Last update :
18/03/2026
Antibiotic   Netilmicin sulfate  
injection
aerosol
Stability in solutions Stability of mixtures Factors which affect stability Compatibility Route of administration References pdf
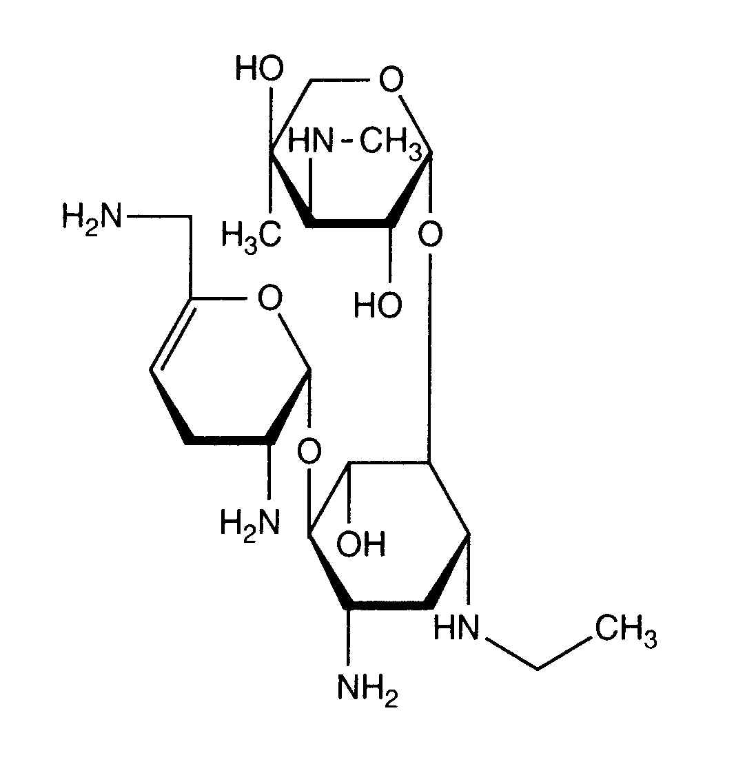
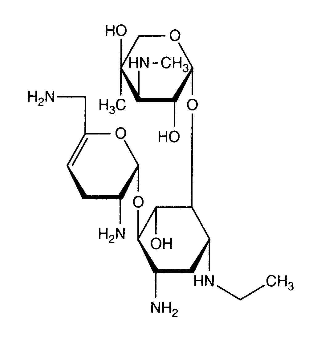
   Chemical structure  

Tradename   Tradename     

Trade names are indicative and excipients composition can be different depending on the country and manufacturers

Bactob India
Beltob India
Bramicil Italy
Brulamycin Hungary
Eltol India
Fytobra India
Gernebcin Germany
Komitub India
Nebcin Australia, Egypt, Great Britain, Greece, New Zealand, Saudi Arabia, United Arab Emirates
Nebcina Denmark, Morocco, Norway, Sweden
Nebcine Morocco
Nebicina Italy
Netilyn Finland, Sweden
Netromicina Portugal
Netromicine France
Netromycine Greece, Poland, russian, Turkey
Nettacin Italy
Obracin Belgium, Luxembourg, Netherlands, Switzerland
Tobra Germany
Tobra Alex Egypt
Tobra Day New Zealand
Tobra Gobens Spain
Tobracin Egypt
Tobradistin Spain
Tobramicina Italy, Portugal, Spain, Venezuela
Tobramina Brazil
Tobramycin Australia, Canada, Germany, Great Britain, Ireland, Norway, Saudi Arabia, United States of America
Tobramycine France, Ireland, Netherlands
Tobrasix Austria
Tobrazid Germany
Tomycin Finland
Zetamicin Italy
Compatibility   injection   Compatibility : Netilmicin sulfate              
This screen indicates the compatibilities or incompatibilities with, in this case, the type of incompatibility (precipitation, color change, modification of an emulsion, etc.). The compatibilities shown here are mostly physical only, with the chemical stability of each molecule rarely being assessed. The evaluation of these mixtures was studied to consider the possibility of Y-site administration to the patient. These data cannot be used for making mixtures in advance in bags or syringes. This type of information is available in the screen "Stability in mixture ».
