Zadnji put ažurirano :
18/03/2026
razno   Cholic acid  
kapsula
Stabilnost farmaceutskih pripravaka Stabilnost mješavine Stabilizacijski faktor Kompatibilnosti Bibliografija pdf
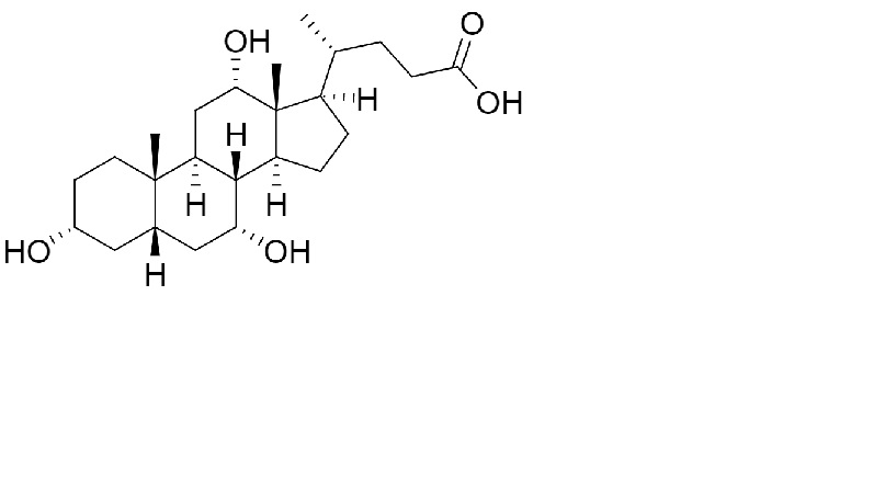
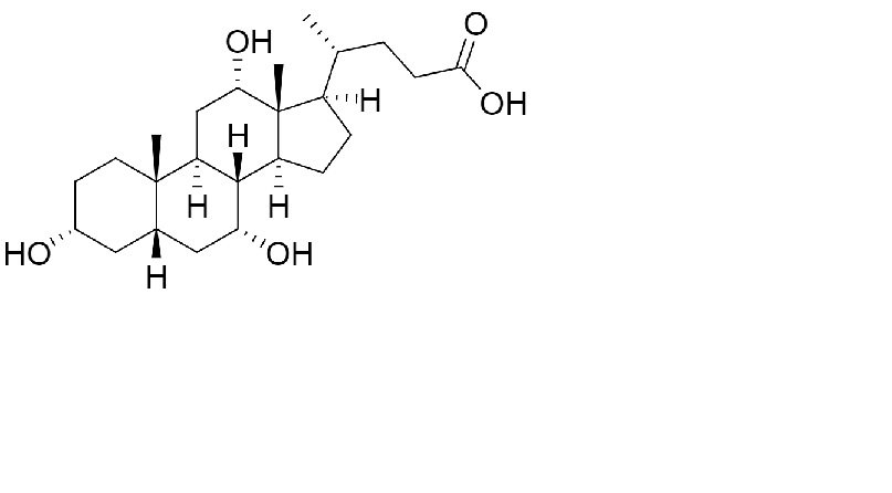
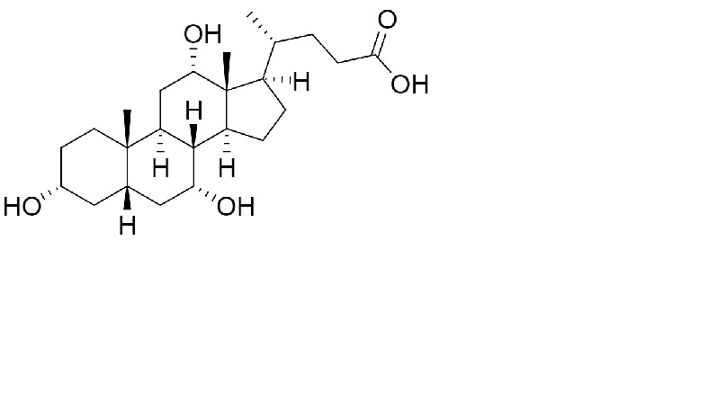
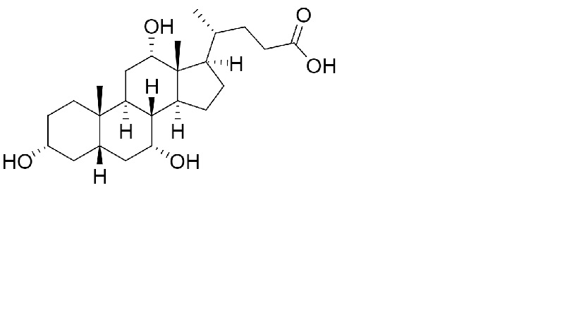
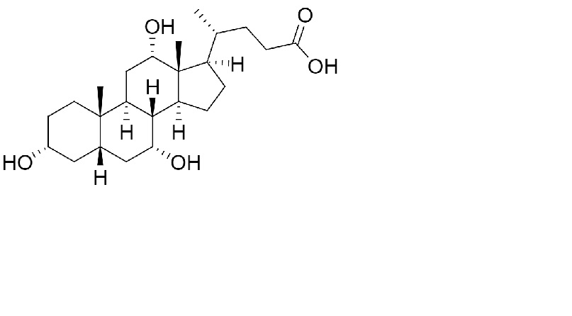
   Kemijska struktura  

kapsula
Stabilnost farmaceutskih pripravaka   kapsula   Stabilnost farmaceutskih pripravaka : Cholic acid     
Kontejner Origine pomoćna tvar temperatura Konzerviranje Trajanje stabilnosti Bibliografija
plastična boca prašak 25 mg
® = ?
koloidni silicij >>
Laktoza >>
23-27°C Zaštićeno od svjetlosti
365 dan
4751

plastična boca prašak 250 mg
® = ?
koloidni silicij >>
23-27°C Zaštićeno od svjetlosti
365 dan
4751

plastična boca prašak 25 mg
® = ?
koloidni silicij >>
Laktoza >>
38-42°C Zaštićeno od svjetlosti
365 dan
4751

plastična boca prašak 250 mg
® = ?
koloidni silicij >>
38-42°C Zaštićeno od svjetlosti
365 dan
4751


  Mentions Légales