Última actualización :
18/03/2026
Antibiótico   Netilmicin sulfate  
Inyectables
Aerosol
Estabilidad en solucion Estabilidad en mezcla Factores que influyen sobre la estabilidad Compatibilidades método de inyección Bibliografía pdf
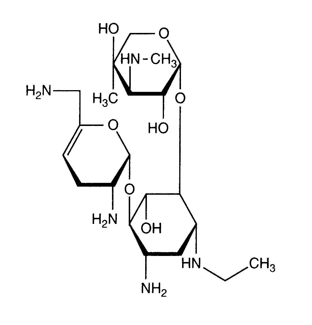
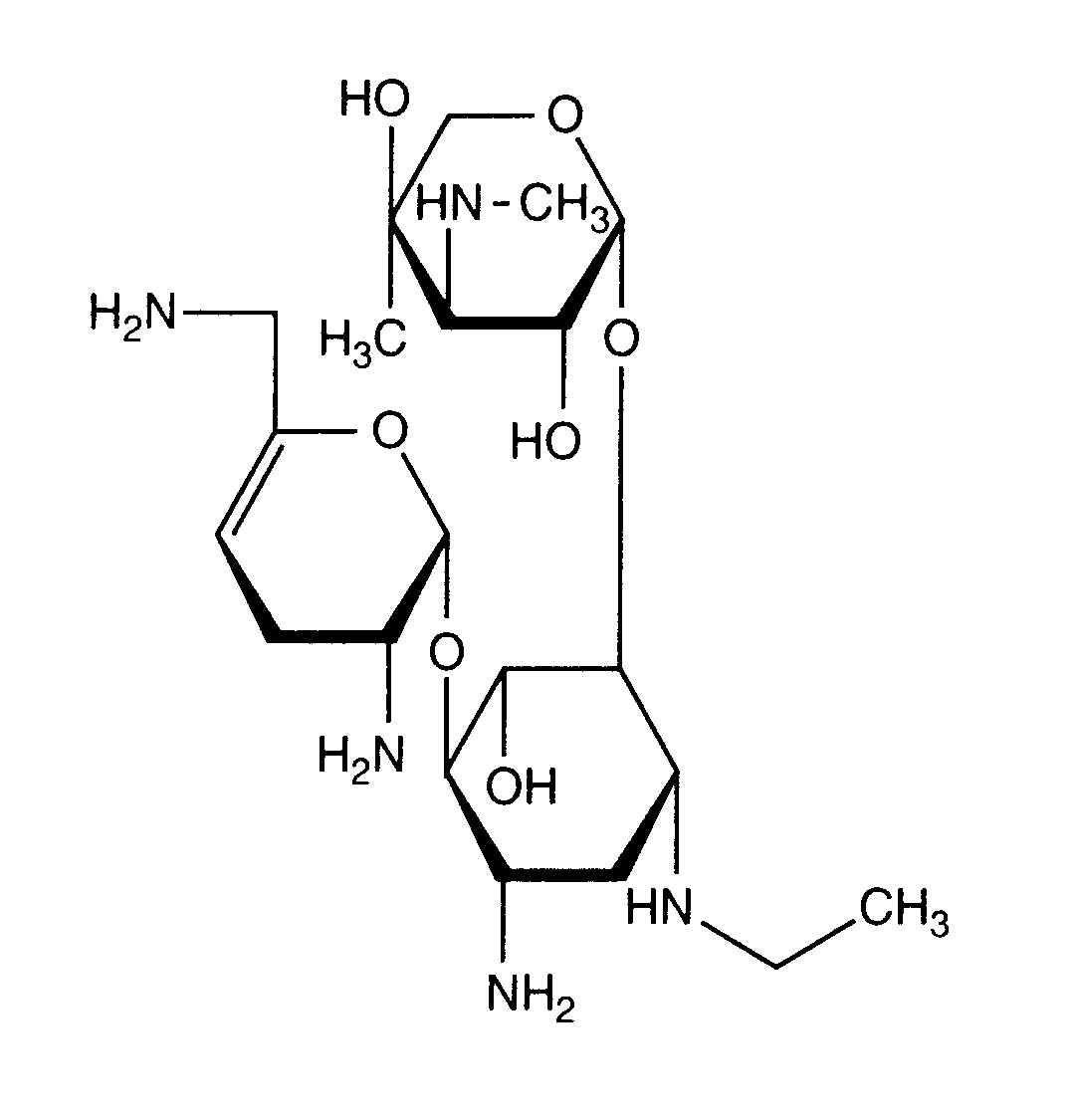
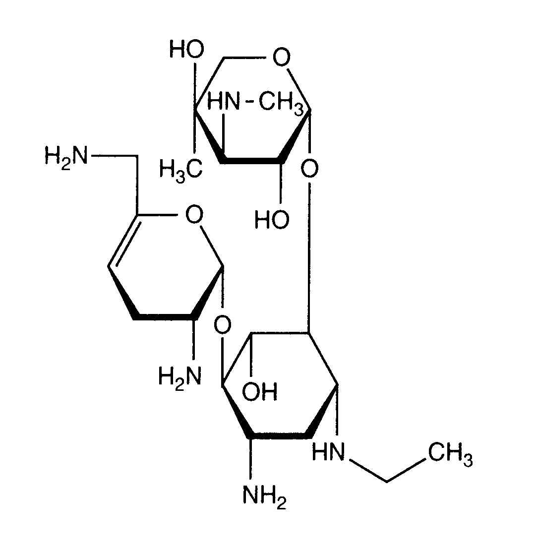
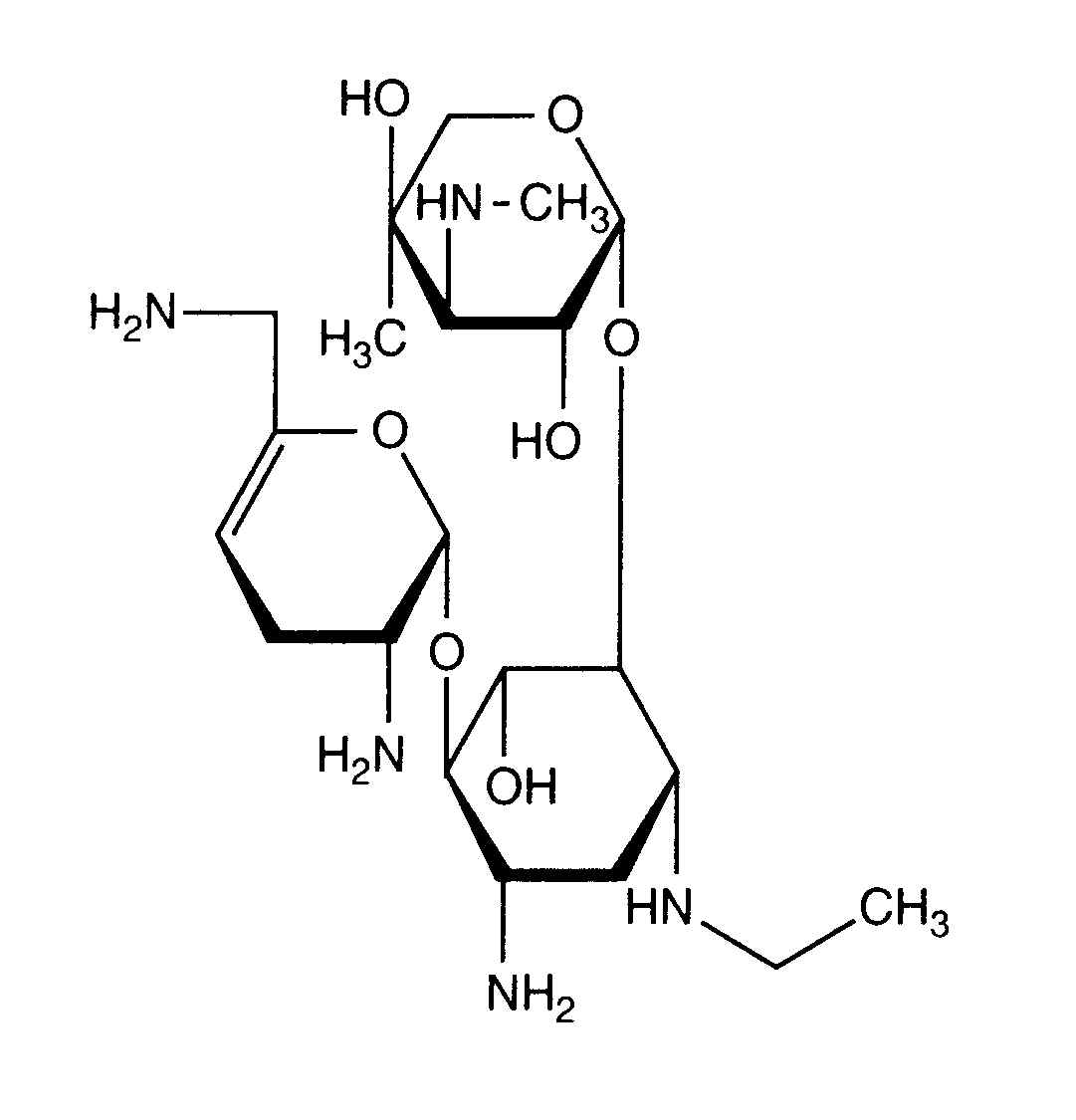
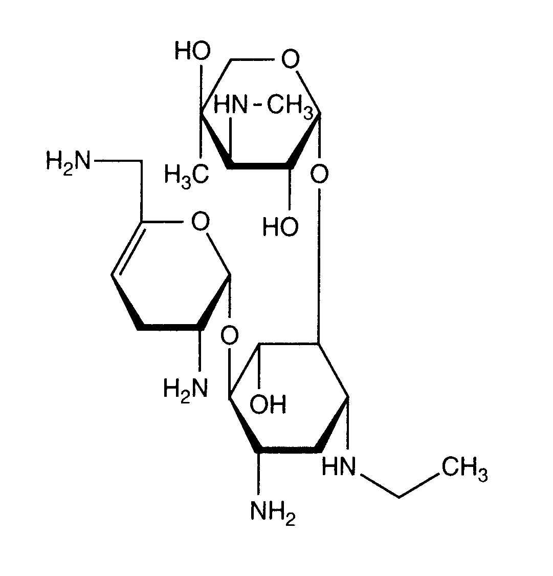
   Estructura química  

Nombre comercial   Nombre comercial     

Los nombres comerciales son orientativos y los excipientes de la formulación pueden ser distintos dependiendo del país y del laboratorio fabricante.

Bactob India
Beltob India
Bramicil Italia
Brulamycin Hungría
Eltol India
Fytobra India
