zadnja posodobitev :
18/03/2026
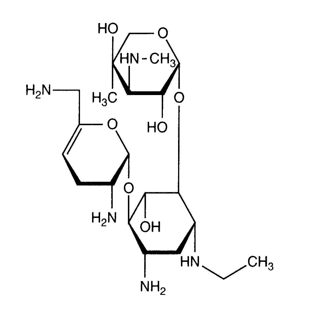
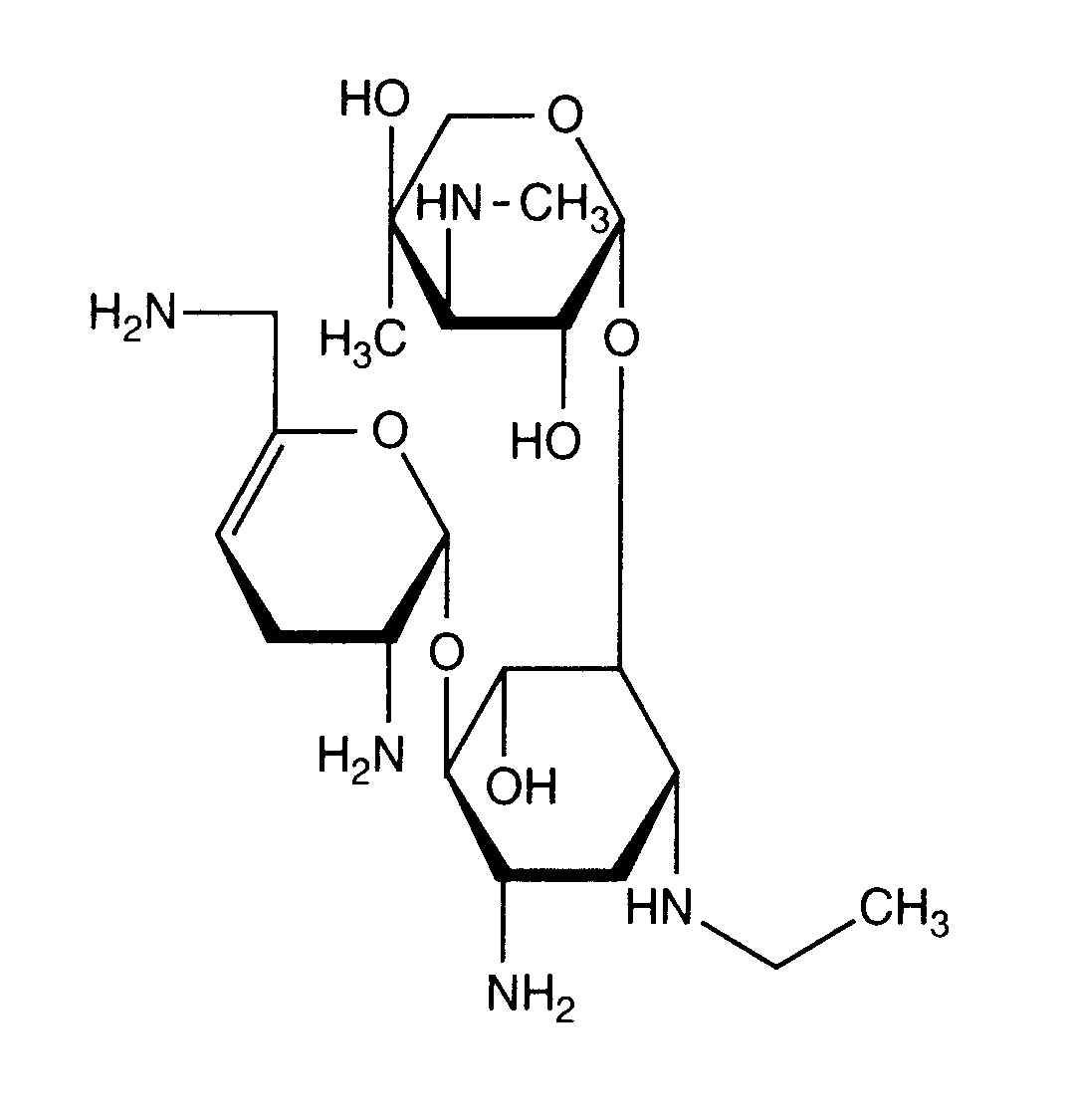
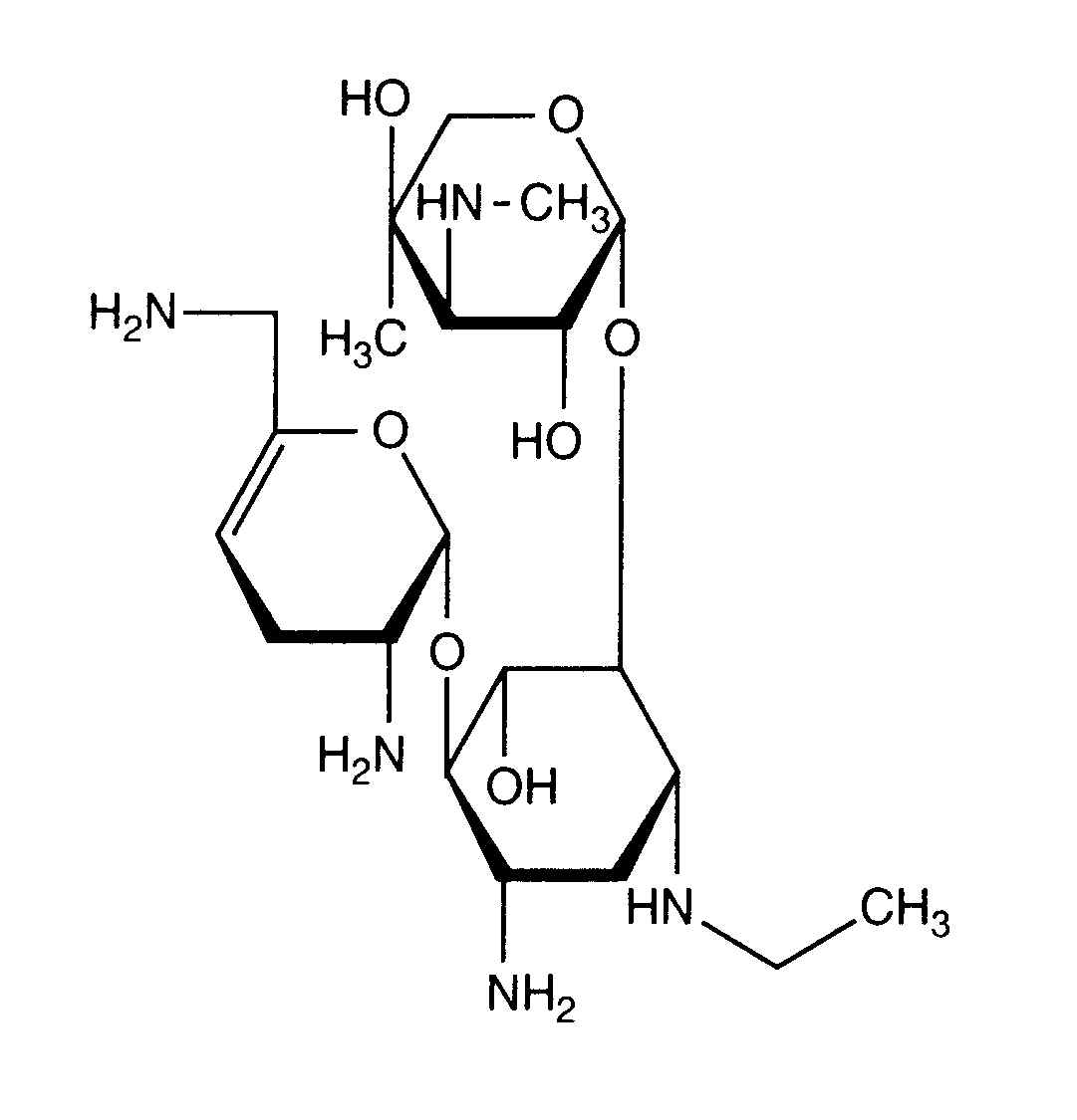
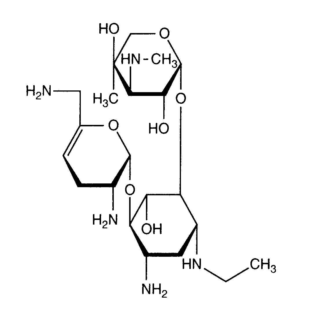
Antibiotik   Netilmicin sulfate  
Brizgalka
Aerosol
Stabilnost raztopine Stabilnost mešanice Faktorji, ki vplivajo na stabilnost Kompatibilnost način aplikacije Viri pdf
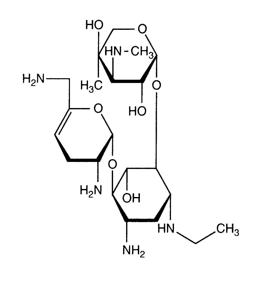
   Kemična formula  

Lastniško ime   Lastniško ime     

Sestava pomožnih snovi je med paralelami lahko različna

Bactob Indija
Beltob Indija
Bramicil Italija
Brulamycin Madžarska
Eltol Indija
Fytobra Indija
Gernebcin Nemčija
Komitub Indija
Nebcin Avstralija, Egipt, Grčija, nova Zelandija, Savdska Arabija, Velika Britanija, Združeni arabski emirati
Nebcina Danska, Maroko, Norveška, Švedska
Nebcine Maroko
Nebicina Italija
Netilyn Finska, Švedska
Netromicina Portugalska
Netromicine Francija
Netromycine Grčija, Poljska, ruščina, Turčija
Nettacin Italija
Obracin Belgija, Luksemburg, Nizozemska, Švica
Tobra Nemčija
Tobra Alex Egipt
Tobra Day nova Zelandija
Tobra Gobens Španija
Tobracin Egipt
Tobradistin Španija
Tobramicina Italija, Portugalska, Španija, Venezuela
Tobramina Brazilija
Tobramycin Avstralija, Irska, Kanada, Nemčija, Norveška, Savdska Arabija, Velika Britanija, Združene države Amerike
Tobramycine Francija, Irska, Nizozemska
Tobrasix Avstrija
Tobrazid Nemčija
Tomycin Finska
Zetamicin Italija
Kompatibilnost   Brizgalka   Kompatibilnost : Netilmicin sulfate              
Ta zaslon prikazuje združljivost ali nezdružljivost s, v tem primeru, vrsto nezdružljivosti (padavine, sprememba barve, sprememba emulzije itd.). Tu prikazane združljivosti so večinoma samo fizične, pri čemer se kemijska stabilnost vsake molekule redko ocenjuje. Vrednotenje teh zmesi so preučevali, da bi preučili možnost pacientovega dajanja na mestu Y. Teh podatkov ni mogoče uporabiti za pripravo mešanic v vrečkah ali brizgah. Ta vrsta informacij je na voljo na zaslonu "Obstojnost v mešanici".
