Posledná aktualizácia :
18/03/2026
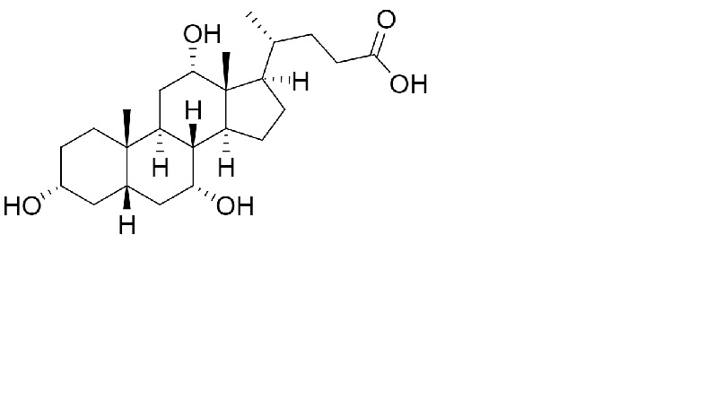
rôzne   Cholic acid  
Kapsula
Stabilita farmaceutických prípravkov Stabilita v zmesiach Faktory ovplyvňujúce stabilitu Kompatibility Odkazy na literatúru PDF
   Chemický vzorec  

Kapsula
Stabilita farmaceutických prípravkov   Kapsula   Stabilita farmaceutických prípravkov : Cholic acid     
obal Pôvod Pomocná látka teplota uchovávanie Trvanie stability odkazy na lieteratúru
Plastová fľaša Prášok 25 mg
® = ?
koloidný oxid kremičitý >>
Laktóza >>
23-27°C Chránené pred svetlom
365 dní
4751

Plastová fľaša Prášok 250 mg
® = ?
koloidný oxid kremičitý >>
23-27°C Chránené pred svetlom
365 dní
4751

Plastová fľaša Prášok 25 mg
® = ?
koloidný oxid kremičitý >>
Laktóza >>
38-42°C Chránené pred svetlom
365 dní
4751

Plastová fľaša Prášok 250 mg
® = ?
koloidný oxid kremičitý >>
38-42°C Chránené pred svetlom
365 dní
4751


  Mentions Légales