Viimeisin päivitys :
18/03/2026
Muut   Cholic acid  
Kapseli
Vakaus lääkevalmisteen Stabilius seoksissa Tekijät, jotka vaikuttavat stabiliuteen Yhteensopivuus Viitteet pdf
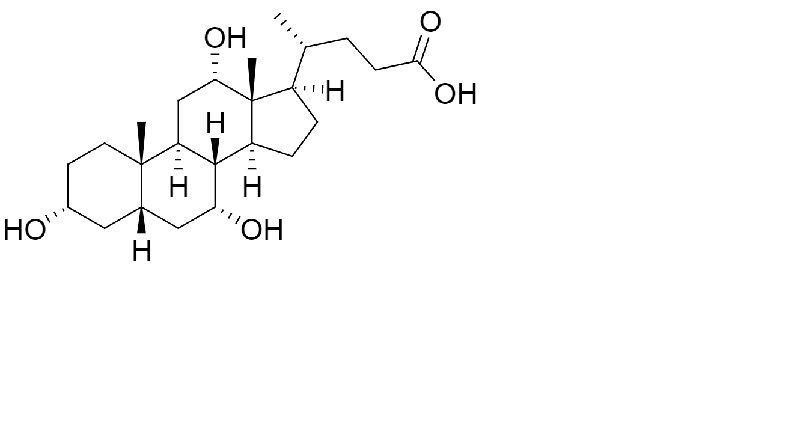
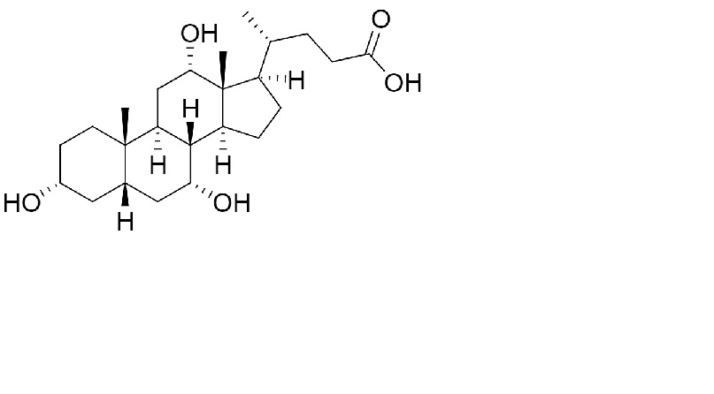
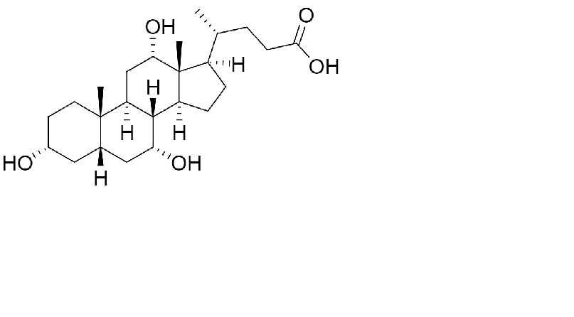
   Kemiallinen rakenne  

Kapseli
Vakaus lääkevalmisteen   Kapseli   Vakaus lääkevalmisteen : Cholic acid     
Astia Origine Apuaine Lämpötila Säilytys Vakauden kesto Viitteet
Muovipullo Jauhe 25 mg
® = ?
kolloidinen piidioksidi >>
Laktoosi >>
23-27°C Suojattava valolta
365 Päivä
4751

Muovipullo Jauhe 250 mg
® = ?
kolloidinen piidioksidi >>
23-27°C Suojattava valolta
365 Päivä
4751

Muovipullo Jauhe 25 mg
® = ?
kolloidinen piidioksidi >>
Laktoosi >>
38-42°C Suojattava valolta
365 Päivä
4751

Muovipullo Jauhe 250 mg
® = ?
kolloidinen piidioksidi >>
38-42°C Suojattava valolta
365 Päivä
4751


  Mentions Légales