Pēdējā atjaunošana :
18/03/2026
Antibiotika   Netilmicin sulfate  
Injekcija
Aerosols
Šķīduma stabilitāte Maisījuma stabilitāte Stabilitāti ietekmējoši faktori Saderība Levadīšanas veids Literatūras saraksts pdf
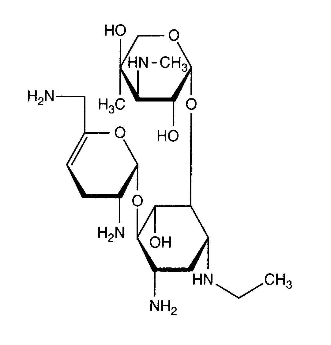
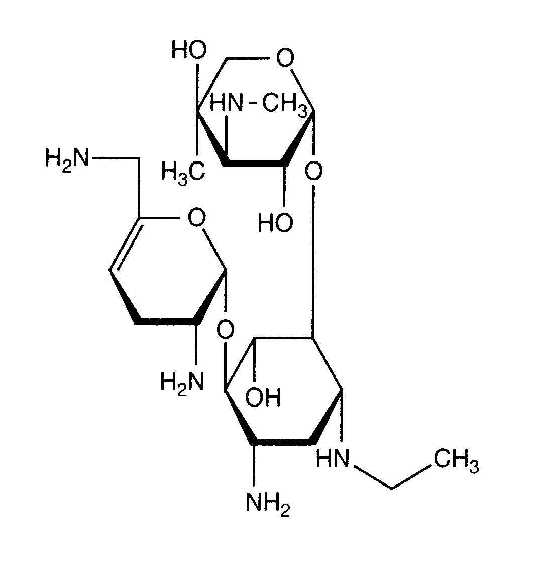
   Ķīmiskā uzbūve   

Oriģinālais nosaukums   Oriģinālais nosaukums     

Tirdzniecības nosaukumi ir apzīmējoši un palīgvielas var atšķirties dažādām valstīm un laboratorijām

Bactob Indija
Beltob Indija
Bramicil Itālija
Brulamycin Ungārija
Eltol Indija
Fytobra Indija
Gernebcin Vācija
Komitub Indija
Nebcin Apvienotie Arābu Emirāti, Austrālija, Ēģipte, Grieķija, Jaunzēlande, Lielbritānija, Saūda Arābija
Nebcina Dānija, Maroka, Norvēģija, Zviedrija
Nebcine Maroka
Nebicina Itālija
Netilyn Somija, Zviedrija
Netromicina Portugāle
Netromicine Francija
Netromycine Grieķija, krievu, Polija, Turcija
Nettacin Itālija
Obracin Beļģija, Holande, Luksemburga, Šveice
Tobra Vācija
Tobra Alex Ēģipte
Tobra Day Jaunzēlande
Tobra Gobens Spānija
Tobracin Ēģipte
Tobradistin Spānija
Tobramicina Itālija, Portugāle, Spānija, Venecuēla
Tobramina Brazīlija
Tobramycin Amerikas Savienotās Valstis, Austrālija, Īrija, Kanāda, Lielbritānija, Norvēģija, Saūda Arābija, Vācija
Tobramycine Francija, Holande, Īrija
Tobrasix Austrija
Tobrazid Vācija
Tomycin Somija
Zetamicin Itālija
Saderība   Injekcija   Saderība : Netilmicin sulfate              
Šī tabula parāda zāļu saderību vai nesaderību, pēc iespējas arī nesaderības tipu (precipitācija, krāsas maiņa, emulsijas sadalīšanās utt). Parādītas šeit saderības ir pārsvarā tikai fizikālās, pēc iespējas tiek parādīta ķīmiskā stabilitāte katrai molekulai. Šo maisījumu analīze tikai veikta, lai izprastu iespējamību ievadīt zāles Y-savienojuma vietā sistēmā pacientam. Šie dati nevar tikt izmantoti, lai pagatavot zāļu maisījumus vēlākai lietošanai maisos vai šļircēs. Šī informācija ir pieejama sadaļā "Maisījuma stabilitāte".
