Последно актуализиране :
18/03/2026
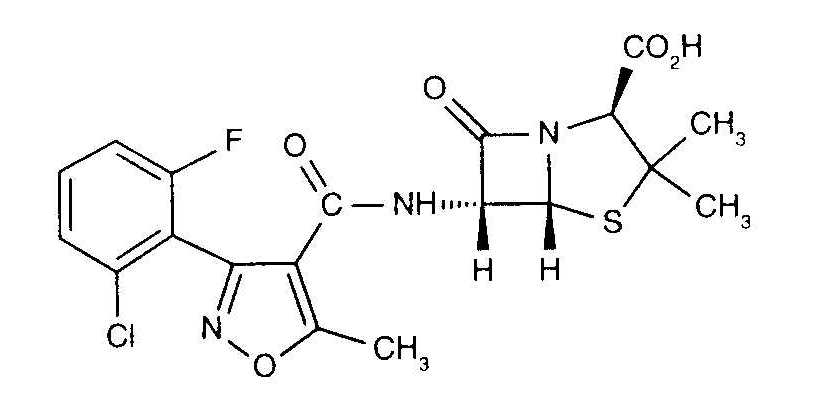
Антибиотик   Flucloxacillin sodium  
Инжекция/Инжекционен
Стабилност на разтвори Стабилност на смеси Фактори, повлияващи стабилността Съвместимост Път на въвеждане Библиография Pdf
   Химична структура  

Търговско наименование   Търговско наименование     

Търговските имена са примерни и съставът на помощните вещества може да бъде различен в зависимост от държавата и лабораториите

Astaph Мароко
Betabiotic Италия
DBL flucloxacillin sodium Австралия
Flix Турция
Floxam Мароко
Floxapen Австрия, Белгия, Италия, Мароко, Полша, Португалия, Саудитска Арабия, Съединени Американски щати / САЩ, Холандия, Швейцария
Flucloxacillin Австралия, Великобритания, Германия, Италия
Flucloxacilline Белгия, Франция, Холандия
Flucloxin нова Зеландия
Ladropen Съединени Американски щати / САЩ
Stafoxil Холандия
Staphylex Германия
Път на въвеждане   Път на въвеждане :Flucloxacillin sodium     
Voie
Интравенозно
Интравенозна инфузия
Интрамускулно
Интраплеврално
Вътреставно

  Mentions Légales