Sestava Topilo Viri
Padavine po 1 uri Nezdružljivo
Brizgalka Netilmicin sulfate 5 mg/ml
Brizgalka Allopurinol sodium 3 mg/ml
Natrijev klorid 0,9% 307
Združljivo
Brizgalka Netilmicin sulfate 3 mg/ml
NaHCO3 1200
Združljivo
Brizgalka Netilmicin sulfate 5 mg/ml
Brizgalka Amifostine 10 mg/ml
Glukoza 5% 3
Združljivo
Brizgalka Netilmicin sulfate 3 mg/ml
Brizgalka Aminocaproic acid 10 mg/ml
Natrijev klorid 0,9% 1200
Združljivo
Brizgalka Netilmicin sulfate 3 mg/ml
Brizgalka Aminocaproic acid 10 mg/ml
Glukoza 5% 1200
Združljivo
Brizgalka Netilmicin sulfate 5 mg/ml
Brizgalka Aminophylline 0,8 mg/ml
NaCl 0,45% Glukoza 5% 1236
Kemijska nestabilnost Nezdružljivo
Brizgalka Netilmicin sulfate
Brizgalka Amoxicillin sodium
3527
Nedoločena nezdružljivost Nezdružljivo
Brizgalka Netilmicin sulfate
Brizgalka Amoxicillin sodium / clavulanic acid
3545
Takoj padavine Nezdružljivo
Brizgalka Netilmicin sulfate 5 mg/ml
Brizgalka Amphotericin B cholesteryl sulfate complex 0,83 mg/ml
Glukoza 5% 921
Združljivo
Brizgalka Netilmicin sulfate 3 mg/ml
Brizgalka Atropine sulfate 0.04 mg/ml
Natrijev klorid 0,9% 1200
Združljivo
Brizgalka Netilmicin sulfate 3 mg/ml
Brizgalka Atropine sulfate 0.04 mg/ml
Glukoza 5% 1200
Združljivo
Brizgalka Netilmicin sulfate 5 mg/ml
Brizgalka Aztreonam 40 mg/ml
Glukoza 5% 99
Združljivo
Brizgalka Netilmicin sulfate 5 mg/ml
Brizgalka Calcium gluconate 40 mg/ml
NaCl 0,45% Glukoza 5% 1236
Nedoločena nezdružljivost Nezdružljivo
Brizgalka Netilmicin sulfate
Brizgalka Calcium gluconate
3644
Nezdružljivo
Brizgalka Netilmicin sulfate
Brizgalka Calcium gluconate
4964
Nedoločena nezdružljivost Nezdružljivo
Brizgalka Netilmicin sulfate
Brizgalka Cefamandole nafate
3546
Nedoločena nezdružljivost Nezdružljivo
Brizgalka Netilmicin sulfate
Brizgalka Cefepime dihydrochloride
3548
Nedoločena nezdružljivost Nezdružljivo
Brizgalka Netilmicin sulfate
Brizgalka Cefoperazone sodium
3544
Nedoločena nezdružljivost Nezdružljivo