Savienojums Šķīdinātājs Literatūras saraksts
Nokrišņi pēc 1 stundas Nesavienojams
Injekcija Netilmicin sulfate 5 mg/ml
Injekcija Allopurinol sodium 3 mg/ml
Nātrija hlorīds 0.9% 307
Savietojams
Injekcija Netilmicin sulfate 3 mg/ml
NaHCO3 1200
Savietojams
Injekcija Netilmicin sulfate 5 mg/ml
Injekcija Amifostine 10 mg/ml
5% glikoze 3
Savietojams
Injekcija Netilmicin sulfate 3 mg/ml
Injekcija Aminocaproic acid 10 mg/ml
Nātrija hlorīds 0.9% 1200
Savietojams
Injekcija Netilmicin sulfate 3 mg/ml
Injekcija Aminocaproic acid 10 mg/ml
5% glikoze 1200
Savietojams
Injekcija Netilmicin sulfate 5 mg/ml
Injekcija Aminophylline 0,8 mg/ml
0.45% NaCl 5% glikoze 1236
Ķīmiskā nestabilitāte Nesavienojams
Injekcija Netilmicin sulfate
Injekcija Amoxicillin sodium
3527
Neprecizēta nesaderība Nesavienojams
Injekcija Netilmicin sulfate
Injekcija Amoxicillin sodium / clavulanic acid
3545
Tūlītēji nokrišņi Nesavienojams
Injekcija Netilmicin sulfate 5 mg/ml
Injekcija Amphotericin B cholesteryl sulfate complex 0,83 mg/ml
5% glikoze 921
Savietojams
Injekcija Netilmicin sulfate 3 mg/ml
Injekcija Atropine sulfate 0.04 mg/ml
Nātrija hlorīds 0.9% 1200
Savietojams
Injekcija Netilmicin sulfate 3 mg/ml
Injekcija Atropine sulfate 0.04 mg/ml
5% glikoze 1200
Savietojams
Injekcija Netilmicin sulfate 5 mg/ml
Injekcija Aztreonam 40 mg/ml
5% glikoze 99
Savietojams
Injekcija Netilmicin sulfate 5 mg/ml
Injekcija Calcium gluconate 40 mg/ml
0.45% NaCl 5% glikoze 1236
Neprecizēta nesaderība Nesavienojams
Injekcija Netilmicin sulfate
Injekcija Calcium gluconate
3644
Nesavienojams
Injekcija Netilmicin sulfate
Injekcija Calcium gluconate
4964
Neprecizēta nesaderība Nesavienojams
Injekcija Netilmicin sulfate
Injekcija Cefamandole nafate
3546
Neprecizēta nesaderība Nesavienojams
Injekcija Netilmicin sulfate
Injekcija Cefepime dihydrochloride
3548
Neprecizēta nesaderība Nesavienojams
Injekcija Netilmicin sulfate
Injekcija Cefoperazone sodium
3544
Neprecizēta nesaderība Nesavienojams
Injekcija Netilmicin sulfate
Injekcija Ceftazidime
3883
Neprecizēta nesaderība Nesavienojams
Injekcija Netilmicin sulfate
Injekcija Ceftazidime
3543
Neprecizēta nesaderība Nesavienojams
Injekcija Netilmicin sulfate
Injekcija Ceftriaxone disodium
3523
Neprecizēta nesaderība Nesavienojams
Injekcija Netilmicin sulfate
Injekcija Cefuroxime sodium
3687
Savietojams
Injekcija Netilmicin sulfate 3 mg/ml
Injekcija Chlorpromazine hydrochloride 0.1 mg/ml
5% glikoze 1200
Savietojams
Injekcija Netilmicin sulfate 3 mg/ml
Injekcija Chlorpromazine hydrochloride 0.1 mg/ml
Nātrija hlorīds 0.9% 1200
Savietojams
Injekcija Netilmicin sulfate 2,5 mg/ml
Injekcija Ciprofloxacin lactate 2 mg/ml
Nātrija hlorīds 0.9% 289
Savietojams
Injekcija Netilmicin sulfate 5 mg/ml
Injekcija Cisatracurium besylate 0.1 >> 5 mg/ml
5% glikoze 299
Ķīmiskā nestabilitāte Nesavienojams
Injekcija Netilmicin sulfate
Injekcija Cisplatin
3578
Savietojams
Injekcija Netilmicin sulfate 3 mg/ml
Injekcija Clindamycin phosphate 9 mg/ml
Nātrija hlorīds 0.9% 421
Savietojams
Injekcija Netilmicin sulfate 3 mg/ml
Injekcija Clindamycin phosphate 9 mg/ml
5% glikoze 421
Savietojams
Injekcija Netilmicin sulfate
Injekcija Clindamycin phosphate
5% glikoze 3526
Savietojams
Injekcija Netilmicin sulfate
Injekcija Clindamycin phosphate
Nātrija hlorīds 0.9% 3526
Savietojams