Gernebcin Alemania
Komitub India
Nebcin Arabia Saudita, Australia, Egipto, Emiratos Árabes Unidos, Gran Bretaña, Grecia, Nueva Zelanda
Nebcina Dinamarca, Marruecos, Noruega, Suecia
Nebcine Marruecos
Nebicina Italia
Netilyn Finlandia, Suecia
Netromicina Portugal
Netromicine Francia
Netromycine Grecia, Polonia, ruso, Turquía
Nettacin Italia
Obracin Bélgica, Luxemburgo, Países Bajos, Suiza
Tobra Alemania
Tobra Alex Egipto
Tobra Day Nueva Zelanda
Tobra Gobens España
Tobracin Egipto
Tobradistin España
Tobramicina España, Italia, Portugal, Venezuela
Tobramina Brasil
Tobramycin Alemania, Arabia Saudita, Australia, Canadá, Estados Unidos de América, Gran Bretaña, Irlanda, Noruega
Tobramycine Francia, Irlanda, Países Bajos
Tobrasix Austria
Tobrazid Alemania
Tomycin Finlandia
Zetamicin Italia
Compatibilidades   Inyectables   Compatibilidades : Netilmicin sulfate              
Esta pantalla muestra las compatibilidades o incompatibilidades, así como el tipo de incompatibilidad (precipitación, cambio de color, modificación de una emulsión, etc). Las compatibilidades que se recogen aquí son fundamentalmente físicas, mostrando raramente la estabilidad química de la molécula. La evaluación de estas mezclas se estudió con el fin de de comprobar la posibilidad de administración en Y al paciente. Estos datos no pueden utilizarse en el caso de la preparación de mezclas dentro de bolsas o jeringas. Este tipo de información está disponible en la pantalla “Estabilidad en mezcla”.
