Dernière mise à jour :
18/03/2026
Antibiotique   Netilmicin sulfate  
injectable
Aérosol
Stabilité des solutions Stabilité en mélange Facteur influençant la stabilité Compatibilités Voie d’administration Bibliographie pdf
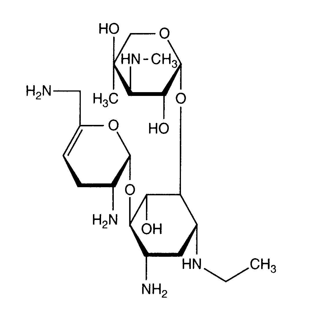
   Structure chimique  

Noms commerciaux   Noms commerciaux     

Les noms commerciaux sont donnés à titre indicatif et la composition en excipients peut être différente selon les pays et selon les laboratoires

Bactob Inde
Beltob Inde
Bramicil Italie
Brulamycin Hongrie
Eltol Inde
Fytobra Inde
Gernebcin Allemagne
Komitub Inde
Nebcin Arabie Saoudite, Australie, Egypte, Emirats Arabes Unis , Grande Bretagne, Grèce, Nouvelle Zélande
Nebcina Danemark, Maroc, Norvège, Suède
Nebcine Maroc
Nebicina Italie
Netilyn Finlande, Suède
Netromicina Portugal
Netromicine France
Netromycine Grèce, Pologne, Russie, Turquie
Nettacin Italie
Obracin Belgique, Luxembourg, Pays bas, Suisse
Tobra Allemagne
Tobra Alex Egypte
Tobra Day Nouvelle Zélande
Tobra Gobens Espagne
Tobracin Egypte
Tobradistin Espagne
Tobramicina Espagne, Italie, Portugal, Vénézuela
Tobramina Brésil
Tobramycin Allemagne, Arabie Saoudite, Australie, Canada, Etats Unis d’Amérique, Grande Bretagne, Irlande, Norvège
Tobramycine France, Irlande, Pays bas
Tobrasix Autriche
Tobrazid Allemagne
Tomycin Finlande
Zetamicin Italie
Compatibilités   injectable   Compatibilités : Netilmicin sulfate              
Cet écran indique les compatibilités ou incompatibilités avec, dans ce cas, le type d'incompatibilité (précipitation, changement de couleur, modification d'une émulsion, etc.). Les compatibilités présentées ici sont pour la plupart uniquement physiques, la stabilité chimique de chaque molécule étant rarement évaluée. L'évaluation de ces mélanges a été étudiée pour envisager la possibilité d'une administration en site Y au patient. Ces données ne peuvent pas être utilisées pour préparer des mélanges à l'avance dans des poches de perfusion ou des seringues. Ce type d'informations est disponible dans l'écran « Stabilité en mélange ».
Molécule Solvant Bibliographie
Précipitation en 1 heure Incompatible
injectable Netilmicin sulfate 5 mg/ml
injectable Allopurinol sodium 3 mg/ml
Chlorure de sodium 0,9% 307
Compatible
injectable Netilmicin sulfate 3 mg/ml
NaHCO3 1200
Compatible
injectable Netilmicin sulfate 5 mg/ml
injectable Amifostine 10 mg/ml
Glucose 5% 3
Compatible
injectable Netilmicin sulfate 3 mg/ml
injectable Aminocaproic acid 10 mg/ml
Chlorure de sodium 0,9% 1200
Compatible
injectable Netilmicin sulfate 3 mg/ml
injectable Aminocaproic acid 10 mg/ml
Glucose 5% 1200
Compatible
injectable Netilmicin sulfate 5 mg/ml
injectable Aminophylline 0,8 mg/ml
NaCl 0,45% Glucose 5% 1236
Instabilité chimique Incompatible
injectable Netilmicin sulfate
injectable Amoxicillin sodium
3527
Incompatibilité non précisée Incompatible
injectable Netilmicin sulfate
injectable Amoxicillin sodium / clavulanic acid
3545
Précipitation immédiate Incompatible
injectable Netilmicin sulfate 5 mg/ml
injectable Amphotericin B cholesteryl sulfate complex 0,83 mg/ml