Injekcija Netilmicin sulfate 3 mg/ml
Injekcija Dexamethasone sodium phosphate 0.08 mg/ml
Nātrija hlorīds 0.9% 1200
Savietojams
Injekcija Netilmicin sulfate 3 mg/ml
Injekcija Dexamethasone sodium phosphate 0.08 mg/ml
5% glikoze 1200
Savietojams
Injekcija Netilmicin sulfate 3 mg/ml
Injekcija Diazepam 0.04 mg/ml
Nātrija hlorīds 0.9% 1200
Savietojams
Injekcija Netilmicin sulfate 3 mg/ml
Injekcija Diphenhydramine hydrochloride 0.4 mg/ml
Nātrija hlorīds 0.9% 1200
Nesavienojams
Injekcija Netilmicin sulfate
5% glikoze 421
Savietojams
Injekcija Netilmicin sulfate 3 mg/ml
Injekcija Diazepam 0.04 mg/ml
5% glikoze 1200
Savietojams
Injekcija Netilmicin sulfate 3 mg/ml
Injekcija Diphenhydramine hydrochloride 0.4 mg/ml
5% glikoze 1200
Savietojams
Injekcija Netilmicin sulfate 5 mg/ml
Injekcija Docetaxel 0.9 mg/ml
5% glikoze 1754
Savietojams
Injekcija Netilmicin sulfate 5 mg/ml
Injekcija Doxorubicin hydrochloride liposome peg 0.4 mg/ml
5% glikoze 251
Neprecizēta nesaderība Nesavienojams
Injekcija Netilmicin sulfate
Injekcija Erythromycin lactobionate
3674
Savietojams
Injekcija Netilmicin sulfate 5 mg/ml
Injekcija Etoposide phosphate 5 mg/ml
5% glikoze 1410
Savietojams
Injekcija Netilmicin sulfate 5 mg/ml
Injekcija Filgrastim 30 µg/ml
5% glikoze 244
Tūlītēji nokrišņi Nesavienojams
Injekcija Netilmicin sulfate
Injekcija Flucloxacillin sodium
3522
Savietojams
Injekcija Netilmicin sulfate 5 mg/ml
Injekcija Fludarabine phosphate 1 mg/ml
5% glikoze 492
Tūlītēji nokrišņi Nesavienojams
Injekcija Netilmicin sulfate 1,5 mg/ml
Injekcija Furosemide 0,4 mg/ml
5% glikoze 367
Tūlītēji nokrišņi Nesavienojams
Injekcija Netilmicin sulfate 1,5 mg/ml
Injekcija Furosemide 0,4 mg/ml
Nātrija hlorīds 0.9% 367
Savietojams
Injekcija Netilmicin sulfate 5 mg/ml
Injekcija Gemcitabine hydrochloride 10 mg/ml
Nātrija hlorīds 0.9% 1423
Savietojams
Injekcija Netilmicin sulfate 5 mg/ml
Injekcija Granisetron hydrochloride 0.05 mg/ml
5% glikoze 182
Tūlītēji nokrišņi Nesavienojams
Injekcija Netilmicin sulfate
Injekcija Heparin sodium
1022
Neprecizēta nesaderība Nesavienojams
Injekcija Netilmicin sulfate
Injekcija Heparin sodium
3540
Savietojams
Injekcija Netilmicin sulfate 3 mg/ml
Injekcija Hydrocortisone sodium succinate 0.8 mg/ml
Nātrija hlorīds 0.9% 1200
Savietojams
Injekcija Netilmicin sulfate 5 mg/ml
Parenterāla barošana (lipīdu-free) 301
Savietojams
Injekcija Netilmicin sulfate 50 & 100 mg/ml
Parenterāla barošana (lipīdu-free) 999
Savietojams
Injekcija Netilmicin sulfate 5 mg/ml
Parenterāla barošana (ar lipīdiem) 1415
Savietojams
Injekcija Netilmicin sulfate
Ringera laktāta šķīdums 1200
Savietojams
Injekcija Netilmicin sulfate 3 mg/ml
Injekcija Hydrocortisone sodium succinate 0.8 mg/ml
5% glikoze 1200
Savietojams
Injekcija Netilmicin sulfate 3 mg/ml
Injekcija Iron dextran
5% glikoze 1200
Savietojams
Injekcija Netilmicin sulfate 3 mg/ml
Injekcija Iron dextran
Nātrija hlorīds 0.9% 1200
Savietojams
Injekcija Netilmicin sulfate 3 mg/ml
Injekcija Isoprenaline hydrochloride 0.4 mg/ml
5% glikoze 1200
Savietojams
Injekcija Netilmicin sulfate 3 mg/ml
Injekcija Isoprenaline hydrochloride 0.4 mg/ml
Nātrija hlorīds 0.9% 1200
Savietojams
Injekcija Netilmicin sulfate 5 mg/ml
Injekcija Linezolid 2 mg/ml
Nekāds 1925
Savietojams
Injekcija Netilmicin sulfate 5 mg/ml
Injekcija Melphalan 0.1 mg/ml
