Son güncelleme :
18/03/2026
Antibiyotik   Netilmicin sulfate  
Enjeksiyon
Aerosol
Çözeltilerin stabilitesi Karışımlardaki stabilitesi Stabiliteyi etkileyen faktörler Uyumluluk Uygulama yöntemi Kaynaklar pdf
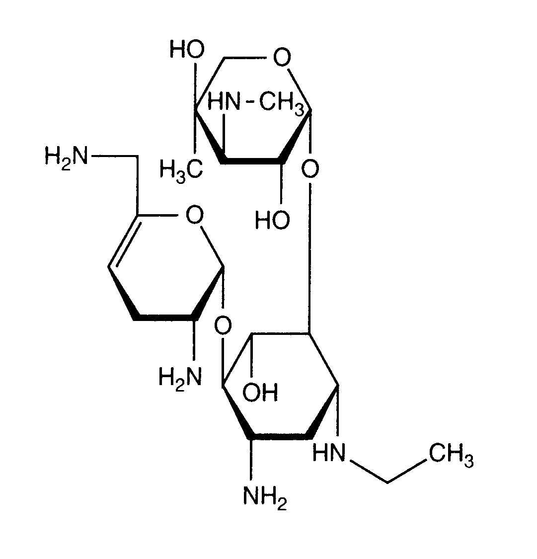
   Kimyasal yapı   

Ticari isim   Ticari isim     

Trade names are indicative and excipients composition can be different depending on the country and manufacturers

Bactob Hindistan
Beltob Hindistan
Bramicil İtalya
Brulamycin Macaristan
Eltol Hindistan
Fytobra Hindistan
Gernebcin Almanya
Komitub Hindistan
Nebcin Avustralya, Birleşik Arap Emirlikleri, Büyük Britanya, Mısır, Suudi Arabistan, yeni Zelanda, Yunanistan
Nebcina Danimarka, Fas, İsveç, Norveç
Nebcine Fas
Nebicina İtalya
Netilyn Finlandiya, İsveç
Netromicina Portekiz
Netromicine Fransa
Netromycine Polonya, rusça, Türkiye, Yunanistan
Nettacin İtalya
Obracin Belçika, Hollanda, İsviçre, Lüksemburg
Tobra Almanya
Tobra Alex Mısır
Tobra Day yeni Zelanda
Tobra Gobens İspanya
Tobracin Mısır
Tobradistin İspanya
Tobramicina İspanya, İtalya, Portekiz, Venezuela
Tobramina Brezilya
Tobramycin Almanya, Amerika Birleşik Devletleri, Avustralya, Büyük Britanya, İrlanda, Kanada, Norveç, Suudi Arabistan
Tobramycine Fransa, Hollanda, İrlanda
Tobrasix Avusturya
Tobrazid Almanya
Tomycin Finlandiya
Zetamicin İtalya
Uyumluluk   Enjeksiyon    Uyumluluk : Netilmicin sulfate              
Bu ekran, bu durumda uyumsuzluk tipiyle (çökelme, renk değişimi, bir emülsiyonun modifikasyonu, vb.) Uyumlulukları veya uyumsuzlukları gösterir. Burada gösterilen uyumluluklar çoğunlukla yalnızca fizikseldir ve her molekülün kimyasal stabilitesi nadiren değerlendirilir. Bu karışımların değerlendirilmesi, hastaya Y bölgesi uygulama olasılığını göz önünde bulundurmak için çalışıldı. Bu veriler önceden torba veya şırıngalarda karışım yapmak için kullanılamaz. Bu tür bilgiler "Karışımda stabilite" ekranında mevcuttur.
