Последно актуализиране :
18/03/2026
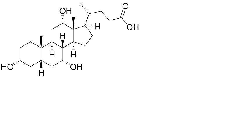
Други   Cholic acid  
Капсула
Стабилност на лекарствени препарати Стабилност на смеси Фактори, повлияващи стабилността Съвместимост Библиография Pdf
   Химична структура  

Капсула
Стабилност на лекарствени препарати   Капсула   Стабилност на лекарствени препарати : Cholic acid     
Контейнер Origine Помощно вещество Температура Съхранение Продължителност на стабилността Библиография
Пластмасова бутилка Прах 25 mg
® = ?
колоиден силициев диоксид >>
Лактоза >>
23-27°C Защита от светлина
365 Ден
4751

Пластмасова бутилка Прах 250 mg
® = ?
колоиден силициев диоксид >>
23-27°C Защита от светлина
365 Ден
4751

Пластмасова бутилка Прах 25 mg
® = ?
колоиден силициев диоксид >>
Лактоза >>
38-42°C Защита от светлина
365 Ден
4751

Пластмасова бутилка Прах 250 mg
® = ?
колоиден силициев диоксид >>
38-42°C Защита от светлина
365 Ден
4751


  Mentions Légales