آخر تحديث :
18/03/2026
مضاد حيوي   Flucloxacillin sodium  
حقن
الاستقرار في حلول استقرار مخاليط العوامل التي تؤثر على الاستقرار التوافق طريقة التعاطي مراجع pdf
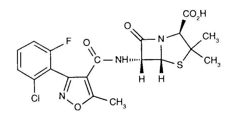
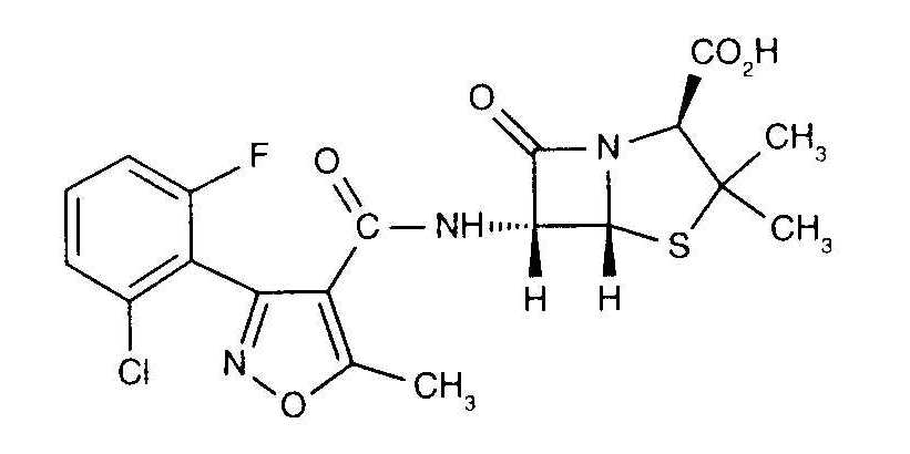
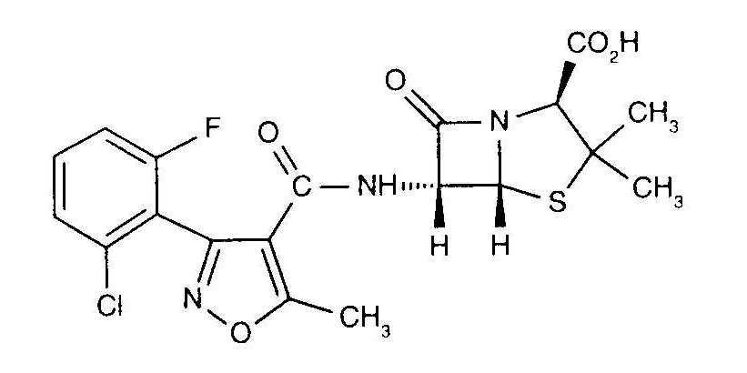
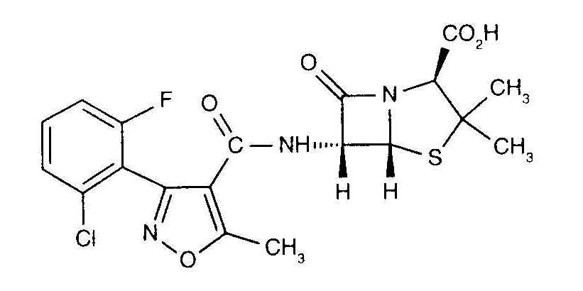
   التركيب الكيميائي  

حجز الاسم التجاري   حجز الاسم التجاري     

تحذير الأسماء التجاريه المختلفه قد تحتوي علي محتوي إضافات مختلفة حسب الدوله و المعمل

Astaph المغرب
Betabiotic إيطاليا
DBL flucloxacillin sodium أستراليا
Flix تركيا
Floxam المغرب
Floxapen إيطاليا, البرتغال, العربية السعودية, المغرب, النمسا, الولايات المتحدة, بلجيكا, بولندا, سويسرا, هولندا
Flucloxacillin أستراليا, ألمانيا, إيطاليا, بريطانيا العظمي
Flucloxacilline بلجيكا, فرنسا, هولندا
Flucloxin زيلاندا الجديدة
Ladropen الولايات المتحدة
Stafoxil هولندا
Staphylex ألمانيا
طريقة التعاطي   طريقة التعاطي :Flucloxacillin sodium     
Voie
وريدي
الحقن الوريدي   المستمر
الحقن في  العضلة
الحقن داخل الجنبة
الحقن داخل المفصل

  Mentions Légales