarabine phosphate 1 mg/ml
5% glükóz 492
Azonnali csapadék Összeegyeztethetetlen
Injekció Netilmicin sulfate 1,5 mg/ml
Injekció Furosemide 0,4 mg/ml
5% glükóz 367
Azonnali csapadék Összeegyeztethetetlen
Injekció Netilmicin sulfate 1,5 mg/ml
Injekció Furosemide 0,4 mg/ml
0,9% nátrium-klorid 367
Összeegyeztethető
Injekció Netilmicin sulfate 5 mg/ml
Injekció Gemcitabine hydrochloride 10 mg/ml
0,9% nátrium-klorid 1423
Összeegyeztethető
Injekció Netilmicin sulfate 5 mg/ml
Injekció Granisetron hydrochloride 0.05 mg/ml
5% glükóz 182
Azonnali csapadék Összeegyeztethetetlen
Injekció Netilmicin sulfate
Injekció Heparin sodium
1022
Meghatározatlan összeférhetetlenség Összeegyeztethetetlen
Injekció Netilmicin sulfate
Injekció Heparin sodium
3540
Összeegyeztethető
Injekció Netilmicin sulfate 3 mg/ml
Injekció Hydrocortisone sodium succinate 0.8 mg/ml
0,9% nátrium-klorid 1200
Összeegyeztethető
Injekció Netilmicin sulfate 5 mg/ml
Parenterális táplálás (lipid-mentes) 301
Összeegyeztethető
Injekció Netilmicin sulfate 50 & 100 mg/ml
Parenterális táplálás (lipid-mentes) 999
Összeegyeztethető
Injekció Netilmicin sulfate 5 mg/ml
Parenterális táplálás (lipid) 1415
Összeegyeztethető
Injekció Netilmicin sulfate
Ringer-laktát oldat 1200
Összeegyeztethető
Injekció Netilmicin sulfate 3 mg/ml
Injekció Hydrocortisone sodium succinate 0.8 mg/ml
5% glükóz 1200
Összeegyeztethető
Injekció Netilmicin sulfate 3 mg/ml
Injekció Iron dextran
5% glükóz 1200
Összeegyeztethető
Injekció Netilmicin sulfate 3 mg/ml
Injekció Iron dextran
0,9% nátrium-klorid 1200
Összeegyeztethető
Injekció Netilmicin sulfate 3 mg/ml
Injekció Isoprenaline hydrochloride 0.4 mg/ml
5% glükóz 1200
Összeegyeztethető
Injekció Netilmicin sulfate 3 mg/ml
Injekció Isoprenaline hydrochloride 0.4 mg/ml
0,9% nátrium-klorid 1200
Összeegyeztethető
Injekció Netilmicin sulfate 5 mg/ml
Injekció Linezolid 2 mg/ml
Egy sem 1925
Összeegyeztethető
Injekció Netilmicin sulfate 5 mg/ml
Injekció Melphalan 0.1 mg/ml
0,9% nátrium-klorid 169
Összeegyeztethető
Injekció Netilmicin sulfate 1 mg/ml
Injekció Metronidazole 5 mg/ml
0,9% nátrium-klorid 958
Összeegyeztethető
Injekció Netilmicin sulfate
Injekció Metronidazole
3594
Összeegyeztethető
Injekció Netilmicin sulfate 1.4 mg/ml
Injekció Metronidazole 5 mg/ml
Egy sem 1035
Összeegyeztethető
Injekció Netilmicin sulfate 3 mg/ml
Injekció Neostigmine methylsulfate 0.04 mg/ml
5% glükóz 1200
Összeegyeztethető
Injekció Netilmicin sulfate 3 mg/ml
Injekció Neostigmine methylsulfate 0.04 mg/ml
0,9% nátrium-klorid 1200
Összeegyeztethető
Injekció Netilmicin sulfate 3 mg/ml
Injekció Norepinephrine bitartrate 0.064 mg/ml
0,9% nátrium-klorid 1200
Összeegyeztethető
Injekció Netilmicin sulfate 3 mg/ml