Molécula Solvente Bibliografía
Precipitación después de 1 hora Incompatible
Inyectables Netilmicin sulfate 5 mg/ml
Inyectables Allopurinol sodium 3 mg/ml
Cloruro de sodio 0,9% 307
Compatible
Inyectables Netilmicin sulfate 3 mg/ml
NaHCO3 1200
Compatible
Inyectables Netilmicin sulfate 5 mg/ml
Inyectables Amifostine 10 mg/ml
Glucosa 5% 3
Compatible
Inyectables Netilmicin sulfate 3 mg/ml
Inyectables Aminocaproic acid 10 mg/ml
Cloruro de sodio 0,9% 1200
Compatible
Inyectables Netilmicin sulfate 3 mg/ml
Inyectables Aminocaproic acid 10 mg/ml
Glucosa 5% 1200
Compatible
Inyectables Netilmicin sulfate 5 mg/ml
Inyectables Aminophylline 0,8 mg/ml
NaCl 0,45% Glucosa 5% 1236
Inestabilidad química Incompatible
Inyectables Netilmicin sulfate
Inyectables Amoxicillin sodium
3527
Incompatibilidad no especificada Incompatible
Inyectables Netilmicin sulfate
Inyectables Amoxicillin sodium / clavulanic acid
3545
Precipitación inmediata Incompatible
Inyectables Netilmicin sulfate 5 mg/ml
Inyectables Amphotericin B cholesteryl sulfate complex 0,83 mg/ml
Glucosa 5% 921
Compatible
Inyectables Netilmicin sulfate 3 mg/ml
Inyectables Atropine sulfate 0.04 mg/ml
Cloruro de sodio 0,9% 1200
Compatible
Inyectables Netilmicin sulfate 3 mg/ml
Inyectables Atropine sulfate 0.04 mg/ml
Glucosa 5% 1200
Compatible
Inyectables Netilmicin sulfate 5 mg/ml
Inyectables Aztreonam 40 mg/ml
Glucosa 5% 99
Compatible
Inyectables Netilmicin sulfate 5 mg/ml
Inyectables Calcium gluconate 40 mg/ml
NaCl 0,45% Glucosa 5% 1236
Incompatibilidad no especificada Incompatible
Inyectables Netilmicin sulfate
Inyectables Calcium gluconate
3644
Incompatible
Inyectables Netilmicin sulfate
Inyectables Calcium gluconate
4964
Incompatibilidad no especificada Incompatible
Inyectables Netilmicin sulfate
Inyectables Cefamandole nafate
3546
Incompatibilidad no especificada Incompatible
Inyectables Netilmicin sulfate
Inyectables Cefepime dihydrochloride
3548
Incompatibilidad no especificada Incompatible
Inyectables Netilmicin sulfate
Inyectables Cefoperazone sodium
3544
Incompatibilidad no especificada Incompatible
Inyectables Netilmicin sulfate
Inyectables Ceftazidime
3883
Incompatibilidad no especificada Incompatible
Inyectables Netilmicin sulfate
Inyectables Ceftazidime
3543
Incompatibilidad no especificada Incompatible
Inyectables Netilmicin sulfate
Inyectables Ceftriaxone disodium
3523
Incompatibilidad no especificada Incompatible
Inyectables Netilmicin sulfate
Inyectables Cefuroxime sodium
3687
Compatible
Inyectables Netilmicin sulfate 3 mg/ml
Inyectables Chlorpromazine hydrochloride 0.1 mg/ml
Glucosa 5% 1200
