Ultimele actualizari :
18/03/2026
Antibiotic   Flucloxacillin sodium  
Injectabil
Stabilitatea in solutie Stabilitatea in amestec Factorii care influenteaza stabilitatea Compatibilitate Microunde Bibliografie pdf
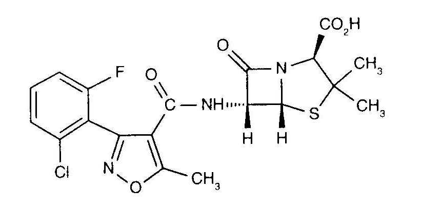
   Formula chimica  

Denumirea comerciala   Denumirea comerciala     

Trade names are indicative and excipients composition can be different depending on the country and manufacturers

Astaph Maroc
Betabiotic Italia
DBL flucloxacillin sodium Australia
Flix Turcia
Floxam Maroc
Floxapen Arabia Saudita, Austria, Belgia, Elvetia, Italia, Maroc, Olanda, Polonia, Portugalia, SUA
Flucloxacillin Australia, Germania, Italia, Marea Britanie
Flucloxacilline Belgia, Franta, Olanda
Flucloxin noua Zeelandă
Ladropen SUA
Stafoxil Olanda
Staphylex Germania
Microunde   Microunde :Flucloxacillin sodium     
Voie
Intravenos
Perfuzie intravenoasa
Intra-muscular
Intra-pleural
Intra-articular

  Mentions Légales