Ultimele actualizari :
18/03/2026
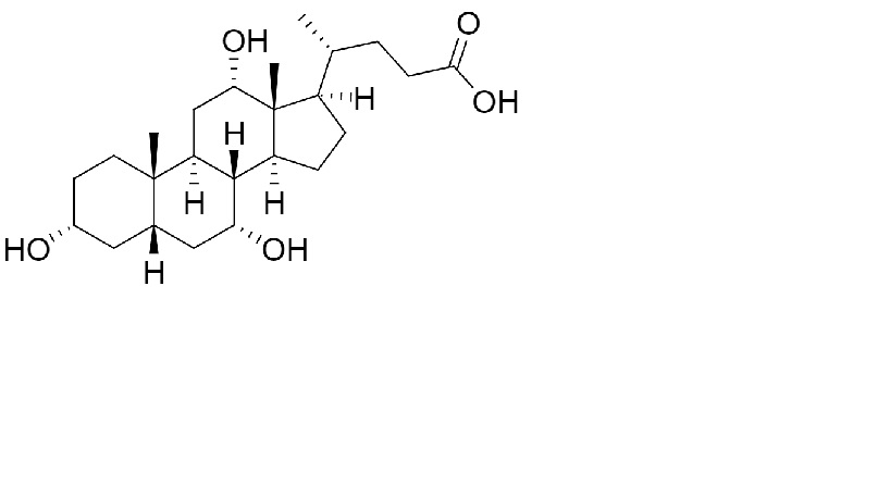
Diverse   Cholic acid  
Capsulă
Stabilitatea preparatelor farmaceutice Stabilitatea in amestec Factorii care influenteaza stabilitatea Compatibilitate Bibliografie pdf
   Formula chimica  

Capsulă
Stabilitatea preparatelor farmaceutice   Capsulă   Stabilitatea preparatelor farmaceutice : Cholic acid     
Continut Origine Excipient Temperatura Conservare Durata stabilității Bibiografie
Sticla din plastic praf 25 mg
® = ?
siliciu coloidal >>
lactoză >>
23-27°C Ferit de lumina
365 Ziua
4751

Sticla din plastic praf 250 mg
® = ?
siliciu coloidal >>
23-27°C Ferit de lumina
365 Ziua
4751

Sticla din plastic praf 25 mg
® = ?
siliciu coloidal >>
lactoză >>
38-42°C Ferit de lumina
365 Ziua
4751

Sticla din plastic praf 250 mg
® = ?
siliciu coloidal >>
38-42°C Ferit de lumina
365 Ziua
4751


  Mentions Légales