Poslední aktualizace :
18/03/2026
Antibiotikum   Flucloxacillin sodium  
injekce
Stabilita roztoků Stabilita směsí Faktory ovlivňující stabilitu Kompatibilita Způsoby aplikace Odkazy pdf
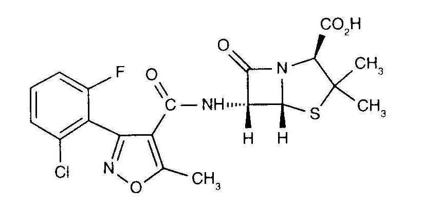
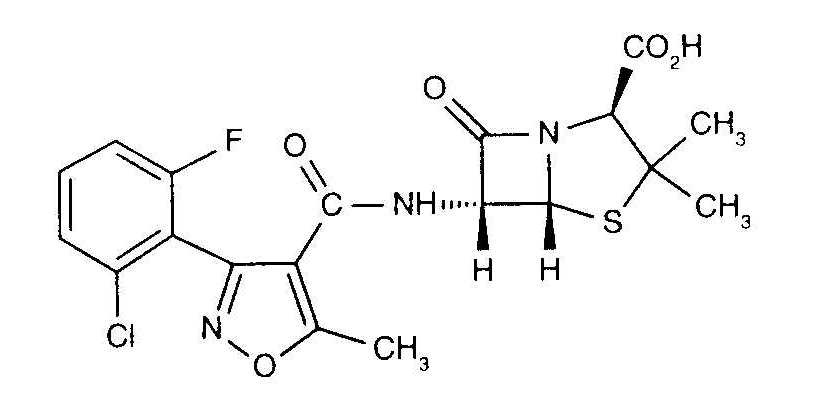
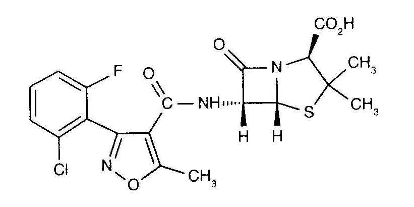
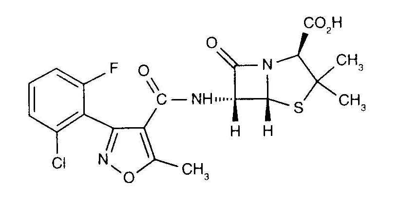
   Chemický vzorec  

Obchodní název   Obchodní název     

Trade names are indicative and excipients composition can be different depending on the country and manufacturers

Astaph Maroko
Betabiotic Itálie
DBL flucloxacillin sodium Austrálie
Flix Turecko
Floxam Maroko
Floxapen Belgie, Itálie, Maroko, Nizozemsko, Polsko, Portugalsko, Rakousko, Saúdská Arábie, Švýcarsko, USA
Flucloxacillin Austrálie, Itálie, NÏmecko, Velká Británie
Flucloxacilline Belgie, Francie, Nizozemsko
Flucloxin nový Zéland
Ladropen USA
Stafoxil Nizozemsko
Staphylex NÏmecko
Způsoby aplikace   Způsoby aplikace :Flucloxacillin sodium     
Voie
intravenÛznÏ
Intravenózní infúze
intramuskulárně
intrapleurálně
intraartikulárně

  Mentions Légales