Poslední aktualizace :
18/03/2026
Antibiotikum   Netilmicin sulfate  
injekce
Aerosol
Stabilita roztoků Stabilita směsí Faktory ovlivňující stabilitu Kompatibilita Způsoby aplikace Odkazy pdf
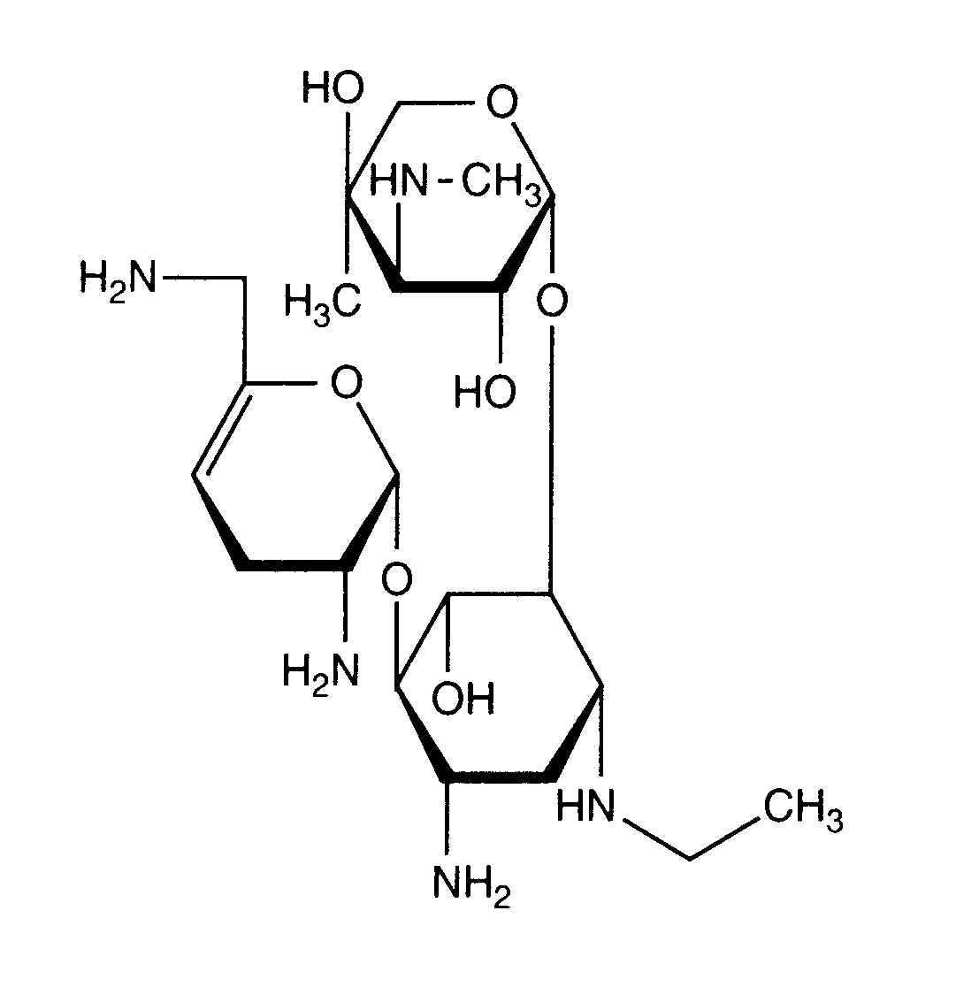
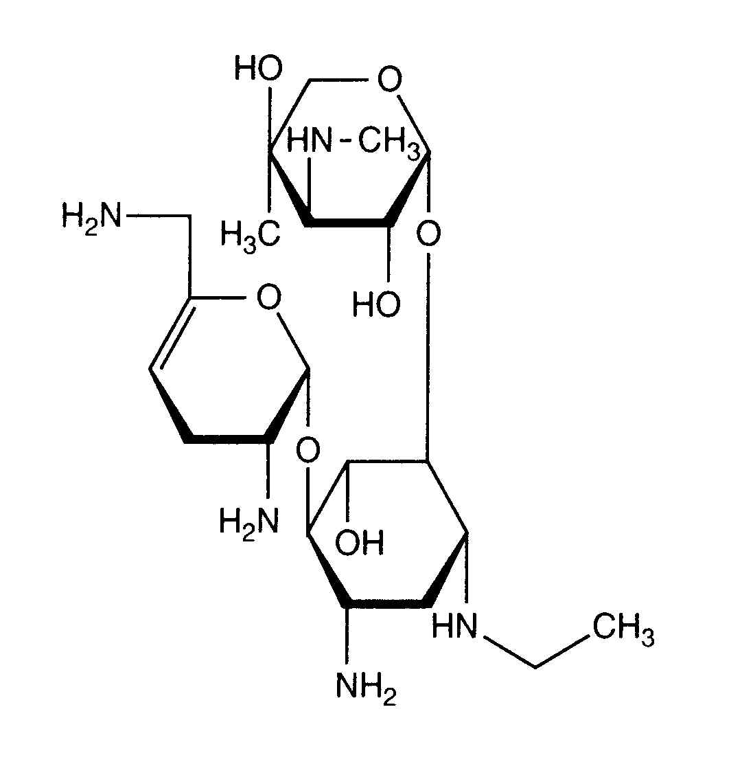
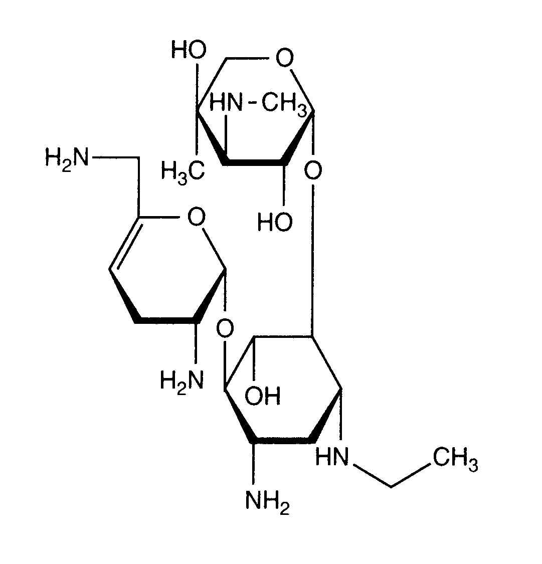
   Chemický vzorec  

Obchodní název   Obchodní název     

Trade names are indicative and excipients composition can be different depending on the country and manufacturers

Bactob Indie
Beltob Indie
Bramicil Itálie
Brulamycin MaÔarsko
Eltol Indie
Fytobra Indie
Gernebcin NÏmecko
Komitub Indie
Nebcin Austrálie, Egypt, nový Zéland, Saúdská Arábie, Spojené arabské emiráty, Velká Británie, ÿecko
Nebcina Dánsko, Maroko, Norsko, Švédsko
Nebcine Maroko
Nebicina Itálie
Netilyn Finsko, Švédsko
Netromicina Portugalsko
Netromicine Francie
Netromycine Polsko, rusky, Turecko, ÿecko
Nettacin Itálie
Obracin Belgie, Lucembursko, Nizozemsko, Švýcarsko
