Posledná aktualizácia :
18/03/2026
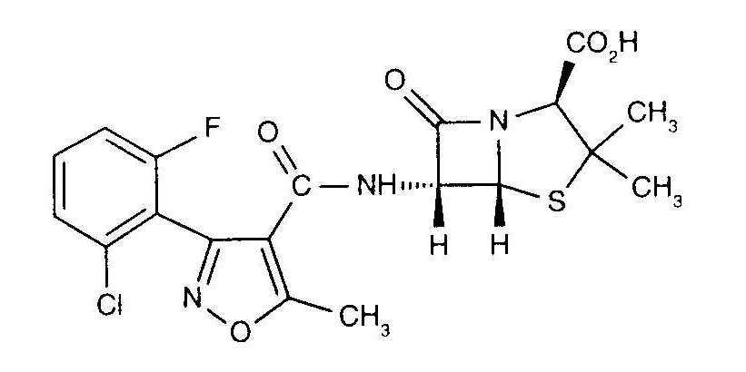
antibiotikum   Flucloxacillin sodium  
Injekcia
Stabilita roztokov Stabilita v zmesiach Faktory ovplyvňujúce stabilitu Kompatibility spôsob podania Odkazy na literatúru PDF
   Chemický vzorec  

Obchodný názov   Obchodný názov     

Obchodné názvy sú orientačné, a zloženie pomocných látok sa môže líšiť v závislosti od krajiny a výrobcu.

Astaph Maroko
Betabiotic Taliansko
DBL flucloxacillin sodium Austrália
Flix Turecko
Floxam Maroko
Floxapen Belgicko, Holandsko, Maroko, Poľsko, Portugalsko, Rakúsko, Saudská Arábia, Spojené štáty Americké, Švajčiarsko, Taliansko
Flucloxacillin Austrália, Nemecko, Taliansko, Veľká Británia
Flucloxacilline Belgicko, Francúzsko, Holandsko
Flucloxin nový Zéland
Ladropen Spojené štáty Americké
Stafoxil Holandsko
Staphylex Nemecko
spôsob podania   spôsob podania :Flucloxacillin sodium     
Voie
intravenózne
intravenózna infúzia
intramuskulárne
intrapleurálne
intrartikulárne

  Mentions Légales