Compound Solvent References
Precipitation after 1 hour Incompatible
injection Netilmicin sulfate 5 mg/ml
injection Allopurinol sodium 3 mg/ml
Sodium chloride 0,9% 307
Compatible
injection Netilmicin sulfate 3 mg/ml
NaHCO3 1200
Compatible
injection Netilmicin sulfate 5 mg/ml
injection Amifostine 10 mg/ml
Glucose 5% 3
Compatible
injection Netilmicin sulfate 3 mg/ml
injection Aminocaproic acid 10 mg/ml
Sodium chloride 0,9% 1200
Compatible
injection Netilmicin sulfate 3 mg/ml
injection Aminocaproic acid 10 mg/ml
Glucose 5% 1200
Compatible
injection Netilmicin sulfate 5 mg/ml
injection Aminophylline 0,8 mg/ml
NaCl 0,45% Glucose 5% 1236
Chemical instability Incompatible
injection Netilmicin sulfate
injection Amoxicillin sodium
3527
Unspecified incompatibility Incompatible
injection Netilmicin sulfate
injection Amoxicillin sodium / clavulanic acid
3545
Immediate precipitation Incompatible
injection Netilmicin sulfate 5 mg/ml
injection Amphotericin B cholesteryl sulfate complex 0,83 mg/ml
Glucose 5% 921
Compatible
injection Netilmicin sulfate 3 mg/ml
injection Atropine sulfate 0.04 mg/ml
Sodium chloride 0,9% 1200
Compatible
injection Netilmicin sulfate 3 mg/ml
injection Atropine sulfate 0.04 mg/ml
Glucose 5% 1200
Compatible
injection Netilmicin sulfate 5 mg/ml
injection Aztreonam 40 mg/ml
Glucose 5% 99
Compatible
injection Netilmicin sulfate 5 mg/ml
injection Calcium gluconate 40 mg/ml
NaCl 0,45% Glucose 5% 1236
Unspecified incompatibility Incompatible
injection Netilmicin sulfate
injection Calcium gluconate
3644
Incompatible
injection Netilmicin sulfate
injection Calcium gluconate
4964
Unspecified incompatibility Incompatible
injection Netilmicin sulfate
injection Cefamandole nafate
3546
Unspecified incompatibility Incompatible
injection Netilmicin sulfate
injection Cefepime dihydrochloride
3548
Unspecified incompatibility Incompatible
injection Netilmicin sulfate
injection Cefoperazone sodium
3544
Unspecified incompatibility Incompatible
injection Netilmicin sulfate
injection Ceftazidime
3883
Unspecified incompatibility Incompatible
injection Netilmicin sulfate
injection Ceftazidime
3543
Unspecified incompatibility Incompatible
injection Netilmicin sulfate
injection Ceftriaxone disodium
3523
Unspecified incompatibility Incompatible
injection Netilmicin sulfate
injection Cefuroxime sodium
3687
Compatible
injection Netilmicin sulfate 3 mg/ml
injection Chlorpromazine hydrochloride 0.1 mg/ml
Glucose 5% 1200
Compatible
injection Netilmicin sulfate 3 mg/ml
injection Chlorpromazine hydrochloride 0.1 mg/ml
Sodium chloride 0,9% 1200
Compatible
injection Netilmicin sulfate 2,5 mg/ml
injection Ciprofloxacin lactate 2 mg/ml
Sodium chloride 0,9% 289
Compatible
injection Netilmicin sulfate 5 mg/ml
injection Cisatracurium besylate 0.1 >> 5 mg/ml
Glucose 5% 299
Chemical instability Incompatible
injection Netilmicin sulfate
injection Cisplatin
3578
Compatible
injection Netilmicin sulfate 3 mg/ml
injection Clindamycin phosphate 9 mg/ml
Sodium chloride 0,9% 421
Compatible
injection Netilmicin sulfate 3 mg/ml
injection Clindamycin phosphate 9 mg/ml
Glucose 5% 421
Compatible
injection Netilmicin sulfate
injection Clindamycin phosphate
Glucose 5% 3526
Compatible
injection Netilmicin sulfate
injection Clindamycin phosphate
Sodium chloride 0,9% 3526
Compatible