Glucose 5% 921
Compatible
injectable Netilmicin sulfate 3 mg/ml
injectable Atropine sulfate 0.04 mg/ml
Chlorure de sodium 0,9% 1200
Compatible
injectable Netilmicin sulfate 3 mg/ml
injectable Atropine sulfate 0.04 mg/ml
Glucose 5% 1200
Compatible
injectable Netilmicin sulfate 5 mg/ml
injectable Aztreonam 40 mg/ml
Glucose 5% 99
Compatible
injectable Netilmicin sulfate 5 mg/ml
injectable Calcium gluconate 40 mg/ml
NaCl 0,45% Glucose 5% 1236
Incompatibilité non précisée Incompatible
injectable Netilmicin sulfate
injectable Calcium gluconate
3644
Incompatible
injectable Netilmicin sulfate
injectable Calcium gluconate
4964
Incompatibilité non précisée Incompatible
injectable Netilmicin sulfate
injectable Cefamandole nafate
3546
Incompatibilité non précisée Incompatible
injectable Netilmicin sulfate
injectable Cefepime dihydrochloride
3548
Incompatibilité non précisée Incompatible
injectable Netilmicin sulfate
injectable Cefoperazone sodium
3544
Incompatibilité non précisée Incompatible
injectable Netilmicin sulfate
injectable Ceftazidime
3883
Incompatibilité non précisée Incompatible
injectable Netilmicin sulfate
injectable Ceftazidime
3543
Incompatibilité non précisée Incompatible
injectable Netilmicin sulfate
injectable Ceftriaxone disodium
3523
Incompatibilité non précisée Incompatible
injectable Netilmicin sulfate
injectable Cefuroxime sodium
3687
Compatible
injectable Netilmicin sulfate 3 mg/ml
injectable Chlorpromazine hydrochloride 0.1 mg/ml
Glucose 5% 1200
Compatible
injectable Netilmicin sulfate 3 mg/ml
injectable Chlorpromazine hydrochloride 0.1 mg/ml
Chlorure de sodium 0,9% 1200
Compatible
injectable Netilmicin sulfate 2,5 mg/ml
injectable Ciprofloxacin lactate 2 mg/ml
Chlorure de sodium 0,9% 289
Compatible
injectable Netilmicin sulfate 5 mg/ml
injectable Cisatracurium besylate 0.1 >> 5 mg/ml
Glucose 5% 299
Instabilité chimique Incompatible
injectable Netilmicin sulfate
injectable Cisplatin
3578
Compatible
injectable Netilmicin sulfate 3 mg/ml
injectable Clindamycin phosphate 9 mg/ml
Chlorure de sodium 0,9% 421
Compatible
injectable Netilmicin sulfate 3 mg/ml
injectable Clindamycin phosphate 9 mg/ml
Glucose 5% 421
Compatible
injectable Netilmicin sulfate
injectable Clindamycin phosphate
Glucose 5% 3526
Compatible
injectable Netilmicin sulfate
injectable Clindamycin phosphate
Chlorure de sodium 0,9% 3526
Compatible
injectable Netilmicin sulfate 3 mg/ml
injectable Dexamethasone sodium phosphate 0.08 mg/ml
Chlorure de sodium 0,9% 1200
Compatible
injectable Netilmicin sulfate 3 mg/ml
injectable Dexamethasone sodium phosphate 0.08 mg/ml
Glucose 5% 1200
Compatible
injectable Netilmicin sulfate 3 mg/ml
injectable Diazepam 0.04 mg/ml
Chlorure de sodium 0,9% 1200
Compatible
injectable Netilmicin sulfate 3 mg/ml
injectable Diphenhydramine hydrochloride 0.4 mg/ml
Chlorure de sodium 0,9% 1200
Incompatible
injectable Netilmicin sulfate
Glucose 5% 421
Compatible
injectable Netilmicin sulfate 3 mg/ml
injectable Diazepam 0.04 mg/ml
Glucose 5% 1200
Compatible
injectable Netilmicin sulfate 3 mg/ml
