Dernière mise à jour :
18/03/2026
Divers   Cholic acid  
Gélule
Stabilité des préparations Stabilité en mélange Facteur influençant la stabilité Compatibilités Bibliographie pdf
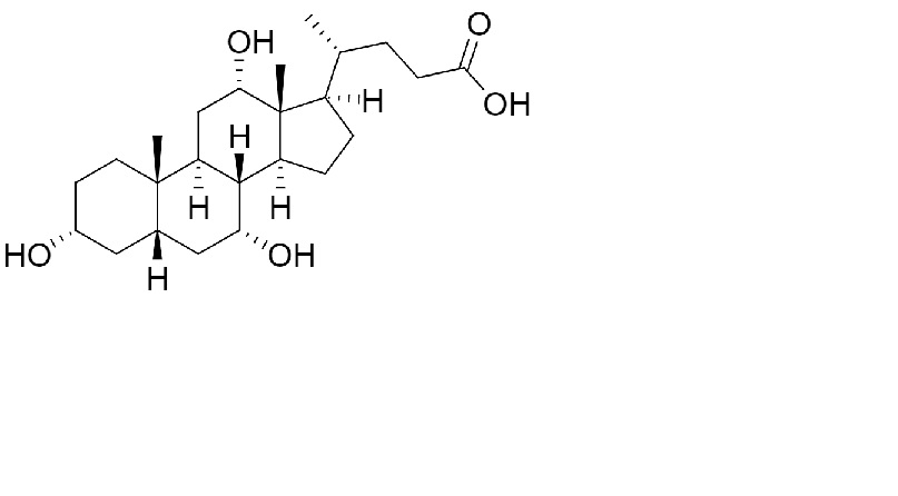
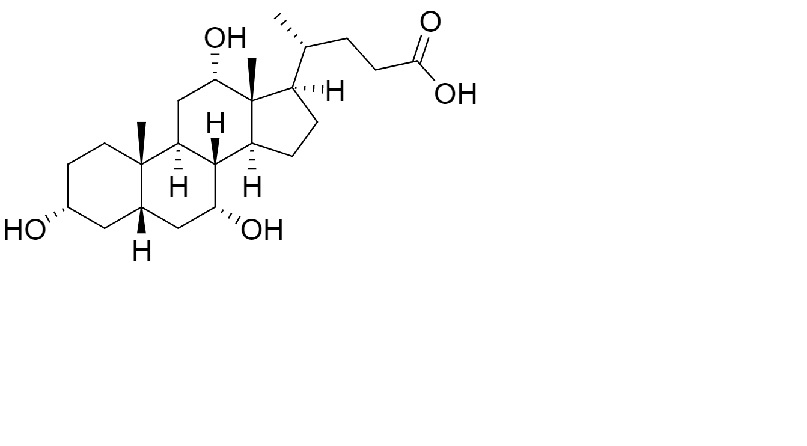
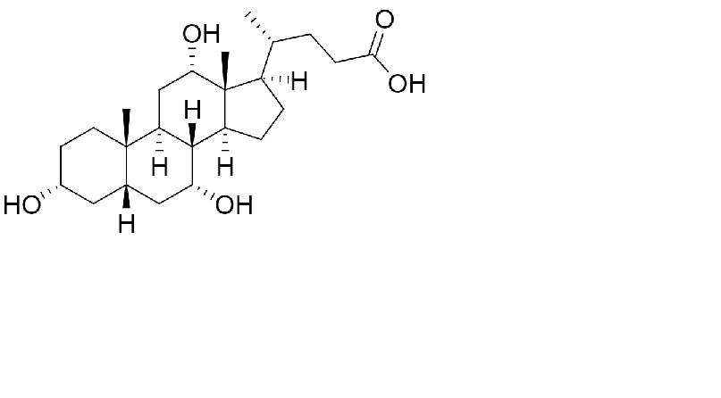
   Structure chimique  

Gélule
Stabilité des préparations   Gélule   Stabilité des préparations : Cholic acid     
Contenant Origine Excipient Température Conservation Durée de stabilité Bibliographie
Flacon plastique Poudre 25 mg
® = ?
Silice colloïdale >>
Lactose >>
23-27°C A l’abri de la lumière
365 Jour
4751

Flacon plastique Poudre 250 mg
® = ?
Silice colloïdale >>
23-27°C A l’abri de la lumière
365 Jour
4751

Flacon plastique Poudre 25 mg
® = ?
Silice colloïdale >>
Lactose >>
38-42°C A l’abri de la lumière
365 Jour
4751

Flacon plastique Poudre 250 mg
® = ?
Silice colloïdale >>
38-42°C A l’abri de la lumière
365 Jour
4751


  Mentions Légales