Bileşik Çözücü Kaynaklar
1 saat sonra yağış uyumsuz
Enjeksiyon Netilmicin sulfate 5 mg/ml
Enjeksiyon Allopurinol sodium 3 mg/ml
Sodyum klorür % 0,9 307
Uyumlu
Enjeksiyon Netilmicin sulfate 3 mg/ml
NaHCO3 1200
Uyumlu
Enjeksiyon Netilmicin sulfate 5 mg/ml
Enjeksiyon Amifostine 10 mg/ml
Glukoz %5 3
Uyumlu
Enjeksiyon Netilmicin sulfate 3 mg/ml
Enjeksiyon Aminocaproic acid 10 mg/ml
Sodyum klorür % 0,9 1200
Uyumlu
Enjeksiyon Netilmicin sulfate 3 mg/ml
Enjeksiyon Aminocaproic acid 10 mg/ml
Glukoz %5 1200
Uyumlu
Enjeksiyon Netilmicin sulfate 5 mg/ml
Enjeksiyon Aminophylline 0,8 mg/ml
NaCl %0,45 Glukoz %5 1236
Kimyasal kararsızlık uyumsuz
Enjeksiyon Netilmicin sulfate
Enjeksiyon Amoxicillin sodium
3527
Belirtilmemiş uyumsuzluk uyumsuz
Enjeksiyon Netilmicin sulfate
Enjeksiyon Amoxicillin sodium / clavulanic acid
3545
Acil yağış uyumsuz
Enjeksiyon Netilmicin sulfate 5 mg/ml
Enjeksiyon Amphotericin B cholesteryl sulfate complex 0,83 mg/ml
Glukoz %5 921
Uyumlu
Enjeksiyon Netilmicin sulfate 3 mg/ml
Enjeksiyon Atropine sulfate 0.04 mg/ml
Sodyum klorür % 0,9 1200
Uyumlu
Enjeksiyon Netilmicin sulfate 3 mg/ml
Enjeksiyon Atropine sulfate 0.04 mg/ml
Glukoz %5 1200
Uyumlu
Enjeksiyon Netilmicin sulfate 5 mg/ml
Enjeksiyon Aztreonam 40 mg/ml
Glukoz %5 99
Uyumlu
Enjeksiyon Netilmicin sulfate 5 mg/ml
Enjeksiyon Calcium gluconate 40 mg/ml
NaCl %0,45 Glukoz %5 1236
Belirtilmemiş uyumsuzluk uyumsuz
Enjeksiyon Netilmicin sulfate
Enjeksiyon Calcium gluconate
3644
uyumsuz
Enjeksiyon Netilmicin sulfate
Enjeksiyon Calcium gluconate
4964
Belirtilmemiş uyumsuzluk uyumsuz
Enjeksiyon Netilmicin sulfate
Enjeksiyon Cefamandole nafate
3546
Belirtilmemiş uyumsuzluk uyumsuz
Enjeksiyon Netilmicin sulfate
Enjeksiyon Cefepime dihydrochloride
3548
Belirtilmemiş uyumsuzluk uyumsuz
Enjeksiyon Netilmicin sulfate
Enjeksiyon Cefoperazone sodium
3544
Belirtilmemiş uyumsuzluk uyumsuz
Enjeksiyon Netilmicin sulfate
Enjeksiyon Ceftazidime
3883
Belirtilmemiş uyumsuzluk uyumsuz
Enjeksiyon Netilmicin sulfate
Enjeksiyon Ceftazidime
3543
Belirtilmemiş uyumsuzluk uyumsuz
Enjeksiyon Netilmicin sulfate
Enjeksiyon Ceftriaxone disodium
3523
Belirtilmemiş uyumsuzluk uyumsuz
Enjeksiyon Netilmicin sulfate
Enjeksiyon Cefuroxime sodium
3687
Uyumlu
Enjeksiyon Netilmicin sulfate 3 mg/ml
Enjeksiyon Chlorpromazine hydrochloride 0.1 mg/ml
Glukoz %5 1200
Uyumlu
Enjeksiyon Netilmicin sulfate 3 mg/ml
