Poslední aktualizace :
18/03/2026
Įvairūs   Cholic acid  
Kapsulė
Stabilumas farmacinių preparatų Mišinių stabilumas Stabilumą lemiantys veiksniai Suderinamumas Bibliografija pdf
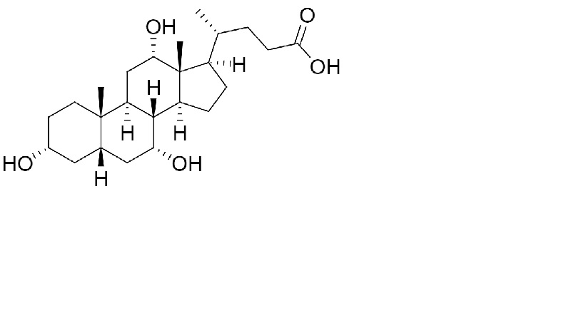
   Cheminė sandara  

Kapsulė
Stabilumas farmacinių preparatų   Kapsulė   Stabilumas farmacinių preparatų : Cholic acid     
Pakuotė Origine Ekscipientas Temperatūra Laikymas Stabilumo trukmė Nuorodos
Plastikinis butelis Milteliai 25 mg
® = ?
koloidinis silicio dioksidas >>
Laktozė >>
23-27°C Apsaugotas nuo šviesos
365 Diena
4751

Plastikinis butelis Milteliai 250 mg
® = ?
koloidinis silicio dioksidas >>
23-27°C Apsaugotas nuo šviesos
365 Diena
4751

Plastikinis butelis Milteliai 25 mg
® = ?
koloidinis silicio dioksidas >>
Laktozė >>
38-42°C Apsaugotas nuo šviesos
365 Diena
4751

Plastikinis butelis Milteliai 250 mg
® = ?
koloidinis silicio dioksidas >>
38-42°C Apsaugotas nuo šviesos
365 Diena
4751


  Mentions Légales