Injekció Norepinephrine bitartrate 0.064 mg/ml
5% glükóz 1200
Összeegyeztethető
Injekció Netilmicin sulfate 3 mg/ml
Injekció Oxytocin
5% glükóz 1200
Összeegyeztethető
Injekció Netilmicin sulfate 3 mg/ml
Injekció Oxytocin
0,9% nátrium-klorid 1200
Összeegyeztethető
Injekció Netilmicin sulfate 3 mg/ml
Injekció Phytomenadione 0.1 mg/ml
0,9% nátrium-klorid 1200
Összeegyeztethető
Injekció Netilmicin sulfate 3 mg/ml
Injekció Phytomenadione 0.1 mg/ml
5% glükóz 1200
Kémiai instabilitás Összeegyeztethetetlen
Injekció Netilmicin sulfate
Injekció Piperacillin sodium / tazobactam
3586
Összeegyeztethető
Injekció Netilmicin sulfate 3 mg/ml
Injekció Potassium chloride
5% glükóz 1200
Összeegyeztethető
Injekció Netilmicin sulfate 3 mg/ml
Injekció Potassium chloride
0,9% nátrium-klorid 1200
Összeegyeztethető
Injekció Netilmicin sulfate 3 mg/ml
Injekció Procainamide hydrochloride 4 mg/ml
0,9% nátrium-klorid 1200
Összeegyeztethető
Injekció Netilmicin sulfate 3 mg/ml
Injekció Procainamide hydrochloride 4 mg/ml
5% glükóz 1200
Összeegyeztethető
Injekció Netilmicin sulfate 3 mg/ml
Injekció Promethazine hydrochloride 0.1 mg/ml
5% glükóz 1200
Összeegyeztethető
Injekció Netilmicin sulfate 3 mg/ml
Injekció Promethazine hydrochloride 0.1 mg/ml
0,9% nátrium-klorid 1200
Azonnali csapadék Összeegyeztethetetlen
Injekció Netilmicin sulfate 5 mg/ml
Injekció Propofol 10 mg/ml
Egy sem 300
Összeegyeztethető
Injekció Netilmicin sulfate 1 mg/ml
Injekció Ranitidine hydrochloride 0,5 mg/ml
0,9% nátrium-klorid 958
Összeegyeztethető
Injekció Netilmicin sulfate 5 mg/ml
Injekció Remifentanil hydrochloride 25 & 250 µg/ml
0,9% nátrium-klorid 59
Összeegyeztethető
Injekció Netilmicin sulfate 5 mg/ml
Injekció Sargramostim 10 µg/ml
0,9% nátrium-klorid 335
Összeegyeztethető
Injekció Netilmicin sulfate 5 mg/ml
Injekció Thiotepa 1 mg/ml
5% glükóz 249
Összeegyeztethető
Injekció Netilmicin sulfate 3 mg/ml
Injekció Triflupromazine hydrochloride 0.4 mg/ml
5% glükóz 1200
Összeegyeztethető
Injekció Netilmicin sulfate 5 mg/ml
Injekció Vinorelbine tartrate 1 mg/ml
0,9% nátrium-klorid 84
Összeegyeztethető
Injekció Netilmicin sulfate
0,9% nátrium-klorid 421
Meghatározatlan összeférhetetlenség Összeegyeztethetetlen
Injekció Netilmicin sulfate
Injekció Teicoplanine
3656
Meghatározatlan összeférhetetlenség Összeegyeztethetetlen
Injekció Netilmicin sulfate
Injekció Temocilline
2296
Összeegyeztethető
Injekció Netilmicin sulfate 5 mg/ml
Injekció Teniposide 0.1 mg/ml
5% glükóz 905
Kémiai instabilitás Összeegyeztethetetlen
Injekció Netilmicin sulfate
Injekció Ticarcillin / clavulanic acid
3587
Összeegyeztethető
Injekció Netilmicin sulfate 3 mg/ml
Injekció Triflupromazine hydrochloride 0.4 mg/ml
0,9% nátrium-klorid 1200

  Mentions Légales