Son güncelleme :
18/03/2026
Antibiyotik   Flucloxacillin sodium  
Enjeksiyon
Çözeltilerin stabilitesi Karışımlardaki stabilitesi Stabiliteyi etkileyen faktörler Uyumluluk Uygulama yöntemi Kaynaklar pdf
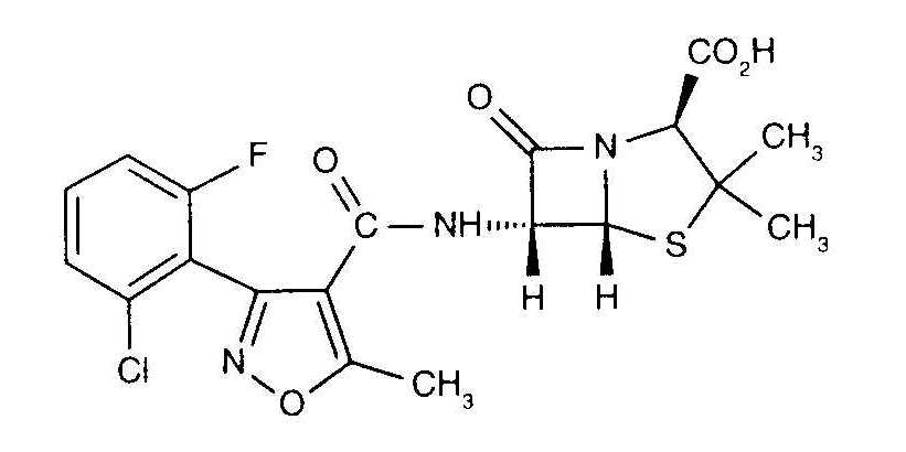
   Kimyasal yapı   

Ticari isim   Ticari isim     

Trade names are indicative and excipients composition can be different depending on the country and manufacturers

Astaph Fas
Betabiotic İtalya
DBL flucloxacillin sodium Avustralya
Flix Türkiye
Floxam Fas
Floxapen Amerika Birleşik Devletleri, Avusturya, Belçika, Fas, Hollanda, İsviçre, İtalya, Polonya, Portekiz, Suudi Arabistan
Flucloxacillin Almanya, Avustralya, Büyük Britanya, İtalya
Flucloxacilline Belçika, Fransa, Hollanda
Flucloxin yeni Zelanda
Ladropen Amerika Birleşik Devletleri
Stafoxil Hollanda
Staphylex Almanya
Uygulama yöntemi   Uygulama yöntemi :Flucloxacillin sodium     
Voie
İntravenöz
İntravenöz infüzyon
İntramüsküler
İntraplevral
İntraartiküler

  Mentions Légales