Nātrija hlorīds 0.9% 169
Savietojams
Injekcija Netilmicin sulfate 1 mg/ml
Injekcija Metronidazole 5 mg/ml
Nātrija hlorīds 0.9% 958
Savietojams
Injekcija Netilmicin sulfate
Injekcija Metronidazole
3594
Savietojams
Injekcija Netilmicin sulfate 1.4 mg/ml
Injekcija Metronidazole 5 mg/ml
Nekāds 1035
Savietojams
Injekcija Netilmicin sulfate 3 mg/ml
Injekcija Neostigmine methylsulfate 0.04 mg/ml
5% glikoze 1200
Savietojams
Injekcija Netilmicin sulfate 3 mg/ml
Injekcija Neostigmine methylsulfate 0.04 mg/ml
Nātrija hlorīds 0.9% 1200
Savietojams
Injekcija Netilmicin sulfate 3 mg/ml
Injekcija Norepinephrine bitartrate 0.064 mg/ml
Nātrija hlorīds 0.9% 1200
Savietojams
Injekcija Netilmicin sulfate 3 mg/ml
Injekcija Norepinephrine bitartrate 0.064 mg/ml
5% glikoze 1200
Savietojams
Injekcija Netilmicin sulfate 3 mg/ml
Injekcija Oxytocin
5% glikoze 1200
Savietojams
Injekcija Netilmicin sulfate 3 mg/ml
Injekcija Oxytocin
Nātrija hlorīds 0.9% 1200
Savietojams
Injekcija Netilmicin sulfate 3 mg/ml
Injekcija Phytomenadione 0.1 mg/ml
Nātrija hlorīds 0.9% 1200
Savietojams
Injekcija Netilmicin sulfate 3 mg/ml
Injekcija Phytomenadione 0.1 mg/ml
5% glikoze 1200
Ķīmiskā nestabilitāte Nesavienojams
Injekcija Netilmicin sulfate
Injekcija Piperacillin sodium / tazobactam
3586
Savietojams
Injekcija Netilmicin sulfate 3 mg/ml
Injekcija Potassium chloride
5% glikoze 1200
Savietojams
Injekcija Netilmicin sulfate 3 mg/ml
Injekcija Potassium chloride
Nātrija hlorīds 0.9% 1200
Savietojams
Injekcija Netilmicin sulfate 3 mg/ml
Injekcija Procainamide hydrochloride 4 mg/ml
Nātrija hlorīds 0.9% 1200
Savietojams
Injekcija Netilmicin sulfate 3 mg/ml
Injekcija Procainamide hydrochloride 4 mg/ml
5% glikoze 1200
Savietojams
Injekcija Netilmicin sulfate 3 mg/ml
Injekcija Promethazine hydrochloride 0.1 mg/ml
5% glikoze 1200
Savietojams
Injekcija Netilmicin sulfate 3 mg/ml
Injekcija Promethazine hydrochloride 0.1 mg/ml
Nātrija hlorīds 0.9% 1200
Tūlītēji nokrišņi Nesavienojams
Injekcija Netilmicin sulfate 5 mg/ml
Injekcija Propofol 10 mg/ml
Nekāds 300
Savietojams
Injekcija Netilmicin sulfate 1 mg/ml
Injekcija Ranitidine hydrochloride 0,5 mg/ml
Nātrija hlorīds 0.9% 958
Savietojams
Injekcija Netilmicin sulfate 5 mg/ml
Injekcija Remifentanil hydrochloride 25 & 250 µg/ml
Nātrija hlorīds 0.9% 59
Savietojams
Injekcija Netilmicin sulfate 5 mg/ml
Injekcija Sargramostim 10 µg/ml
Nātrija hlorīds 0.9% 335
Savietojams
Injekcija Netilmicin sulfate 5 mg/ml
Injekcija Thiotepa 1 mg/ml
5% glikoze 249
Savietojams
Injekcija Netilmicin sulfate 3 mg/ml
Injekcija Triflupromazine hydrochloride 0.4 mg/ml
5% glikoze 1200
Savietojams
Injekcija Netilmicin sulfate 5 mg/ml
Injekcija Vinorelbine tartrate 1 mg/ml
Nātrija hlorīds 0.9% 84
Savietojams
Injekcija Netilmicin sulfate
Nātrija hlorīds 0.9% 421
Neprecizēta nesaderība Nesavienojams
Injekcija Netilmicin sulfate
Injekcija Teicoplanine
3656
Neprecizēta nesaderība Nesavienojams
Injekcija Netilmicin sulfate
Injekcija Temocilline
2296
Savietojams
Injekcija Netilmicin sulfate 5 mg/ml
Injekcija Teniposide 0.1 mg/ml
5% glikoze 905
Ķīmiskā nestabilitāte Nesavienojams
Injekcija Netilmicin sulfate
Injekcija Ticarcillin / clavulanic acid
3587
Savietojams
Injekcija Netilmicin sulfate 3 mg/ml
Injekcija Triflupromazine hydrochloride 0.4 mg/ml
Nātrija hlorīds 0.9% 1200

  Mentions Légales