Brizgalka Netilmicin sulfate
Brizgalka Ceftazidime
3883
Nedoločena nezdružljivost Nezdružljivo
Brizgalka Netilmicin sulfate
Brizgalka Ceftazidime
3543
Nedoločena nezdružljivost Nezdružljivo
Brizgalka Netilmicin sulfate
Brizgalka Ceftriaxone disodium
3523
Nedoločena nezdružljivost Nezdružljivo
Brizgalka Netilmicin sulfate
Brizgalka Cefuroxime sodium
3687
Združljivo
Brizgalka Netilmicin sulfate 3 mg/ml
Brizgalka Chlorpromazine hydrochloride 0.1 mg/ml
Glukoza 5% 1200
Združljivo
Brizgalka Netilmicin sulfate 3 mg/ml
Brizgalka Chlorpromazine hydrochloride 0.1 mg/ml
Natrijev klorid 0,9% 1200
Združljivo
Brizgalka Netilmicin sulfate 2,5 mg/ml
Brizgalka Ciprofloxacin lactate 2 mg/ml
Natrijev klorid 0,9% 289
Združljivo
Brizgalka Netilmicin sulfate 5 mg/ml
Brizgalka Cisatracurium besylate 0.1 >> 5 mg/ml
Glukoza 5% 299
Kemijska nestabilnost Nezdružljivo
Brizgalka Netilmicin sulfate
Brizgalka Cisplatin
3578
Združljivo
Brizgalka Netilmicin sulfate 3 mg/ml
Brizgalka Clindamycin phosphate 9 mg/ml
Natrijev klorid 0,9% 421
Združljivo
Brizgalka Netilmicin sulfate 3 mg/ml
Brizgalka Clindamycin phosphate 9 mg/ml
Glukoza 5% 421
Združljivo
Brizgalka Netilmicin sulfate
Brizgalka Clindamycin phosphate
Glukoza 5% 3526
Združljivo
Brizgalka Netilmicin sulfate
Brizgalka Clindamycin phosphate
Natrijev klorid 0,9% 3526
Združljivo
Brizgalka Netilmicin sulfate 3 mg/ml
Brizgalka Dexamethasone sodium phosphate 0.08 mg/ml
Natrijev klorid 0,9% 1200
Združljivo
Brizgalka Netilmicin sulfate 3 mg/ml
Brizgalka Dexamethasone sodium phosphate 0.08 mg/ml
Glukoza 5% 1200
Združljivo
Brizgalka Netilmicin sulfate 3 mg/ml
Brizgalka Diazepam 0.04 mg/ml
Natrijev klorid 0,9% 1200
Združljivo
Brizgalka Netilmicin sulfate 3 mg/ml
Brizgalka Diphenhydramine hydrochloride 0.4 mg/ml
Natrijev klorid 0,9% 1200
Nezdružljivo
Brizgalka Netilmicin sulfate
Glukoza 5% 421
Združljivo
Brizgalka Netilmicin sulfate 3 mg/ml
Brizgalka Diazepam 0.04 mg/ml
Glukoza 5% 1200
Združljivo
Brizgalka Netilmicin sulfate 3 mg/ml