Enjeksiyon Chlorpromazine hydrochloride 0.1 mg/ml
Sodyum klorür % 0,9 1200
Uyumlu
Enjeksiyon Netilmicin sulfate 2,5 mg/ml
Enjeksiyon Ciprofloxacin lactate 2 mg/ml
Sodyum klorür % 0,9 289
Uyumlu
Enjeksiyon Netilmicin sulfate 5 mg/ml
Enjeksiyon Cisatracurium besylate 0.1 >> 5 mg/ml
Glukoz %5 299
Kimyasal kararsızlık uyumsuz
Enjeksiyon Netilmicin sulfate
Enjeksiyon Cisplatin
3578
Uyumlu
Enjeksiyon Netilmicin sulfate 3 mg/ml
Enjeksiyon Clindamycin phosphate 9 mg/ml
Sodyum klorür % 0,9 421
Uyumlu
Enjeksiyon Netilmicin sulfate 3 mg/ml
Enjeksiyon Clindamycin phosphate 9 mg/ml
Glukoz %5 421
Uyumlu
Enjeksiyon Netilmicin sulfate
Enjeksiyon Clindamycin phosphate
Glukoz %5 3526
Uyumlu
Enjeksiyon Netilmicin sulfate
Enjeksiyon Clindamycin phosphate
Sodyum klorür % 0,9 3526
Uyumlu
Enjeksiyon Netilmicin sulfate 3 mg/ml
Enjeksiyon Dexamethasone sodium phosphate 0.08 mg/ml
Sodyum klorür % 0,9 1200
Uyumlu
Enjeksiyon Netilmicin sulfate 3 mg/ml
Enjeksiyon Dexamethasone sodium phosphate 0.08 mg/ml
Glukoz %5 1200
Uyumlu
Enjeksiyon Netilmicin sulfate 3 mg/ml
Enjeksiyon Diazepam 0.04 mg/ml
Sodyum klorür % 0,9 1200
Uyumlu
Enjeksiyon Netilmicin sulfate 3 mg/ml
Enjeksiyon Diphenhydramine hydrochloride 0.4 mg/ml
Sodyum klorür % 0,9 1200
uyumsuz
Enjeksiyon Netilmicin sulfate
Glukoz %5 421
Uyumlu
Enjeksiyon Netilmicin sulfate 3 mg/ml
Enjeksiyon Diazepam 0.04 mg/ml
Glukoz %5 1200
Uyumlu
Enjeksiyon Netilmicin sulfate 3 mg/ml
Enjeksiyon Diphenhydramine hydrochloride 0.4 mg/ml
Glukoz %5 1200
Uyumlu
Enjeksiyon Netilmicin sulfate 5 mg/ml
Enjeksiyon Docetaxel 0.9 mg/ml
Glukoz %5 1754
Uyumlu
Enjeksiyon Netilmicin sulfate 5 mg/ml
Enjeksiyon Doxorubicin hydrochloride liposome peg 0.4 mg/ml
Glukoz %5 251
Belirtilmemiş uyumsuzluk uyumsuz
Enjeksiyon Netilmicin sulfate
Enjeksiyon Erythromycin lactobionate
3674
Uyumlu
Enjeksiyon Netilmicin sulfate 5 mg/ml
Enjeksiyon Etoposide phosphate 5 mg/ml
Glukoz %5 1410
Uyumlu
Enjeksiyon Netilmicin sulfate 5 mg/ml
Enjeksiyon Filgrastim 30 µg/ml
Glukoz %5 244
Acil yağış uyumsuz
Enjeksiyon Netilmicin sulfate
Enjeksiyon Flucloxacillin sodium
3522
Uyumlu
Enjeksiyon Netilmicin sulfate 5 mg/ml
Enjeksiyon Fludarabine phosphate 1 mg/ml
Glukoz %5 492
Acil yağış uyumsuz
Enjeksiyon Netilmicin sulfate 1,5 mg/ml
Enjeksiyon Furosemide 0,4 mg/ml
Glukoz %5 367
Acil yağış uyumsuz
Enjeksiyon Netilmicin sulfate 1,5 mg/ml
Enjeksiyon Furosemide 0,4 mg/ml