Compatible
Inyectables Netilmicin sulfate 3 mg/ml
Inyectables Chlorpromazine hydrochloride 0.1 mg/ml
Cloruro de sodio 0,9% 1200
Compatible
Inyectables Netilmicin sulfate 2,5 mg/ml
Inyectables Ciprofloxacin lactate 2 mg/ml
Cloruro de sodio 0,9% 289
Compatible
Inyectables Netilmicin sulfate 5 mg/ml
Inyectables Cisatracurium besylate 0.1 >> 5 mg/ml
Glucosa 5% 299
Inestabilidad química Incompatible
Inyectables Netilmicin sulfate
Inyectables Cisplatin
3578
Compatible
Inyectables Netilmicin sulfate 3 mg/ml
Inyectables Clindamycin phosphate 9 mg/ml
Cloruro de sodio 0,9% 421
Compatible
Inyectables Netilmicin sulfate 3 mg/ml
Inyectables Clindamycin phosphate 9 mg/ml
Glucosa 5% 421
Compatible
Inyectables Netilmicin sulfate
Inyectables Clindamycin phosphate
Glucosa 5% 3526
Compatible
Inyectables Netilmicin sulfate
Inyectables Clindamycin phosphate
Cloruro de sodio 0,9% 3526
Compatible
Inyectables Netilmicin sulfate 3 mg/ml
Inyectables Dexamethasone sodium phosphate 0.08 mg/ml
Cloruro de sodio 0,9% 1200
Compatible
Inyectables Netilmicin sulfate 3 mg/ml
Inyectables Dexamethasone sodium phosphate 0.08 mg/ml
Glucosa 5% 1200
Compatible
Inyectables Netilmicin sulfate 3 mg/ml
Inyectables Diazepam 0.04 mg/ml
Cloruro de sodio 0,9% 1200
Compatible
Inyectables Netilmicin sulfate 3 mg/ml
Inyectables Diphenhydramine hydrochloride 0.4 mg/ml
Cloruro de sodio 0,9% 1200
Incompatible
Inyectables Netilmicin sulfate
Glucosa 5% 421
Compatible
Inyectables Netilmicin sulfate 3 mg/ml
Inyectables Diazepam 0.04 mg/ml
Glucosa 5% 1200
Compatible
Inyectables Netilmicin sulfate 3 mg/ml
Inyectables Diphenhydramine hydrochloride 0.4 mg/ml
Glucosa 5% 1200
Compatible
Inyectables Netilmicin sulfate 5 mg/ml
Inyectables Docetaxel 0.9 mg/ml
Glucosa 5% 1754
Compatible
Inyectables Netilmicin sulfate 5 mg/ml
Inyectables Doxorubicin hydrochloride liposome peg 0.4 mg/ml
Glucosa 5% 251
Incompatibilidad no especificada Incompatible
Inyectables Netilmicin sulfate
Inyectables Erythromycin lactobionate
3674
Compatible
Inyectables Netilmicin sulfate 5 mg/ml
Inyectables Etoposide phosphate 5 mg/ml
Glucosa 5% 1410
Compatible
Inyectables Netilmicin sulfate 5 mg/ml
Inyectables Filgrastim 30 µg/ml
Glucosa 5% 244
Precipitación inmediata Incompatible
Inyectables Netilmicin sulfate
Inyectables Flucloxacillin sodium
3522
Compatible
Inyectables Netilmicin sulfate 5 mg/ml
Inyectables Fludarabine phosphate 1 mg/ml
Glucosa 5% 492
Precipitación inmediata Incompatible
Inyectables Netilmicin sulfate 1,5 mg/ml
Inyectables Furosemide 0,4 mg/ml
Glucosa 5% 367
Precipitación inmediata Incompatible
Inyectables Netilmicin sulfate 1,5 mg/ml