Brizgalka Diphenhydramine hydrochloride 0.4 mg/ml
Glukoza 5% 1200
Združljivo
Brizgalka Netilmicin sulfate 5 mg/ml
Brizgalka Docetaxel 0.9 mg/ml
Glukoza 5% 1754
Združljivo
Brizgalka Netilmicin sulfate 5 mg/ml
Brizgalka Doxorubicin hydrochloride liposome peg 0.4 mg/ml
Glukoza 5% 251
Nedoločena nezdružljivost Nezdružljivo
Brizgalka Netilmicin sulfate
Brizgalka Erythromycin lactobionate
3674
Združljivo
Brizgalka Netilmicin sulfate 5 mg/ml
Brizgalka Etoposide phosphate 5 mg/ml
Glukoza 5% 1410
Združljivo
Brizgalka Netilmicin sulfate 5 mg/ml
Brizgalka Filgrastim 30 µg/ml
Glukoza 5% 244
Takoj padavine Nezdružljivo
Brizgalka Netilmicin sulfate
Brizgalka Flucloxacillin sodium
3522
Združljivo
Brizgalka Netilmicin sulfate 5 mg/ml
Brizgalka Fludarabine phosphate 1 mg/ml
Glukoza 5% 492
Takoj padavine Nezdružljivo
Brizgalka Netilmicin sulfate 1,5 mg/ml
Brizgalka Furosemide 0,4 mg/ml
Glukoza 5% 367
Takoj padavine Nezdružljivo
Brizgalka Netilmicin sulfate 1,5 mg/ml
Brizgalka Furosemide 0,4 mg/ml
Natrijev klorid 0,9% 367
Združljivo
Brizgalka Netilmicin sulfate 5 mg/ml
Brizgalka Gemcitabine hydrochloride 10 mg/ml
Natrijev klorid 0,9% 1423
Združljivo
Brizgalka Netilmicin sulfate 5 mg/ml
Brizgalka Granisetron hydrochloride 0.05 mg/ml
Glukoza 5% 182
Takoj padavine Nezdružljivo
Brizgalka Netilmicin sulfate
Brizgalka Heparin sodium
1022
Nedoločena nezdružljivost Nezdružljivo
Brizgalka Netilmicin sulfate
Brizgalka Heparin sodium
3540
Združljivo
Brizgalka Netilmicin sulfate 3 mg/ml
Brizgalka Hydrocortisone sodium succinate 0.8 mg/ml
Natrijev klorid 0,9% 1200
Združljivo
Brizgalka Netilmicin sulfate 5 mg/ml
Parenteralna prehrana (binarno zmes) 301
Združljivo
Brizgalka Netilmicin sulfate 50 & 100 mg/ml
Parenteralna prehrana (binarno zmes) 999
Združljivo
Brizgalka Netilmicin sulfate 5 mg/ml
Parenteralna prehrana (z lipidi) 1415
Združljivo
Brizgalka Netilmicin sulfate
Ringerjev laktat 1200
Združljivo
Brizgalka Netilmicin sulfate 3 mg/ml
