Letztes “update” :
18/03/2026
Verschiedenes   Cholic acid  
Kapsel (Singular !)
Stabilität von pharmazeutischen Präparaten Gemengestabilität Stabilitätbeeinflussende Faktoren Kompatibilitäten Literaturverzeichnis pdf
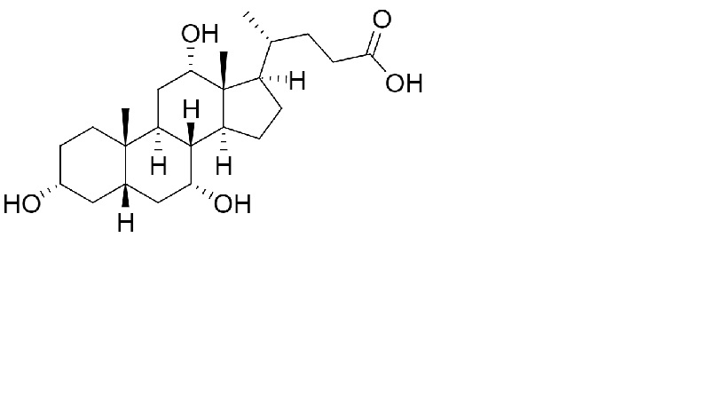
   Chemische Struktur  

Kapsel (Singular !)
Stabilität von pharmazeutischen Präparaten   Kapsel (Singular !)   Stabilität von pharmazeutischen Präparaten : Cholic acid     
Behälter Origine Hilfsstoff Temperatur Konservierung Dauer der Stabilität Literaturverzeichnis
Plastikflasche Pulver 25 mg
® = ?
kolloidales Siliciumdioxid >>
Lactose >>
23-27°C Ohne Licht
365 Tag
4751

Plastikflasche Pulver 250 mg
® = ?
kolloidales Siliciumdioxid >>
23-27°C Ohne Licht
365 Tag
4751

Plastikflasche Pulver 25 mg
® = ?
kolloidales Siliciumdioxid >>
Lactose >>
38-42°C Ohne Licht
365 Tag
4751

Plastikflasche Pulver 250 mg
® = ?
kolloidales Siliciumdioxid >>
38-42°C Ohne Licht
365 Tag
4751


  Mentions Légales