Última actualização :
18/03/2026
Varios   Cholic acid  
Cápsula
Estabilidade de preparações farmacêuticas Estabilidade em misturas Factores que afectam a sua estabilidade Compatibilidade Bibliografía pdf
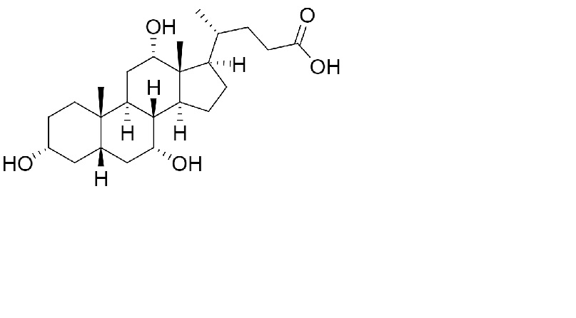
   estrutura química  

Cápsula
Estabilidade de preparações farmacêuticas   Cápsula   Estabilidade de preparações farmacêuticas : Cholic acid     
Embalagem Origine excipiente temperatura conservação Duração da estabilidade Bibliografia
frasco de plástico pó 25 mg
® = ?
sílica coloidal >>
lactose >>
23-27°C ao abrigo da luz
365 dia
4751

frasco de plástico pó 250 mg
® = ?
sílica coloidal >>
23-27°C ao abrigo da luz
365 dia
4751

frasco de plástico pó 25 mg
® = ?
sílica coloidal >>
lactose >>
38-42°C ao abrigo da luz
365 dia
4751

frasco de plástico pó 250 mg
® = ?
sílica coloidal >>
38-42°C ao abrigo da luz
365 dia
4751


  Mentions Légales