Brizgalka Hydrocortisone sodium succinate 0.8 mg/ml
Glukoza 5% 1200
Združljivo
Brizgalka Netilmicin sulfate 3 mg/ml
Brizgalka Iron dextran
Glukoza 5% 1200
Združljivo
Brizgalka Netilmicin sulfate 3 mg/ml
Brizgalka Iron dextran
Natrijev klorid 0,9% 1200
Združljivo
Brizgalka Netilmicin sulfate 3 mg/ml
Brizgalka Isoprenaline hydrochloride 0.4 mg/ml
Glukoza 5% 1200
Združljivo
Brizgalka Netilmicin sulfate 3 mg/ml
Brizgalka Isoprenaline hydrochloride 0.4 mg/ml
Natrijev klorid 0,9% 1200
Združljivo
Brizgalka Netilmicin sulfate 5 mg/ml
Brizgalka Linezolid 2 mg/ml
Nobeden 1925
Združljivo
Brizgalka Netilmicin sulfate 5 mg/ml
Brizgalka Melphalan 0.1 mg/ml
Natrijev klorid 0,9% 169
Združljivo
Brizgalka Netilmicin sulfate 1 mg/ml
Brizgalka Metronidazole 5 mg/ml
Natrijev klorid 0,9% 958
Združljivo
Brizgalka Netilmicin sulfate
Brizgalka Metronidazole
3594
Združljivo
Brizgalka Netilmicin sulfate 1.4 mg/ml
Brizgalka Metronidazole 5 mg/ml
Nobeden 1035
Združljivo
Brizgalka Netilmicin sulfate 3 mg/ml
Brizgalka Neostigmine methylsulfate 0.04 mg/ml
Glukoza 5% 1200
Združljivo
Brizgalka Netilmicin sulfate 3 mg/ml
Brizgalka Neostigmine methylsulfate 0.04 mg/ml
Natrijev klorid 0,9% 1200
Združljivo
Brizgalka Netilmicin sulfate 3 mg/ml
Brizgalka Norepinephrine bitartrate 0.064 mg/ml
Natrijev klorid 0,9% 1200
Združljivo
Brizgalka Netilmicin sulfate 3 mg/ml
Brizgalka Norepinephrine bitartrate 0.064 mg/ml
Glukoza 5% 1200
Združljivo
Brizgalka Netilmicin sulfate 3 mg/ml
Brizgalka Oxytocin
Glukoza 5% 1200
Združljivo
Brizgalka Netilmicin sulfate 3 mg/ml
Brizgalka Oxytocin
Natrijev klorid 0,9% 1200
Združljivo
Brizgalka Netilmicin sulfate 3 mg/ml
Brizgalka Phytomenadione 0.1 mg/ml
Natrijev klorid 0,9% 1200
Združljivo
Brizgalka Netilmicin sulfate 3 mg/ml
Brizgalka Phytomenadione 0.1 mg/ml
Glukoza 5% 1200
Kemijska nestabilnost Nezdružljivo
Brizgalka Netilmicin sulfate
Brizgalka Piperacillin sodium / tazobactam
3586
Združljivo
Brizgalka Netilmicin sulfate 3 mg/ml
