Utolsó frissítés :
18/03/2026
Antibiotikum   Flucloxacillin sodium  
Injekció
Az oldatok stabilitása A keverékek stabilitása Stabilitást befolyásoló tényezők Kompatibilitás Az alkalmazás módja Irodalom pdf
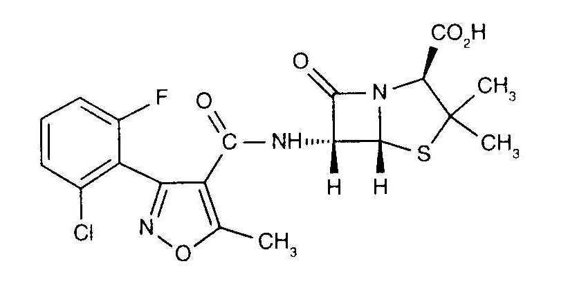
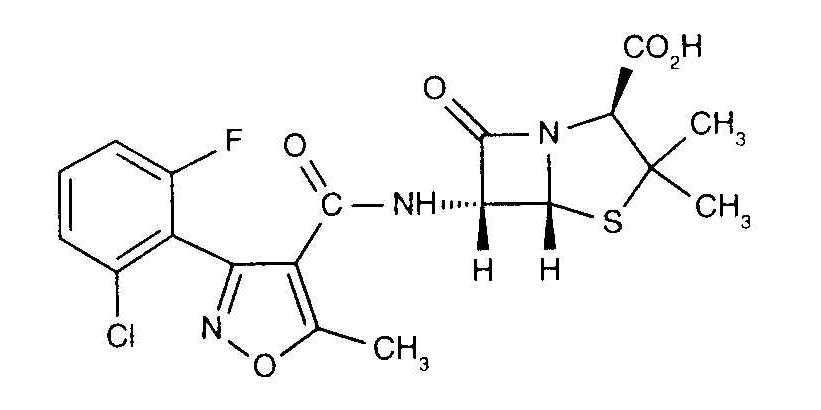
   Kémiai szerkezet   

Kereskedelmi név   Kereskedelmi név     

A kereskedelmi név meghatározó jelentőségű: a készítmények összetétele országonként, előállítóként eltérő lehet

Astaph Marokkó
Betabiotic Olaszország
DBL flucloxacillin sodium Ausztrália
Flix Törökország
Floxam Marokkó
Floxapen Amerikai Egyesült Államok, Ausztria, Belgium, Hollandia, Lengyelország, Marokkó, Olaszország, Portugália, Svájc, Szaúd-Arábiában
Flucloxacillin Ausztrália, Nagy-Britannia, Németország, Olaszország
Flucloxacilline Belgium, Franciaország, Hollandia
Flucloxin új-Zéland
Ladropen Amerikai Egyesült Államok
Stafoxil Hollandia
Staphylex Németország
Az alkalmazás módja   Az alkalmazás módja :Flucloxacillin sodium     
Voie
Intravénás
Intravénás infúzió
Intramuszkuláris
Intrapleurális
Intraartikuláris

  Mentions Légales