Letztes “update” :
18/03/2026
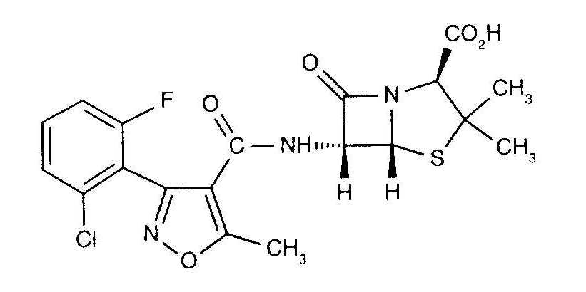
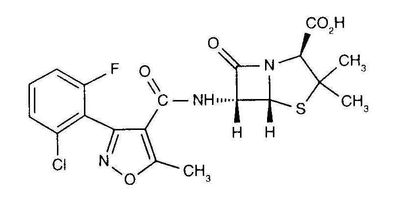
Antibiotikum   Flucloxacillin sodium  
Injektion
Stabilität der Lösung Gemengestabilität Stabilitätbeeinflussende Faktoren Kompatibilitäten Applikationsart Literaturverzeichnis pdf
   Chemische Struktur  

Handelsmarke   Handelsmarke     

Handelsnamen sind als beispielhaft anzusehen. Sonstige Bestandteile können je nach Hersteller oder Land verschieden sein

Astaph Marokko
Betabiotic Italien
DBL flucloxacillin sodium Australien
Flix Türkei
Floxam Marokko
Floxapen Belgien, Italien, Marokko, Niederlande, Österreich, Polen, Portugal, Saudi-Arabien, Schweiz, Vereinigte Staaten von Amerika
Flucloxacillin Australien, Deutschland, Großbritannien, Italien
Flucloxacilline Belgien, Frankreich, Niederlande
Flucloxin Neuseeland
Ladropen Vereinigte Staaten von Amerika
Stafoxil Niederlande
Staphylex Deutschland
Applikationsart   Applikationsart :Flucloxacillin sodium     
Verabreichung
Intravenös
Intravenöse Perfusion
Intramuskulär
Intrapleural
Intraartikulär

  Mentions Légales