Laatste update :
18/03/2026
Antibioticum   Flucloxacillin sodium  
injecteerbaar geneesmiddel
Stabiliteit in oplossing Stabiliteit in mengsels Factoren die de stabiliteit beïnvloeden Verenigbaarheden Toedieningswijze Literatuur pdf
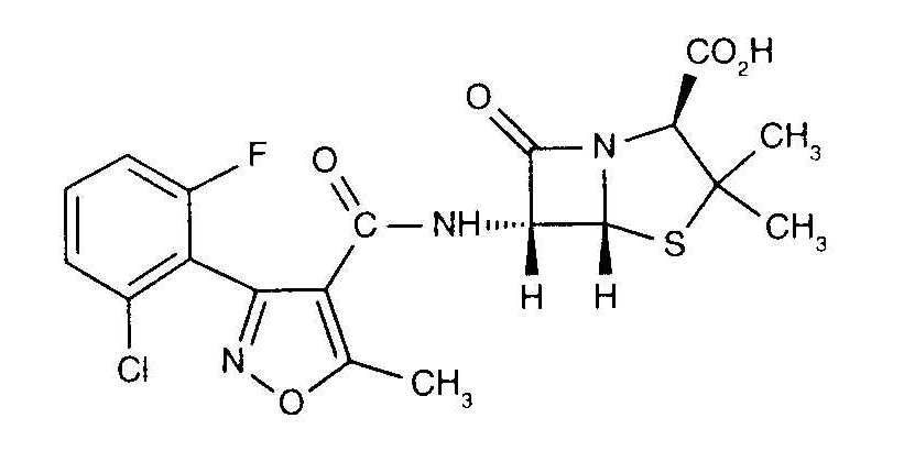
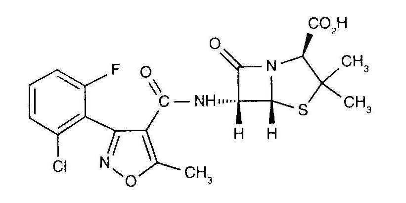
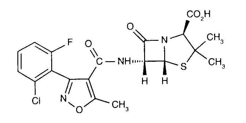
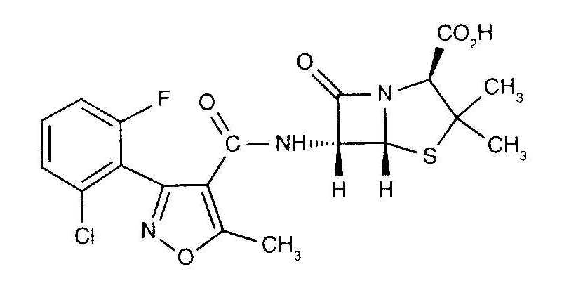
   Molecuulstructuur  

Merknamen in verschillende landen   Merknamen in verschillende landen     

Handelsnamen zijn slechts een indicatie; de samenstelling van hulpstoffen kan per land variëren afhankelijk van de fabrikant

Astaph Marokko
Betabiotic Italië
DBL flucloxacillin sodium Australië
Flix Turkije
Floxam Marokko
Floxapen België, Italië, Marokko, Nederland, Oostenrijk, Polen, Portugal, Saudi-Arabië, USA, Zwitserland
Flucloxacillin Australië, Duitsland, Groot Britannië, Italië
Flucloxacilline België, Frankrijk, Nederland
Flucloxin nieuw Zeeland
Ladropen USA
Stafoxil Nederland
Staphylex Duitsland
Toedieningswijze   Toedieningswijze :Flucloxacillin sodium     
Voie
Intraveneus
Intraveneus infuus
Intramusculair
Intrapleuraal
Intra-articulair

  Mentions Légales