Inyectables Furosemide 0,4 mg/ml
Cloruro de sodio 0,9% 367
Compatible
Inyectables Netilmicin sulfate 5 mg/ml
Inyectables Gemcitabine hydrochloride 10 mg/ml
Cloruro de sodio 0,9% 1423
Compatible
Inyectables Netilmicin sulfate 5 mg/ml
Inyectables Granisetron hydrochloride 0.05 mg/ml
Glucosa 5% 182
Precipitación inmediata Incompatible
Inyectables Netilmicin sulfate
Inyectables Heparin sodium
1022
Incompatibilidad no especificada Incompatible
Inyectables Netilmicin sulfate
Inyectables Heparin sodium
3540
Compatible
Inyectables Netilmicin sulfate 3 mg/ml
Inyectables Hydrocortisone sodium succinate 0.8 mg/ml
Cloruro de sodio 0,9% 1200
Compatible
Inyectables Netilmicin sulfate 5 mg/ml
Nutrición parenteral (libre de lípidos) 301
Compatible
Inyectables Netilmicin sulfate 50 & 100 mg/ml
Nutrición parenteral (libre de lípidos) 999
Compatible
Inyectables Netilmicin sulfate 5 mg/ml
Nutrición parenteral (con lípidos) 1415
Compatible
Inyectables Netilmicin sulfate
Ringer lactato 1200
Compatible
Inyectables Netilmicin sulfate 3 mg/ml
Inyectables Hydrocortisone sodium succinate 0.8 mg/ml
Glucosa 5% 1200
Compatible
Inyectables Netilmicin sulfate 3 mg/ml
Inyectables Iron dextran
Glucosa 5% 1200
Compatible
Inyectables Netilmicin sulfate 3 mg/ml
Inyectables Iron dextran
Cloruro de sodio 0,9% 1200
Compatible
Inyectables Netilmicin sulfate 3 mg/ml
Inyectables Isoprenaline hydrochloride 0.4 mg/ml
Glucosa 5% 1200
Compatible
Inyectables Netilmicin sulfate 3 mg/ml
Inyectables Isoprenaline hydrochloride 0.4 mg/ml
Cloruro de sodio 0,9% 1200
Compatible
Inyectables Netilmicin sulfate 5 mg/ml
Inyectables Linezolid 2 mg/ml
Ninguno 1925
Compatible
Inyectables Netilmicin sulfate 5 mg/ml
Inyectables Melphalan 0.1 mg/ml
Cloruro de sodio 0,9% 169
Compatible
Inyectables Netilmicin sulfate 1 mg/ml
Inyectables Metronidazole 5 mg/ml
Cloruro de sodio 0,9% 958
Compatible
Inyectables Netilmicin sulfate
Inyectables Metronidazole
3594
Compatible
Inyectables Netilmicin sulfate 1.4 mg/ml
Inyectables Metronidazole 5 mg/ml
Ninguno 1035
Compatible
Inyectables Netilmicin sulfate 3 mg/ml
Inyectables Neostigmine methylsulfate 0.04 mg/ml
Glucosa 5% 1200
Compatible
Inyectables Netilmicin sulfate 3 mg/ml
Inyectables Neostigmine methylsulfate 0.04 mg/ml
Cloruro de sodio 0,9% 1200
Compatible
Inyectables Netilmicin sulfate 3 mg/ml
Inyectables Norepinephrine bitartrate 0.064 mg/ml
Cloruro de sodio 0,9% 1200
Compatible
Inyectables Netilmicin sulfate 3 mg/ml
Inyectables Norepinephrine bitartrate 0.064 mg/ml
Glucosa 5% 1200
Compatible
Inyectables Netilmicin sulfate 3 mg/ml
Inyectables Oxytocin