Tobra NÏmecko
Tobra Alex Egypt
Tobra Day nový Zéland
Tobra Gobens äpanÏlsko
Tobracin Egypt
Tobradistin äpanÏlsko
Tobramicina äpanÏlsko, Itálie, Portugalsko, Venezuela
Tobramina BrazÌlie
Tobramycin Austrálie, Irsko, Kanada, NÏmecko, Norsko, Saúdská Arábie, USA, Velká Británie
Tobramycine Francie, Irsko, Nizozemsko
Tobrasix Rakousko
Tobrazid NÏmecko
Tomycin Finsko
Zetamicin Itálie
Kompatibilita   injekce   Kompatibilita : Netilmicin sulfate              
Tato obrazovka ukazuje kompatibilitu nebo nekompatibilitu s, v tomto případě, typem nekompatibility (srážení, změna barvy, modifikace emulze atd.). Zde uvedené kompatibility jsou většinou pouze fyzikální, přičemž chemická stabilita každé molekuly je zřídka hodnocena. Hodnocení těchto směsí bylo studováno, aby se zvážila možnost podání Y-místa pacientovi. Tyto údaje nelze použít k přípravě směsí předem v pytlích nebo stříkačkách. Tento typ informací je k dispozici na obrazovce „Stabilita ve směsi“.