injectable Diphenhydramine hydrochloride 0.4 mg/ml
Glucose 5% 1200
Compatible
injectable Netilmicin sulfate 5 mg/ml
injectable Docetaxel 0.9 mg/ml
Glucose 5% 1754
Compatible
injectable Netilmicin sulfate 5 mg/ml
injectable Doxorubicin hydrochloride liposome peg 0.4 mg/ml
Glucose 5% 251
Incompatibilité non précisée Incompatible
injectable Netilmicin sulfate
injectable Erythromycin lactobionate
3674
Compatible
injectable Netilmicin sulfate 5 mg/ml
injectable Etoposide phosphate 5 mg/ml
Glucose 5% 1410
Compatible
injectable Netilmicin sulfate 5 mg/ml
injectable Filgrastim 30 µg/ml
Glucose 5% 244
Précipitation immédiate Incompatible
injectable Netilmicin sulfate
injectable Flucloxacillin sodium
3522
Compatible
injectable Netilmicin sulfate 5 mg/ml
injectable Fludarabine phosphate 1 mg/ml
Glucose 5% 492
Précipitation immédiate Incompatible
injectable Netilmicin sulfate 1,5 mg/ml
injectable Furosemide 0,4 mg/ml
Glucose 5% 367
Précipitation immédiate Incompatible
injectable Netilmicin sulfate 1,5 mg/ml
injectable Furosemide 0,4 mg/ml
Chlorure de sodium 0,9% 367
Compatible
injectable Netilmicin sulfate 5 mg/ml
injectable Gemcitabine hydrochloride 10 mg/ml
Chlorure de sodium 0,9% 1423
Compatible
injectable Netilmicin sulfate 5 mg/ml
injectable Granisetron hydrochloride 0.05 mg/ml
Glucose 5% 182
Précipitation immédiate Incompatible
injectable Netilmicin sulfate
injectable Heparin sodium
1022
Incompatibilité non précisée Incompatible
injectable Netilmicin sulfate
injectable Heparin sodium
3540
Compatible
injectable Netilmicin sulfate 3 mg/ml
injectable Hydrocortisone sodium succinate 0.8 mg/ml
Chlorure de sodium 0,9% 1200
Compatible
injectable Netilmicin sulfate 5 mg/ml
Nutrition parentérale (mélange binaire) 301
Compatible
injectable Netilmicin sulfate 50 & 100 mg/ml
Nutrition parentérale (mélange binaire) 999
Compatible
injectable Netilmicin sulfate 5 mg/ml
Nutrition parentérale (mélange ternaire) 1415
Compatible
injectable Netilmicin sulfate
Ringer lactate 1200
Compatible
injectable Netilmicin sulfate 3 mg/ml
injectable Hydrocortisone sodium succinate 0.8 mg/ml
Glucose 5% 1200
Compatible
injectable Netilmicin sulfate 3 mg/ml
injectable Iron dextran
Glucose 5% 1200
Compatible
injectable Netilmicin sulfate 3 mg/ml
injectable Iron dextran
Chlorure de sodium 0,9% 1200
Compatible
injectable Netilmicin sulfate 3 mg/ml
injectable Isoprenaline hydrochloride 0.4 mg/ml
Glucose 5% 1200
Compatible
injectable Netilmicin sulfate 3 mg/ml
injectable Isoprenaline hydrochloride 0.4 mg/ml
Chlorure de sodium 0,9% 1200
Compatible
injectable Netilmicin sulfate 5 mg/ml
injectable Linezolid 2 mg/ml
Aucun 1925
Compatible
injectable Netilmicin sulfate 5 mg/ml
injectable Melphalan 0.1 mg/ml
Chlorure de sodium 0,9% 169
Compatible
injectable Netilmicin sulfate 1 mg/ml
injectable Metronidazole 5 mg/ml
Chlorure de sodium 0,9% 958
Compatible
injectable Netilmicin sulfate
injectable Metronidazole
3594
Compatible
injectable Netilmicin sulfate 1.4 mg/ml
injectable Metronidazole 5 mg/ml
Aucun 1035
Compatible
injectable Netilmicin sulfate 3 mg/ml
