Последнее обновление :
18/03/2026
Антибиотик   Flucloxacillin sodium  
Инъекция
Стабильность растворов Стабильность смесей Факторы, которые влияют на стабильность Совместимость Способы введения Библиография pdf
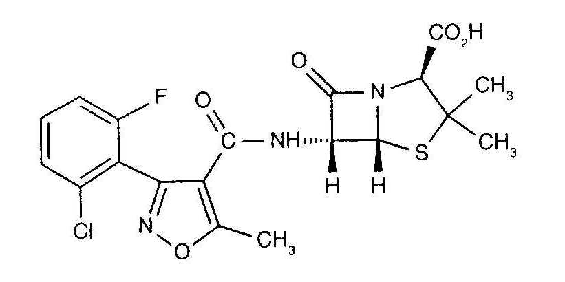
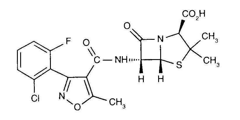
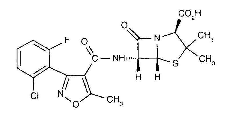
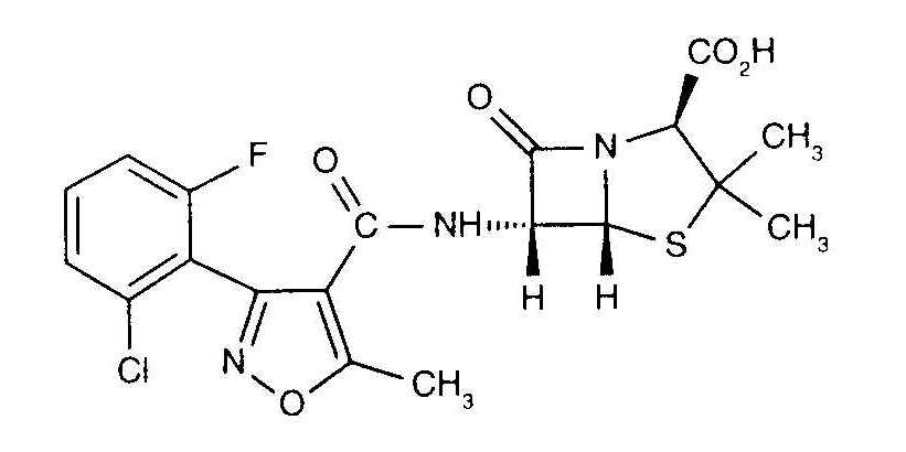
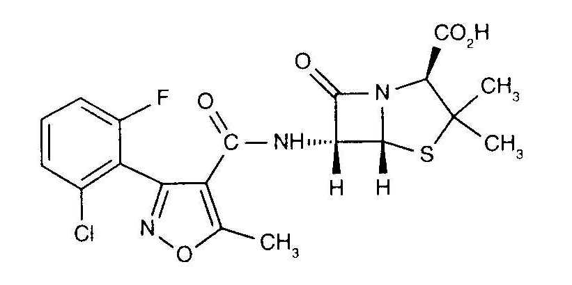
   Химическая структура  

Товарное название   Товарное название     

Trade names are indicative and excipients composition can be different depending on the country and manufacturers

Astaph Марокко
Betabiotic Италия
DBL flucloxacillin sodium Австралия
Flix Турция
Floxam Марокко
Floxapen Австрия, Бельгия, Голландия, Италия, Марокко, Польша, Португалия, Саудовская Аравия, Соединённые Штаты Америки, Швейцария
Flucloxacillin Австралия, Великобритания, Германия, Италия
Flucloxacilline Бельгия, Голландия, Франция
Flucloxin новая Зеландия
Ladropen Соединённые Штаты Америки
Stafoxil Голландия
Staphylex Германия
Способы введения   Способы введения :Flucloxacillin sodium     
Voie
Интравенный, внутривенный
Интравенная, внутривенная инфузия
Внутримышечный
Интраплевральный, внутриплевральный, внутриплевральная инъекция
Интрасуставный

  Mentions Légales