SlouËenina RozpouötÏdlo Odkazy
Srážky po 1 hodině Nekompatibilní
injekce Netilmicin sulfate 5 mg/ml
injekce Allopurinol sodium 3 mg/ml
Chlorid sodný 0,9% 307
Kompatibilní
injekce Netilmicin sulfate 3 mg/ml
NaHCO3 1200
Kompatibilní
injekce Netilmicin sulfate 5 mg/ml
injekce Amifostine 10 mg/ml
GlukÛza 5% 3
Kompatibilní
injekce Netilmicin sulfate 3 mg/ml
injekce Aminocaproic acid 10 mg/ml
Chlorid sodný 0,9% 1200
Kompatibilní
injekce Netilmicin sulfate 3 mg/ml
injekce Aminocaproic acid 10 mg/ml
GlukÛza 5% 1200
Kompatibilní
injekce Netilmicin sulfate 5 mg/ml
injekce Aminophylline 0,8 mg/ml
NaCl 0,45% GlukÛza 5% 1236
Chemická nestabilita Nekompatibilní
injekce Netilmicin sulfate
injekce Amoxicillin sodium
3527
Nespecifikovaná nekompatibilita Nekompatibilní
injekce Netilmicin sulfate
injekce Amoxicillin sodium / clavulanic acid
3545
Okamžité srážení Nekompatibilní
injekce Netilmicin sulfate 5 mg/ml
injekce Amphotericin B cholesteryl sulfate complex 0,83 mg/ml
GlukÛza 5% 921
Kompatibilní
injekce Netilmicin sulfate 3 mg/ml
injekce Atropine sulfate 0.04 mg/ml
Chlorid sodný 0,9% 1200
Kompatibilní
injekce Netilmicin sulfate 3 mg/ml
injekce Atropine sulfate 0.04 mg/ml
GlukÛza 5% 1200
Kompatibilní
injekce Netilmicin sulfate 5 mg/ml
injekce Aztreonam 40 mg/ml
GlukÛza 5% 99
Kompatibilní
injekce Netilmicin sulfate 5 mg/ml
injekce Calcium gluconate 40 mg/ml
NaCl 0,45% GlukÛza 5% 1236
Nespecifikovaná nekompatibilita Nekompatibilní
injekce Netilmicin sulfate
injekce Calcium gluconate
3644
Nekompatibilní
injekce Netilmicin sulfate
injekce Calcium gluconate
4964
Nespecifikovaná nekompatibilita Nekompatibilní
injekce Netilmicin sulfate
injekce Cefamandole nafate
3546
Nespecifikovaná nekompatibilita Nekompatibilní
injekce Netilmicin sulfate
injekce Cefepime dihydrochloride
3548
Nespecifikovaná nekompatibilita Nekompatibilní
injekce Netilmicin sulfate
injekce Cefoperazone sodium
3544
Nespecifikovaná nekompatibilita Nekompatibilní
injekce Netilmicin sulfate
injekce Ceftazidime
3883
Nespecifikovaná nekompatibilita Nekompatibilní
injekce Netilmicin sulfate
injekce Ceftazidime
3543
Nespecifikovaná nekompatibilita Nekompatibilní
injekce Netilmicin sulfate
injekce Ceftriaxone disodium
3523
Nespecifikovaná nekompatibilita Nekompatibilní
injekce Netilmicin sulfate
injekce Cefuroxime sodium
3687
Kompatibilní
injekce Netilmicin sulfate 3 mg/ml
injekce Chlorpromazine hydrochloride 0.1 mg/ml
GlukÛza 5% 1200