Sodyum klorür % 0,9 367
Uyumlu
Enjeksiyon Netilmicin sulfate 5 mg/ml
Enjeksiyon Gemcitabine hydrochloride 10 mg/ml
Sodyum klorür % 0,9 1423
Uyumlu
Enjeksiyon Netilmicin sulfate 5 mg/ml
Enjeksiyon Granisetron hydrochloride 0.05 mg/ml
Glukoz %5 182
Acil yağış uyumsuz
Enjeksiyon Netilmicin sulfate
Enjeksiyon Heparin sodium
1022
Belirtilmemiş uyumsuzluk uyumsuz
Enjeksiyon Netilmicin sulfate
Enjeksiyon Heparin sodium
3540
Uyumlu
Enjeksiyon Netilmicin sulfate 3 mg/ml
Enjeksiyon Hydrocortisone sodium succinate 0.8 mg/ml
Sodyum klorür % 0,9 1200
Uyumlu
Enjeksiyon Netilmicin sulfate 5 mg/ml
Parenteral beslenme (ikili karışım) 301
Uyumlu
Enjeksiyon Netilmicin sulfate 50 & 100 mg/ml
Parenteral beslenme (ikili karışım) 999
Uyumlu
Enjeksiyon Netilmicin sulfate 5 mg/ml
Parenteral beslenme (Lipidler) 1415
Uyumlu
Enjeksiyon Netilmicin sulfate
Laktatlı ringer 1200
Uyumlu
Enjeksiyon Netilmicin sulfate 3 mg/ml
Enjeksiyon Hydrocortisone sodium succinate 0.8 mg/ml
Glukoz %5 1200
Uyumlu
Enjeksiyon Netilmicin sulfate 3 mg/ml
Enjeksiyon Iron dextran
Glukoz %5 1200
Uyumlu
Enjeksiyon Netilmicin sulfate 3 mg/ml
Enjeksiyon Iron dextran
Sodyum klorür % 0,9 1200
Uyumlu
Enjeksiyon Netilmicin sulfate 3 mg/ml
Enjeksiyon Isoprenaline hydrochloride 0.4 mg/ml
Glukoz %5 1200
Uyumlu
Enjeksiyon Netilmicin sulfate 3 mg/ml
Enjeksiyon Isoprenaline hydrochloride 0.4 mg/ml
Sodyum klorür % 0,9 1200
Uyumlu
Enjeksiyon Netilmicin sulfate 5 mg/ml
Enjeksiyon Linezolid 2 mg/ml
Yok 1925
Uyumlu
Enjeksiyon Netilmicin sulfate 5 mg/ml
Enjeksiyon Melphalan 0.1 mg/ml
Sodyum klorür % 0,9 169
Uyumlu
Enjeksiyon Netilmicin sulfate 1 mg/ml
Enjeksiyon Metronidazole 5 mg/ml
Sodyum klorür % 0,9 958
Uyumlu
Enjeksiyon Netilmicin sulfate
Enjeksiyon Metronidazole
3594
Uyumlu
Enjeksiyon Netilmicin sulfate 1.4 mg/ml
Enjeksiyon Metronidazole 5 mg/ml
Yok 1035
Uyumlu
Enjeksiyon Netilmicin sulfate 3 mg/ml
Enjeksiyon Neostigmine methylsulfate 0.04 mg/ml
Glukoz %5 1200
Uyumlu
Enjeksiyon Netilmicin sulfate 3 mg/ml
Enjeksiyon Neostigmine methylsulfate 0.04 mg/ml
Sodyum klorür % 0,9 1200
Uyumlu
Enjeksiyon Netilmicin sulfate 3 mg/ml
Enjeksiyon Norepinephrine bitartrate 0.064 mg/ml
Sodyum klorür % 0,9 1200
Uyumlu
Enjeksiyon Netilmicin sulfate 3 mg/ml
Enjeksiyon Norepinephrine bitartrate 0.064 mg/ml
Glukoz %5 1200
Uyumlu
Enjeksiyon Netilmicin sulfate 3 mg/ml
Enjeksiyon Oxytocin
Glukoz %5 1200