Glucosa 5% 1200
Compatible
Inyectables Netilmicin sulfate 3 mg/ml
Inyectables Oxytocin
Cloruro de sodio 0,9% 1200
Compatible
Inyectables Netilmicin sulfate 3 mg/ml
Inyectables Phytomenadione 0.1 mg/ml
Cloruro de sodio 0,9% 1200
Compatible
Inyectables Netilmicin sulfate 3 mg/ml
Inyectables Phytomenadione 0.1 mg/ml
Glucosa 5% 1200
Inestabilidad química Incompatible
Inyectables Netilmicin sulfate
Inyectables Piperacillin sodium / tazobactam
3586
Compatible
Inyectables Netilmicin sulfate 3 mg/ml
Inyectables Potassium chloride
Glucosa 5% 1200
Compatible
Inyectables Netilmicin sulfate 3 mg/ml
Inyectables Potassium chloride
Cloruro de sodio 0,9% 1200
Compatible
Inyectables Netilmicin sulfate 3 mg/ml
Inyectables Procainamide hydrochloride 4 mg/ml
Cloruro de sodio 0,9% 1200
Compatible
Inyectables Netilmicin sulfate 3 mg/ml
Inyectables Procainamide hydrochloride 4 mg/ml
Glucosa 5% 1200
Compatible
Inyectables Netilmicin sulfate 3 mg/ml
Inyectables Promethazine hydrochloride 0.1 mg/ml
Glucosa 5% 1200
Compatible
Inyectables Netilmicin sulfate 3 mg/ml
Inyectables Promethazine hydrochloride 0.1 mg/ml
Cloruro de sodio 0,9% 1200
Precipitación inmediata Incompatible
Inyectables Netilmicin sulfate 5 mg/ml
Inyectables Propofol 10 mg/ml
Ninguno 300
Compatible
Inyectables Netilmicin sulfate 1 mg/ml
Inyectables Ranitidine hydrochloride 0,5 mg/ml
Cloruro de sodio 0,9% 958
Compatible
Inyectables Netilmicin sulfate 5 mg/ml
Inyectables Remifentanil hydrochloride 25 & 250 µg/ml
Cloruro de sodio 0,9% 59
Compatible
Inyectables Netilmicin sulfate 5 mg/ml
Inyectables Sargramostim 10 µg/ml
Cloruro de sodio 0,9% 335
Compatible
Inyectables Netilmicin sulfate 5 mg/ml
Inyectables Thiotepa 1 mg/ml
Glucosa 5% 249
Compatible
Inyectables Netilmicin sulfate 3 mg/ml
Inyectables Triflupromazine hydrochloride 0.4 mg/ml
Glucosa 5% 1200
Compatible
Inyectables Netilmicin sulfate 5 mg/ml
Inyectables Vinorelbine tartrate 1 mg/ml
Cloruro de sodio 0,9% 84
Compatible
Inyectables Netilmicin sulfate
Cloruro de sodio 0,9% 421
Incompatibilidad no especificada Incompatible
Inyectables Netilmicin sulfate
Inyectables Teicoplanine
3656
Incompatibilidad no especificada Incompatible
Inyectables Netilmicin sulfate
Inyectables Temocilline
2296
Compatible
Inyectables Netilmicin sulfate 5 mg/ml
Inyectables Teniposide 0.1 mg/ml
Glucosa 5% 905
Inestabilidad química Incompatible
Inyectables Netilmicin sulfate
Inyectables Ticarcillin / clavulanic acid
3587
Compatible
Inyectables Netilmicin sulfate 3 mg/ml
Inyectables Triflupromazine hydrochloride 0.4 mg/ml
Cloruro de sodio 0,9% 1200

  Mentions Légales