Kompatibilní
injekce Netilmicin sulfate 3 mg/ml
injekce Chlorpromazine hydrochloride 0.1 mg/ml
Chlorid sodný 0,9% 1200
Kompatibilní
injekce Netilmicin sulfate 2,5 mg/ml
injekce Ciprofloxacin lactate 2 mg/ml
Chlorid sodný 0,9% 289
Kompatibilní
injekce Netilmicin sulfate 5 mg/ml
injekce Cisatracurium besylate 0.1 >> 5 mg/ml
GlukÛza 5% 299
Chemická nestabilita Nekompatibilní
injekce Netilmicin sulfate
injekce Cisplatin
3578
Kompatibilní
injekce Netilmicin sulfate 3 mg/ml
injekce Clindamycin phosphate 9 mg/ml
Chlorid sodný 0,9% 421
Kompatibilní
injekce Netilmicin sulfate 3 mg/ml
injekce Clindamycin phosphate 9 mg/ml
GlukÛza 5% 421
Kompatibilní
injekce Netilmicin sulfate
injekce Clindamycin phosphate
GlukÛza 5% 3526
Kompatibilní
injekce Netilmicin sulfate
injekce Clindamycin phosphate
Chlorid sodný 0,9% 3526
Kompatibilní
injekce Netilmicin sulfate 3 mg/ml
injekce Dexamethasone sodium phosphate 0.08 mg/ml
Chlorid sodný 0,9% 1200
Kompatibilní
injekce Netilmicin sulfate 3 mg/ml
injekce Dexamethasone sodium phosphate 0.08 mg/ml
GlukÛza 5% 1200
Kompatibilní
injekce Netilmicin sulfate 3 mg/ml
injekce Diazepam 0.04 mg/ml
Chlorid sodný 0,9% 1200
Kompatibilní
injekce Netilmicin sulfate 3 mg/ml
injekce Diphenhydramine hydrochloride 0.4 mg/ml
Chlorid sodný 0,9% 1200
Nekompatibilní
injekce Netilmicin sulfate
GlukÛza 5% 421
Kompatibilní
injekce Netilmicin sulfate 3 mg/ml
injekce Diazepam 0.04 mg/ml
GlukÛza 5% 1200
Kompatibilní
injekce Netilmicin sulfate 3 mg/ml
injekce Diphenhydramine hydrochloride 0.4 mg/ml
GlukÛza 5% 1200
Kompatibilní
injekce Netilmicin sulfate 5 mg/ml
injekce Docetaxel 0.9 mg/ml
GlukÛza 5% 1754
Kompatibilní
injekce Netilmicin sulfate 5 mg/ml
injekce Doxorubicin hydrochloride liposome peg 0.4 mg/ml
GlukÛza 5% 251
Nespecifikovaná nekompatibilita Nekompatibilní
injekce Netilmicin sulfate
injekce Erythromycin lactobionate
3674
Kompatibilní
injekce Netilmicin sulfate 5 mg/ml
injekce Etoposide phosphate 5 mg/ml
GlukÛza 5% 1410
Kompatibilní
injekce Netilmicin sulfate 5 mg/ml
injekce Filgrastim 30 µg/ml
GlukÛza 5% 244
Okamžité srážení Nekompatibilní
injekce Netilmicin sulfate
injekce Flucloxacillin sodium
3522
Kompatibilní
injekce Netilmicin sulfate 5 mg/ml
injekce Fludarabine phosphate 1 mg/ml
GlukÛza 5% 492
Okamžité srážení Nekompatibilní
injekce Netilmicin sulfate 1,5 mg/ml
injekce Furosemide 0,4 mg/ml
GlukÛza 5% 367
Okamžité srážení Nekompatibilní
