Cập nhật lần cuối :
18/03/2026
Kháng sinh   Flucloxacillin sodium  
Dạng tiêm
Tính ổn định của các dung dịch Độ ổn định khi trộn lẫn Những yếu tố ảnh hưởng đến độ ổn định Khả năng tương thích Đường dùng Tài liệu tham khảo Pdf
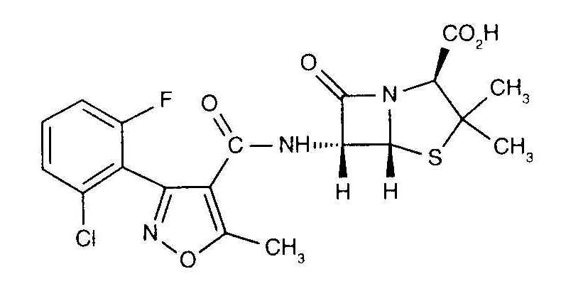
   Cấu trúc hóa học  

Tên thương mại   Tên thương mại     

Các tên thương mại được cung cấp và thành phần tá dược có thể khác nhau giữa các quốc gia và các hãng dược

Astaph Morocco
Betabiotic Ý
DBL flucloxacillin sodium Úc
Flix Thổ Nhĩ Kỳ
Floxam Morocco
Floxapen Ả Rập Saudi, Áo, Ba Lan, Bỉ, Bồ Đào Nha, Hà Lan, Hoa Kỳ, Morocco, Thụy Sỹ, Ý
Flucloxacillin Anh, Úc, Ý, Đức
Flucloxacilline Bỉ, Hà Lan, Pháp
Flucloxin new zealand
Ladropen Hoa Kỳ
Stafoxil Hà Lan
Staphylex Đức
Đường dùng   Đường dùng :Flucloxacillin sodium     
Đường dùng
Tiêm tĩnh mạch
Truyền tĩnh mạch
Tiêm bắp
Tiêm vào trong màng phổi
Tiêm nội khớp

  Mentions Légales