injection Netilmicin sulfate 3 mg/ml
injection Dexamethasone sodium phosphate 0.08 mg/ml
Sodium chloride 0,9% 1200
Compatible
injection Netilmicin sulfate 3 mg/ml
injection Dexamethasone sodium phosphate 0.08 mg/ml
Glucose 5% 1200
Compatible
injection Netilmicin sulfate 3 mg/ml
injection Diazepam 0.04 mg/ml
Sodium chloride 0,9% 1200
Compatible
injection Netilmicin sulfate 3 mg/ml
injection Diphenhydramine hydrochloride 0.4 mg/ml
Sodium chloride 0,9% 1200
Incompatible
injection Netilmicin sulfate
Glucose 5% 421
Compatible
injection Netilmicin sulfate 3 mg/ml
injection Diazepam 0.04 mg/ml
Glucose 5% 1200
Compatible
injection Netilmicin sulfate 3 mg/ml
injection Diphenhydramine hydrochloride 0.4 mg/ml
Glucose 5% 1200
Compatible
injection Netilmicin sulfate 5 mg/ml
injection Docetaxel 0.9 mg/ml
Glucose 5% 1754
Compatible
injection Netilmicin sulfate 5 mg/ml
injection Doxorubicin hydrochloride liposome peg 0.4 mg/ml
Glucose 5% 251
Unspecified incompatibility Incompatible
injection Netilmicin sulfate
injection Erythromycin lactobionate
3674
Compatible
injection Netilmicin sulfate 5 mg/ml
injection Etoposide phosphate 5 mg/ml
Glucose 5% 1410
Compatible
injection Netilmicin sulfate 5 mg/ml
injection Filgrastim 30 µg/ml
Glucose 5% 244
Immediate precipitation Incompatible
injection Netilmicin sulfate
injection Flucloxacillin sodium
3522
Compatible
injection Netilmicin sulfate 5 mg/ml
injection Fludarabine phosphate 1 mg/ml
Glucose 5% 492
Immediate precipitation Incompatible
injection Netilmicin sulfate 1,5 mg/ml
injection Furosemide 0,4 mg/ml
Glucose 5% 367
Immediate precipitation Incompatible
injection Netilmicin sulfate 1,5 mg/ml
injection Furosemide 0,4 mg/ml
Sodium chloride 0,9% 367
Compatible
injection Netilmicin sulfate 5 mg/ml
injection Gemcitabine hydrochloride 10 mg/ml
Sodium chloride 0,9% 1423
Compatible
injection Netilmicin sulfate 5 mg/ml
injection Granisetron hydrochloride 0.05 mg/ml
Glucose 5% 182
Immediate precipitation Incompatible
injection Netilmicin sulfate
injection Heparin sodium
1022
Unspecified incompatibility Incompatible
injection Netilmicin sulfate
injection Heparin sodium
3540
Compatible
injection Netilmicin sulfate 3 mg/ml
injection Hydrocortisone sodium succinate 0.8 mg/ml
Sodium chloride 0,9% 1200
Compatible
injection Netilmicin sulfate 5 mg/ml
Parenteral nutrition (binary mixture) 301
Compatible
injection Netilmicin sulfate 50 & 100 mg/ml
Parenteral nutrition (binary mixture) 999
Compatible
injection Netilmicin sulfate 5 mg/ml
Parenteral nutrition (with lipids) 1415
Compatible
injection Netilmicin sulfate
Ringer’s lactate solution 1200
Compatible
injection Netilmicin sulfate 3 mg/ml
injection Hydrocortisone sodium succinate 0.8 mg/ml
Glucose 5% 1200
Compatible
injection Netilmicin sulfate 3 mg/ml
injection Iron dextran
Glucose 5% 1200
Compatible
injection Netilmicin sulfate 3 mg/ml
injection Iron dextran
Sodium chloride 0,9% 1200
Compatible
injection Netilmicin sulfate 3 mg/ml
injection Isoprenaline hydrochloride 0.4 mg/ml
Glucose 5% 1200
Compatible
injection Netilmicin sulfate 3 mg/ml
injection Isoprenaline hydrochloride 0.4 mg/ml
Sodium chloride 0,9% 1200
Compatible
injection Netilmicin sulfate 5 mg/ml
injection Linezolid 2 mg/ml
None 1925
Compatible
injection Netilmicin sulfate 5 mg/ml
injection Melphalan 0.1 mg/ml