injekce Netilmicin sulfate 1,5 mg/ml
injekce Furosemide 0,4 mg/ml
Chlorid sodný 0,9% 367
Kompatibilní
injekce Netilmicin sulfate 5 mg/ml
injekce Gemcitabine hydrochloride 10 mg/ml
Chlorid sodný 0,9% 1423
Kompatibilní
injekce Netilmicin sulfate 5 mg/ml
injekce Granisetron hydrochloride 0.05 mg/ml
GlukÛza 5% 182
Okamžité srážení Nekompatibilní
injekce Netilmicin sulfate
injekce Heparin sodium
1022
Nespecifikovaná nekompatibilita Nekompatibilní
injekce Netilmicin sulfate
injekce Heparin sodium
3540
Kompatibilní
injekce Netilmicin sulfate 3 mg/ml
injekce Hydrocortisone sodium succinate 0.8 mg/ml
Chlorid sodný 0,9% 1200
Kompatibilní
injekce Netilmicin sulfate 5 mg/ml
Parenterální výživa (binární směs) 301
Kompatibilní
injekce Netilmicin sulfate 50 & 100 mg/ml
Parenterální výživa (binární směs) 999
Kompatibilní
injekce Netilmicin sulfate 5 mg/ml
Parenterální výživa (lipidy) 1415
Kompatibilní
injekce Netilmicin sulfate
RingerŐs laktátový roztok 1200
Kompatibilní
injekce Netilmicin sulfate 3 mg/ml
injekce Hydrocortisone sodium succinate 0.8 mg/ml
GlukÛza 5% 1200
Kompatibilní
injekce Netilmicin sulfate 3 mg/ml
injekce Iron dextran
GlukÛza 5% 1200
Kompatibilní
injekce Netilmicin sulfate 3 mg/ml
injekce Iron dextran
Chlorid sodný 0,9% 1200
Kompatibilní
injekce Netilmicin sulfate 3 mg/ml
injekce Isoprenaline hydrochloride 0.4 mg/ml
GlukÛza 5% 1200
Kompatibilní
injekce Netilmicin sulfate 3 mg/ml
injekce Isoprenaline hydrochloride 0.4 mg/ml
Chlorid sodný 0,9% 1200
Kompatibilní
injekce Netilmicin sulfate 5 mg/ml
injekce Linezolid 2 mg/ml
Žádné 1925
Kompatibilní
injekce Netilmicin sulfate 5 mg/ml
injekce Melphalan 0.1 mg/ml
Chlorid sodný 0,9% 169
Kompatibilní
injekce Netilmicin sulfate 1 mg/ml
injekce Metronidazole 5 mg/ml
Chlorid sodný 0,9% 958
Kompatibilní
injekce Netilmicin sulfate
injekce Metronidazole
3594
Kompatibilní
injekce Netilmicin sulfate 1.4 mg/ml
injekce Metronidazole 5 mg/ml
Žádné 1035
Kompatibilní
injekce Netilmicin sulfate 3 mg/ml
injekce Neostigmine methylsulfate 0.04 mg/ml
GlukÛza 5% 1200
Kompatibilní
injekce Netilmicin sulfate 3 mg/ml
injekce Neostigmine methylsulfate 0.04 mg/ml
Chlorid sodný 0,9% 1200
Kompatibilní
injekce Netilmicin sulfate 3 mg/ml
injekce Norepinephrine bitartrate 0.064 mg/ml
Chlorid sodný 0,9% 1200
Kompatibilní
injekce Netilmicin sulfate 3 mg/ml
injekce Norepinephrine bitartrate 0.064 mg/ml
GlukÛza 5% 1200
Kompatibilní
injekce Netilmicin sulfate 3 mg/ml