Brizgalka Potassium chloride
Glukoza 5% 1200
Združljivo
Brizgalka Netilmicin sulfate 3 mg/ml
Brizgalka Potassium chloride
Natrijev klorid 0,9% 1200
Združljivo
Brizgalka Netilmicin sulfate 3 mg/ml
Brizgalka Procainamide hydrochloride 4 mg/ml
Natrijev klorid 0,9% 1200
Združljivo
Brizgalka Netilmicin sulfate 3 mg/ml
Brizgalka Procainamide hydrochloride 4 mg/ml
Glukoza 5% 1200
Združljivo
Brizgalka Netilmicin sulfate 3 mg/ml
Brizgalka Promethazine hydrochloride 0.1 mg/ml
Glukoza 5% 1200
Združljivo
Brizgalka Netilmicin sulfate 3 mg/ml
Brizgalka Promethazine hydrochloride 0.1 mg/ml
Natrijev klorid 0,9% 1200
Takoj padavine Nezdružljivo
Brizgalka Netilmicin sulfate 5 mg/ml
Brizgalka Propofol 10 mg/ml
Nobeden 300
Združljivo
Brizgalka Netilmicin sulfate 1 mg/ml
Brizgalka Ranitidine hydrochloride 0,5 mg/ml
Natrijev klorid 0,9% 958
Združljivo
Brizgalka Netilmicin sulfate 5 mg/ml
Brizgalka Remifentanil hydrochloride 25 & 250 µg/ml
Natrijev klorid 0,9% 59
Združljivo
Brizgalka Netilmicin sulfate 5 mg/ml
Brizgalka Sargramostim 10 µg/ml
Natrijev klorid 0,9% 335
Združljivo
Brizgalka Netilmicin sulfate 5 mg/ml
Brizgalka Thiotepa 1 mg/ml
Glukoza 5% 249
Združljivo
Brizgalka Netilmicin sulfate 3 mg/ml
Brizgalka Triflupromazine hydrochloride 0.4 mg/ml
Glukoza 5% 1200
Združljivo
Brizgalka Netilmicin sulfate 5 mg/ml
Brizgalka Vinorelbine tartrate 1 mg/ml
Natrijev klorid 0,9% 84
Združljivo
Brizgalka Netilmicin sulfate
Natrijev klorid 0,9% 421
Nedoločena nezdružljivost Nezdružljivo
Brizgalka Netilmicin sulfate
Brizgalka Teicoplanine
3656
Nedoločena nezdružljivost Nezdružljivo
Brizgalka Netilmicin sulfate
Brizgalka Temocilline
2296
Združljivo
Brizgalka Netilmicin sulfate 5 mg/ml
Brizgalka Teniposide 0.1 mg/ml
Glukoza 5% 905
Kemijska nestabilnost Nezdružljivo
Brizgalka Netilmicin sulfate
Brizgalka Ticarcillin / clavulanic acid
3587
Združljivo
Brizgalka Netilmicin sulfate 3 mg/ml
Brizgalka Triflupromazine hydrochloride 0.4 mg/ml
Natrijev klorid 0,9% 1200

  Mentions Légales