Sodium chloride 0,9% 169
Compatible
injection Netilmicin sulfate 1 mg/ml
injection Metronidazole 5 mg/ml
Sodium chloride 0,9% 958
Compatible
injection Netilmicin sulfate
injection Metronidazole
3594
Compatible
injection Netilmicin sulfate 1.4 mg/ml
injection Metronidazole 5 mg/ml
None 1035
Compatible
injection Netilmicin sulfate 3 mg/ml
injection Neostigmine methylsulfate 0.04 mg/ml
Glucose 5% 1200
Compatible
injection Netilmicin sulfate 3 mg/ml
injection Neostigmine methylsulfate 0.04 mg/ml
Sodium chloride 0,9% 1200
Compatible
injection Netilmicin sulfate 3 mg/ml
injection Norepinephrine bitartrate 0.064 mg/ml
Sodium chloride 0,9% 1200
Compatible
injection Netilmicin sulfate 3 mg/ml
injection Norepinephrine bitartrate 0.064 mg/ml
Glucose 5% 1200
Compatible
injection Netilmicin sulfate 3 mg/ml
injection Oxytocin
Glucose 5% 1200
Compatible
injection Netilmicin sulfate 3 mg/ml
injection Oxytocin
Sodium chloride 0,9% 1200
Compatible
injection Netilmicin sulfate 3 mg/ml
injection Phytomenadione 0.1 mg/ml
Sodium chloride 0,9% 1200
Compatible
injection Netilmicin sulfate 3 mg/ml
injection Phytomenadione 0.1 mg/ml
Glucose 5% 1200
Chemical instability Incompatible
injection Netilmicin sulfate
injection Piperacillin sodium / tazobactam
3586
Compatible
injection Netilmicin sulfate 3 mg/ml
injection Potassium chloride
Glucose 5% 1200
Compatible
injection Netilmicin sulfate 3 mg/ml
injection Potassium chloride
Sodium chloride 0,9% 1200
Compatible
injection Netilmicin sulfate 3 mg/ml
injection Procainamide hydrochloride 4 mg/ml
Sodium chloride 0,9% 1200
Compatible
injection Netilmicin sulfate 3 mg/ml
injection Procainamide hydrochloride 4 mg/ml
Glucose 5% 1200
Compatible
injection Netilmicin sulfate 3 mg/ml
injection Promethazine hydrochloride 0.1 mg/ml
Glucose 5% 1200
Compatible
injection Netilmicin sulfate 3 mg/ml
injection Promethazine hydrochloride 0.1 mg/ml
Sodium chloride 0,9% 1200
Immediate precipitation Incompatible
injection Netilmicin sulfate 5 mg/ml
injection Propofol 10 mg/ml
None 300
Compatible
injection Netilmicin sulfate 1 mg/ml
injection Ranitidine hydrochloride 0,5 mg/ml
Sodium chloride 0,9% 958
Compatible
injection Netilmicin sulfate 5 mg/ml
injection Remifentanil hydrochloride 25 & 250 µg/ml
Sodium chloride 0,9% 59
Compatible
injection Netilmicin sulfate 5 mg/ml
injection Sargramostim 10 µg/ml
Sodium chloride 0,9% 335
Compatible
injection Netilmicin sulfate 5 mg/ml
injection Thiotepa 1 mg/ml
Glucose 5% 249
Compatible
injection Netilmicin sulfate 3 mg/ml
injection Triflupromazine hydrochloride 0.4 mg/ml
Glucose 5% 1200
Compatible
injection Netilmicin sulfate 5 mg/ml
injection Vinorelbine tartrate 1 mg/ml
Sodium chloride 0,9% 84
Compatible
injection Netilmicin sulfate
Sodium chloride 0,9% 421
Unspecified incompatibility Incompatible
injection Netilmicin sulfate
injection Teicoplanine
3656
Unspecified incompatibility Incompatible
injection Netilmicin sulfate
injection Temocilline
2296
Compatible
injection Netilmicin sulfate 5 mg/ml
injection Teniposide 0.1 mg/ml
Glucose 5% 905
Chemical instability Incompatible
injection Netilmicin sulfate
injection Ticarcillin / clavulanic acid
3587
Compatible
injection Netilmicin sulfate 3 mg/ml
injection Triflupromazine hydrochloride 0.4 mg/ml
Sodium chloride 0,9% 1200

  Mentions Légales