Ultimo aggiornamento :
18/03/2026
Altro   Cholic acid  
Capsula
Stabilità dei preparati farmaceutici Stabilità in miscela Fattori che influenzano la stabilità Compatibilità Bibliografia pdf
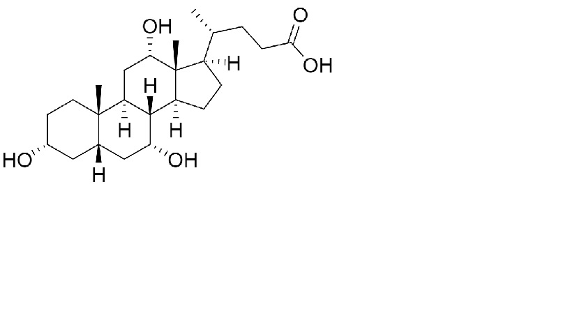
   Struttura chimica  

Capsula
Stabilità dei preparati farmaceutici   Capsula   Stabilità dei preparati farmaceutici : Cholic acid     
contenitore Origine eccipiente Temperatura Conservazione Durata della stabilità Bibliografia
bottiglia di plastica polvere 25 mg
® = ?
silice colloidale >>
lattosio >>
23-27°C Al riparo dalla luce
365 Giorno
4751

bottiglia di plastica polvere 250 mg
® = ?
silice colloidale >>
23-27°C Al riparo dalla luce
365 Giorno
4751

bottiglia di plastica polvere 25 mg
® = ?
silice colloidale >>
lattosio >>
38-42°C Al riparo dalla luce
365 Giorno
4751

bottiglia di plastica polvere 250 mg
® = ?
silice colloidale >>
38-42°C Al riparo dalla luce
365 Giorno
4751


  Mentions Légales