injectable Neostigmine methylsulfate 0.04 mg/ml
Glucose 5% 1200
Compatible
injectable Netilmicin sulfate 3 mg/ml
injectable Neostigmine methylsulfate 0.04 mg/ml
Chlorure de sodium 0,9% 1200
Compatible
injectable Netilmicin sulfate 3 mg/ml
injectable Norepinephrine bitartrate 0.064 mg/ml
Chlorure de sodium 0,9% 1200
Compatible
injectable Netilmicin sulfate 3 mg/ml
injectable Norepinephrine bitartrate 0.064 mg/ml
Glucose 5% 1200
Compatible
injectable Netilmicin sulfate 3 mg/ml
injectable Oxytocin
Glucose 5% 1200
Compatible
injectable Netilmicin sulfate 3 mg/ml
injectable Oxytocin
Chlorure de sodium 0,9% 1200
Compatible
injectable Netilmicin sulfate 3 mg/ml
injectable Phytomenadione 0.1 mg/ml
Chlorure de sodium 0,9% 1200
Compatible
injectable Netilmicin sulfate 3 mg/ml
injectable Phytomenadione 0.1 mg/ml
Glucose 5% 1200
Instabilité chimique Incompatible
injectable Netilmicin sulfate
injectable Piperacillin sodium / tazobactam
3586
Compatible
injectable Netilmicin sulfate 3 mg/ml
injectable Potassium chloride
Glucose 5% 1200
Compatible
injectable Netilmicin sulfate 3 mg/ml
injectable Potassium chloride
Chlorure de sodium 0,9% 1200
Compatible
injectable Netilmicin sulfate 3 mg/ml
injectable Procainamide hydrochloride 4 mg/ml
Chlorure de sodium 0,9% 1200
Compatible
injectable Netilmicin sulfate 3 mg/ml
injectable Procainamide hydrochloride 4 mg/ml
Glucose 5% 1200
Compatible
injectable Netilmicin sulfate 3 mg/ml
injectable Promethazine hydrochloride 0.1 mg/ml
Glucose 5% 1200
Compatible
injectable Netilmicin sulfate 3 mg/ml
injectable Promethazine hydrochloride 0.1 mg/ml
Chlorure de sodium 0,9% 1200
Précipitation immédiate Incompatible
injectable Netilmicin sulfate 5 mg/ml
injectable Propofol 10 mg/ml
Aucun 300
Compatible
injectable Netilmicin sulfate 1 mg/ml
injectable Ranitidine hydrochloride 0,5 mg/ml
Chlorure de sodium 0,9% 958
Compatible
injectable Netilmicin sulfate 5 mg/ml
injectable Remifentanil hydrochloride 25 & 250 µg/ml
Chlorure de sodium 0,9% 59
Compatible
injectable Netilmicin sulfate 5 mg/ml
injectable Sargramostim 10 µg/ml
Chlorure de sodium 0,9% 335
Compatible
injectable Netilmicin sulfate 5 mg/ml
injectable Thiotepa 1 mg/ml
Glucose 5% 249
Compatible
injectable Netilmicin sulfate 3 mg/ml
injectable Triflupromazine hydrochloride 0.4 mg/ml
Glucose 5% 1200
Compatible
injectable Netilmicin sulfate 5 mg/ml
injectable Vinorelbine tartrate 1 mg/ml
Chlorure de sodium 0,9% 84
Compatible
injectable Netilmicin sulfate
Chlorure de sodium 0,9% 421
Incompatibilité non précisée Incompatible
injectable Netilmicin sulfate
injectable Teicoplanine
3656
Incompatibilité non précisée Incompatible
injectable Netilmicin sulfate
injectable Temocilline
2296
Compatible
injectable Netilmicin sulfate 5 mg/ml
injectable Teniposide 0.1 mg/ml
Glucose 5% 905
Instabilité chimique Incompatible
injectable Netilmicin sulfate
injectable Ticarcillin / clavulanic acid
3587
Compatible
injectable Netilmicin sulfate 3 mg/ml
injectable Triflupromazine hydrochloride 0.4 mg/ml
Chlorure de sodium 0,9% 1200

  Mentions Légales