Senaste uppdateringen :
18/03/2026
Antibiotikum   Flucloxacillin sodium  
injektion
Lösningars stabilitet Stabilitet i blandningar Faktorer som påverkar stabiliteten Kompatibilitet Administreringssätt Hänvisningar pdf
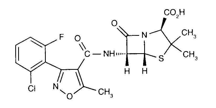
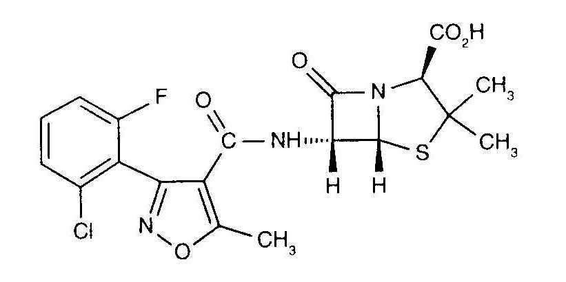
   Molekylstruktur  

Varunamn   Varunamn     

Angivna handelsnamn på läkemedel är enbart vägledande då formulering inklusive hjälpämnen kan variera mellan länder och tillverkare

Astaph Marocko
Betabiotic Italien
DBL flucloxacillin sodium Australien
Flix Turkiet
Floxam Marocko
Floxapen Belgien, Förenta Staterna, Italien, Marocko, Nederländerna, Österrike, Polen, Portugal, Saudi-Arabien, Schweiz
Flucloxacillin Australien, Italien, Storbritannien, Tyskland
Flucloxacilline Belgien, Frankrike, Nederländerna
Flucloxin nya Zeeland
Ladropen Förenta Staterna
Stafoxil Nederländerna
Staphylex Tyskland
Administreringssätt   Administreringssätt :Flucloxacillin sodium     
Voie
Intravenös
Intravenös infusion
Intramuskulär
Intrapleural
Intraartikulär

  Mentions Légales