injekce Oxytocin
GlukÛza 5% 1200
Kompatibilní
injekce Netilmicin sulfate 3 mg/ml
injekce Oxytocin
Chlorid sodný 0,9% 1200
Kompatibilní
injekce Netilmicin sulfate 3 mg/ml
injekce Phytomenadione 0.1 mg/ml
Chlorid sodný 0,9% 1200
Kompatibilní
injekce Netilmicin sulfate 3 mg/ml
injekce Phytomenadione 0.1 mg/ml
GlukÛza 5% 1200
Chemická nestabilita Nekompatibilní
injekce Netilmicin sulfate
injekce Piperacillin sodium / tazobactam
3586
Kompatibilní
injekce Netilmicin sulfate 3 mg/ml
injekce Potassium chloride
GlukÛza 5% 1200
Kompatibilní
injekce Netilmicin sulfate 3 mg/ml
injekce Potassium chloride
Chlorid sodný 0,9% 1200
Kompatibilní
injekce Netilmicin sulfate 3 mg/ml
injekce Procainamide hydrochloride 4 mg/ml
Chlorid sodný 0,9% 1200
Kompatibilní
injekce Netilmicin sulfate 3 mg/ml
injekce Procainamide hydrochloride 4 mg/ml
GlukÛza 5% 1200
Kompatibilní
injekce Netilmicin sulfate 3 mg/ml
injekce Promethazine hydrochloride 0.1 mg/ml
GlukÛza 5% 1200
Kompatibilní
injekce Netilmicin sulfate 3 mg/ml
injekce Promethazine hydrochloride 0.1 mg/ml
Chlorid sodný 0,9% 1200
Okamžité srážení Nekompatibilní
injekce Netilmicin sulfate 5 mg/ml
injekce Propofol 10 mg/ml
Žádné 300
Kompatibilní
injekce Netilmicin sulfate 1 mg/ml
injekce Ranitidine hydrochloride 0,5 mg/ml
Chlorid sodný 0,9% 958
Kompatibilní
injekce Netilmicin sulfate 5 mg/ml
injekce Remifentanil hydrochloride 25 & 250 µg/ml
Chlorid sodný 0,9% 59
Kompatibilní
injekce Netilmicin sulfate 5 mg/ml
injekce Sargramostim 10 µg/ml
Chlorid sodný 0,9% 335
Kompatibilní
injekce Netilmicin sulfate 5 mg/ml
injekce Thiotepa 1 mg/ml
GlukÛza 5% 249
Kompatibilní
injekce Netilmicin sulfate 3 mg/ml
injekce Triflupromazine hydrochloride 0.4 mg/ml
GlukÛza 5% 1200
Kompatibilní
injekce Netilmicin sulfate 5 mg/ml
injekce Vinorelbine tartrate 1 mg/ml
Chlorid sodný 0,9% 84
Kompatibilní
injekce Netilmicin sulfate
Chlorid sodný 0,9% 421
Nespecifikovaná nekompatibilita Nekompatibilní
injekce Netilmicin sulfate
injekce Teicoplanine
3656
Nespecifikovaná nekompatibilita Nekompatibilní
injekce Netilmicin sulfate
injekce Temocilline
2296
Kompatibilní
injekce Netilmicin sulfate 5 mg/ml
injekce Teniposide 0.1 mg/ml
GlukÛza 5% 905
Chemická nestabilita Nekompatibilní
injekce Netilmicin sulfate
injekce Ticarcillin / clavulanic acid
3587
Kompatibilní
injekce Netilmicin sulfate 3 mg/ml
injekce Triflupromazine hydrochloride 0.4 mg/ml
Chlorid sodný 0,9% 1200

  Mentions Légales