Son güncelleme :
18/03/2026
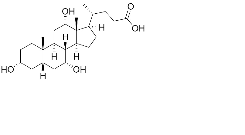
Çeşitli   Cholic acid  
Kapsül
Farmasötik preparatlar Kararlılığı Karışımlardaki stabilitesi Stabiliteyi etkileyen faktörler Uyumluluk Kaynaklar pdf
   Kimyasal yapı   

Kapsül
Farmasötik preparatlar Kararlılığı   Kapsül   Farmasötik preparatlar Kararlılığı : Cholic acid     
Saklama kabı Origine yardımcı madde Isı Saklama    Stabilite süresi Kaynaklar
Plastik şişe Toz 25 mg
® = ?
koloidal silika >>
Laktoz >>
23-27°C Işıktan koruyunuz
365 Gün
4751

Plastik şişe Toz 250 mg
® = ?
koloidal silika >>
23-27°C Işıktan koruyunuz
365 Gün
4751

Plastik şişe Toz 25 mg
® = ?
koloidal silika >>
Laktoz >>
38-42°C Işıktan koruyunuz
365 Gün
4751

Plastik şişe Toz 250 mg
® = ?
koloidal silika >>
38-42°C Işıktan koruyunuz
365 Gün
4751


  Mentions Légales