Pēdējā atjaunošana :
18/03/2026
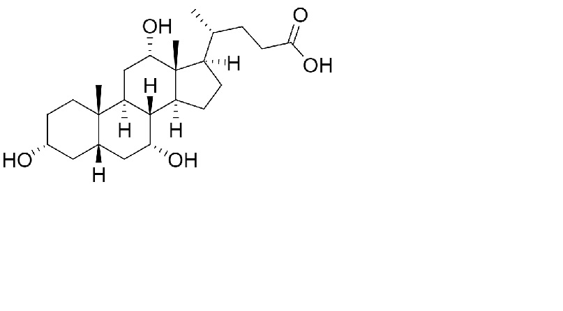
Dažādi   Cholic acid  
Kapsula
Stabilitāte farmaceitisko preparātu Maisījuma stabilitāte Stabilitāti ietekmējoši faktori Saderība Literatūras saraksts pdf
   Ķīmiskā uzbūve   

Kapsula
Stabilitāte farmaceitisko preparātu   Kapsula   Stabilitāte farmaceitisko preparātu : Cholic acid     
Iepakojums Origine Palīgviela Temperatūra Glabāšana Stabilitātes ilgums Literatūras saraksts
Plastmasas pudele Pūderis 25 mg
® = ?
koloidālais silīcija dioksīds >>
Laktoze >>
23-27°C Aizsargāt no gaismas
365 Diena
4751

Plastmasas pudele Pūderis 250 mg
® = ?
koloidālais silīcija dioksīds >>
23-27°C Aizsargāt no gaismas
365 Diena
4751

Plastmasas pudele Pūderis 25 mg
® = ?
koloidālais silīcija dioksīds >>
Laktoze >>
38-42°C Aizsargāt no gaismas
365 Diena
4751

Plastmasas pudele Pūderis 250 mg
® = ?
koloidālais silīcija dioksīds >>
38-42°C Aizsargāt no gaismas
365 Diena
4751


  Mentions Légales