Uyumlu
Enjeksiyon Netilmicin sulfate 3 mg/ml
Enjeksiyon Oxytocin
Sodyum klorür % 0,9 1200
Uyumlu
Enjeksiyon Netilmicin sulfate 3 mg/ml
Enjeksiyon Phytomenadione 0.1 mg/ml
Sodyum klorür % 0,9 1200
Uyumlu
Enjeksiyon Netilmicin sulfate 3 mg/ml
Enjeksiyon Phytomenadione 0.1 mg/ml
Glukoz %5 1200
Kimyasal kararsızlık uyumsuz
Enjeksiyon Netilmicin sulfate
Enjeksiyon Piperacillin sodium / tazobactam
3586
Uyumlu
Enjeksiyon Netilmicin sulfate 3 mg/ml
Enjeksiyon Potassium chloride
Glukoz %5 1200
Uyumlu
Enjeksiyon Netilmicin sulfate 3 mg/ml
Enjeksiyon Potassium chloride
Sodyum klorür % 0,9 1200
Uyumlu
Enjeksiyon Netilmicin sulfate 3 mg/ml
Enjeksiyon Procainamide hydrochloride 4 mg/ml
Sodyum klorür % 0,9 1200
Uyumlu
Enjeksiyon Netilmicin sulfate 3 mg/ml
Enjeksiyon Procainamide hydrochloride 4 mg/ml
Glukoz %5 1200
Uyumlu
Enjeksiyon Netilmicin sulfate 3 mg/ml
Enjeksiyon Promethazine hydrochloride 0.1 mg/ml
Glukoz %5 1200
Uyumlu
Enjeksiyon Netilmicin sulfate 3 mg/ml
Enjeksiyon Promethazine hydrochloride 0.1 mg/ml
Sodyum klorür % 0,9 1200
Acil yağış uyumsuz
Enjeksiyon Netilmicin sulfate 5 mg/ml
Enjeksiyon Propofol 10 mg/ml
Yok 300
Uyumlu
Enjeksiyon Netilmicin sulfate 1 mg/ml
Enjeksiyon Ranitidine hydrochloride 0,5 mg/ml
Sodyum klorür % 0,9 958
Uyumlu
Enjeksiyon Netilmicin sulfate 5 mg/ml
Enjeksiyon Remifentanil hydrochloride 25 & 250 µg/ml
Sodyum klorür % 0,9 59
Uyumlu
Enjeksiyon Netilmicin sulfate 5 mg/ml
Enjeksiyon Sargramostim 10 µg/ml
Sodyum klorür % 0,9 335
Uyumlu
Enjeksiyon Netilmicin sulfate 5 mg/ml
Enjeksiyon Thiotepa 1 mg/ml
Glukoz %5 249
Uyumlu
Enjeksiyon Netilmicin sulfate 3 mg/ml
Enjeksiyon Triflupromazine hydrochloride 0.4 mg/ml
Glukoz %5 1200
Uyumlu
Enjeksiyon Netilmicin sulfate 5 mg/ml
Enjeksiyon Vinorelbine tartrate 1 mg/ml
Sodyum klorür % 0,9 84
Uyumlu
Enjeksiyon Netilmicin sulfate
Sodyum klorür % 0,9 421
Belirtilmemiş uyumsuzluk uyumsuz
Enjeksiyon Netilmicin sulfate
Enjeksiyon Teicoplanine
3656
Belirtilmemiş uyumsuzluk uyumsuz
Enjeksiyon Netilmicin sulfate
Enjeksiyon Temocilline
2296
Uyumlu
Enjeksiyon Netilmicin sulfate 5 mg/ml
Enjeksiyon Teniposide 0.1 mg/ml
Glukoz %5 905
Kimyasal kararsızlık uyumsuz
Enjeksiyon Netilmicin sulfate
Enjeksiyon Ticarcillin / clavulanic acid
3587
Uyumlu
Enjeksiyon Netilmicin sulfate 3 mg/ml
Enjeksiyon Triflupromazine hydrochloride 0.4 mg/ml
Sodyum klorür % 0,9 1200

  Mentions Légales